太陽還能燒多少年?_風聞
中科院物理所-中科院物理所官方账号-2018-09-28 17:32
我們目前所用到的除了地熱能之外的幾乎所有能量都直接或者間接來自於太陽能,如果太陽熄滅了,我們恐怕撐不了多久。那麼問題來了,太陽還能像這樣穩定的發光發熱多少年呢?
下面進入中科院物理所問答時間!

Q:為什麼卡車爬坡時速度較慢拉力更大?
A:內燃機通過燃燒燃料可以將熱能轉換為機械能,燃燒燃料獲得的能量的速率有一定限度,自然而然,其對外輸出機械能也有一定的速率,即功率。功率P=F·v,因此當功率保持不變時,如果車速越慢,則發動機能夠提供的牽引力就越大。
另一方面,汽車在低速時會處於低檔位。騎過變速自行車的朋友應該深有體會,腳蹬的齒輪越小,後輪的齒輪越大,則上坡越省力,但是騎行的速度越慢,而腳蹬的齒輪越大,後輪的齒輪越小則蹬起來越費力,但是騎行的速度越快。汽車的不同檔位實際上就是發動機齒輪和輪軸齒輪的配比不同,當檔位低時,相當於是一個省力槓桿,雖然費了距離(車速慢),但是省了力。此時給油門可以讓發動機轉速上升而車速卻不會太高,不同的發動機具有不同的最大扭矩轉速,一般來説都需要較高的轉速。因此掛一檔時猛給油門,發動機轉速上去後可以提供很強的動力,利於爬坡,越過障礙。

Q:太陽的熱量會在億億億……年後散發盡嗎?
A:恆星的命運基本上由其質量決定(加基本上是因為:還會受恆星自轉、成分、磁場、在密近雙星中的地位等諸多因素影響),一個是質量越大的燃燒越快,壽命越短(我沒説人哦),另一個是恆星的質量也決定了恆星的最終歸宿。
恆星的內部在進行的是核聚變反應,產生大量能量,其輻射壓抵抗了恆星自引力,使其不會在自引力下坍塌。恆星質量不夠大的話,氫聚變至氦就終止了。足夠大質量的恆星有足夠大的壓力使氦被加温點燃聚變成碳,再大質量的恆星可以使碳點燃聚變成氧,然後是氧聚變成鐵,但是無論如何恆星核聚變的本事這就到頭了。
在恆星年老的時候,核聚變能力下降,輻射壓不足以抵抗自引力,恆星開始核心坍塌,外殼冷卻膨脹,變成紅巨星(或紅超巨星)。在最後的負隅頑抗之後,核心巨大的壓力會導致超新星爆炸,會拋射掉一部分質量,被吹散的外殼形成行星狀星雲,而剩餘的核心根據質量大小:質量小的變成白矮星,逐漸冷卻至黑矮星;質量大一點的其自引力壓力可以戰勝電子簡併壓,變成中子星,質量更大的其壓力可以進一步戰勝中子簡併壓,形成黑洞。

太陽目前是一顆G2V型主序星,已經燃燒了46億年,預計還可以繼續燃燒50億年。以太陽的質量,最終會走白矮星這一條歸途。

Q: 鏡面反射時光走的路程是最短的,光怎麼知道它走這條路的路程是最短的?
A:光沒有自由意識,自然不知道它走的這條路是最短的。實際上,在鏡面反射過程中,量子理論認為光其實走了所有可能的路徑,每條路徑都是平等的。而在幾何光學中,光走的路徑最短是它在經典極限下的描述。

圖片來自:費曼《QED,光和物質的奇妙理論》
這個問題其實問的很好,著名的物理學家理查德費恩曼就是通過對這個問題的深入思考,提出了著名的路徑積分理論。路徑積分理論現在已成為理論物理的一塊基石。
推薦閲讀:《QED,光和物質的奇妙理論》 理查德 費恩曼

Q:地球軌道上,衞星中的設備是處於失重狀態,那麼電機帶動的轉盤是不是不需要考慮其轉動慣量了呢?是不是説轉盤的轉動慣量近似為零呢?
A:我們從質量入手來分析一下讀者直覺上的錯誤。讀者可能認為在失重狀態下物體不受力也可以飄起來,所以物體沒有質量。其實不然,物體的質量是物體自身保持自己運動狀態對抗外界干擾的屬性。雖然失重狀態下物體可以自己飄起來但是你想讓它改變運動狀態還是需要對它施加外力,而且它的加速度和在地球上一樣滿足F=ma。而在地球上物體需要外力才能飄起來的原因是物體時刻受到重力的作用,只有施加外力抵消掉重力才能讓物體飄起來。對於轉動慣量也是一樣的,轉動慣量可以看做物體維持自身角動量的屬性,想要改變轉盤的角動量一定要給轉盤施加力矩才行。正是因為這個特性,陀螺儀才有指示方向的功能。

Q:月球總是正面朝向地球,那麼其正面的坑是怎麼形成的呢?謝謝
A:這位朋友的問題非常好,我先來給觀眾老爺們囉嗦一下這個問題的背景。月球表面的坑是被隕石砸中形成的,月球由於潮汐鎖定,長期以一面面向地球,故而有正反面之分。月球的背面有更多的隕石坑,而正面卻更為平坦,這是因為月球正面受到地球的保護。
那麼地球對月球的保護作用有多大呢?我們來看一下地球月球的真實大小、距離比例。

可見,地球作為月球的盾牌也只能遮擋一個很小的角度,算了一下約為2度。這可真是,360度,度度擋不住,好像沒什麼用啊老師!能不能再給力一點?沒關係,除了物理護甲我們還有魔法防護:【真·引力·彈弓】(引力好像也是物理啊老師)隕石不是從遠處像子彈一樣直線射過來,而是會在地球、月球的引力場中進行曲線運動。從地球方向射向月球的隕石大多會被地球的引力拉扯偏離,而偏折角度的大小與隕石原軌道和地球之間的距離、隕石和地球之間的相對速度有關,軌道高度一定時相對速度越小角度偏離越大,相對速度太小的甚至會被反向,甚至被地球捕獲與地球相撞(但大部分小隕石在大氣層中燃燒殆盡,不會撞到地面上,這重情況就不能稱為隕石了)

接下來終於要回答題主的問題了!雖然地(fu)球(zhu)的保護這麼到位,為什麼月球(adc)正面還是捱打了呢?
大概有兩種情況,一種是輔助有時候也會坑隊友,比如把開大的敵人一腳踢到隊友身邊。地球可能會把本來沒有瞄準月球的隕石偏折到射向月球的軌道:

另一種就是好輔助也救不了自己送。背面來的隕石在月球引力下經過軌道的偏折反而在正面撞擊:


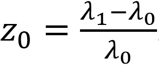
Q:接收到一束光,我們是如何計算出它是從多少年以前從某個恆星上發出的呢?(最好能用公式解答)
A:我在這裏僅給出一種情景:此時此刻我們站在地球上,看到宇宙中來的一束光,測得它的紅移是Zo(0的下角標形式)

λ0 、λ1分別是電磁波發射時和被我們接收時的波長.
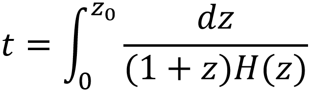
那麼在我們看來,這束光傳播的時間(回視時間)是

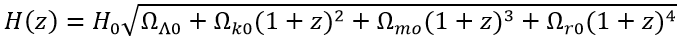
其中

是紅移z處的哈勃指數。而ΩΛ0 、Ωk0、Ωmo 、Ωr0分別是當今宇宙暗能量、曲率、物質、輻射的組分,根據目前理論模型與實際觀測,可以分別取值0.73,0,0.27,0
限於篇幅在這裏我就不把這惱人的公式從頭推導一遍了,想要深入瞭解嚴格的公式來源的讀者可以參考:DISTANCE MEASURES IN COSMOLOGY
當然這裏還有一篇關於各種宇宙距離的通俗易懂的文章:宇宙有多大

Q:為什麼光子自旋不為零?
A:我們知道光子是自旋為1的粒子,然而自然界僅存在兩種極化方式的光子,即左旋光和右旋光,這兩種偏振光分別代表z方向自旋為±1的光子。那麼問題來了,既然光子的自旋為1,那麼其z方向上的本徵值應該有三個,即0和±1,但是為什麼我們至今為止卻沒有發現自旋為0的光子呢,即為什麼電磁波不能是縱波?事實上,我們要想深刻地去理解光子的自旋,必須要從量子場論出發。在3+1維的時空座標系中,將電磁場量子化時,我們原則上確實可以形式上去定義四個極化方向:其中x,y方向的為橫向極化,分別代表x和y方向的線偏光;z方向的為縱向極化,代表自旋取值為0的縱波;t方向的為標量極化。然而,由於我們需要讓電磁場滿足洛倫茲和規範對稱性,且光子質量為零,這樣的後果就是縱向極化和標量極化都會成為非物理的態,即負模態(態矢量模平方為負),從而違反了量子力學的幾率解釋。因此,我們可以認為光子只有兩個橫向極化,這也與我們的實驗觀測結果符合。總結來説,作為矢量場,雖然光子原則上具有四個極化自由度,但是由於規範對稱性和光子質量為零的限制,這四個極化自由度並不是獨立的,從而使得最終只有兩個橫向極化是物理的。

Q:萬能解惑小編您好,前幾期提問中有一個問題是牛頓第二定律為什麼不是F = ma^2?| No.116,看完以後毀了我的中學物理。文末小編説質量的定義還有定義二,如果按照定義二的話,兩個質量為1的物體質量之和為多少?請小編解答,我快瘋了。説實話,看了小編的這些分析,我真切體會到中學學的太膚淺,知其然不知其所以然,中學教育給出的一些定義定律定理在真實的物理演化過程中真實看不懂。讓我們這些自以為牛頓定律學的很好的人覺得自己以前學的太膚淺。360度跪求小編解答…
A:在那期問答裏,定義2質量之比等於加速度反比的平方。下面我們要求兩個質量為1的物體加起來質量是多少。首先我們要明確的是,物體相互碰撞的過程中,它們的加速度之間的關係是實驗事實,不隨所選力學的形式改變。所以當兩個質量為1的物體(M)合在一起與另一個質量為1的物體(m)相互碰撞,其加速度之比為aM/am=1/2。根據定義,質量之比是加速度之比的平方可得:M/m=(aM/am)2=4。所以,M=4m。也就是説在定義二中,兩個質量為1的物體的總質量是4。
↓識別下方二維碼快速提問↓

