良心推薦 | 一份認真實用的國慶長假排隊指南_風聞
中科院物理所-中科院物理所官方账号-2018-09-30 11:56

* 圖片來自百度百科-國慶節
又到了一年一度
給祖國母親慶祝生日的日子
不知道大家準備好車票機票了沒
是不是很期待放假的時光
出門給自己來一段
放飛身體和心靈的旅行
雖然理想很豐滿,現實卻很骨感
我們期待的景區是這個樣子的

風和日麗,天氣怡人
但是我們往往在現實生活中
遇到的卻是眾眾眾眾眾眾眾眾眾眾

杭州西湖斷橋,圖片來自網易
進景點要排隊
吃飯要排隊
去個衞生間都要排隊
……

排隊不絕望,最絕望的是不知道該排哪條隊,在選擇的過程中機會就偷偷溜走了
每次面對排隊這件事情,小編都會從內心升起一股深深的無奈。一旦選錯了隊伍,就是**「看着很想努力,卻又無能無力」。別人的隊伍永遠排得比我快,**有時候鼓起勇氣想換一條隊,然後就被現實瘋狂打臉。
所以今天,我們給大家準備了一份超級實用的長假排隊指南,保證大家包學包會,一定管用。
為啥每次排隊,旁邊的隊伍都比我快?
Please Tell Me Why
為啥每次排隊,旁邊的隊伍都比我快?
為啥每次都是我沒帶傘的時候下雨?
為啥每次我忘帶作業的時候老師偏偏要檢查?
我覺得 Ta 好像是喜歡我(危險的想法,劃掉!)

ddl 就是第一生產力進度條
就像大家在複製文件,查看下載進度的時候,老是忍不住把鼠標挪到進度條上,「動了動了!進度條動了一個像素點!」。每次遇到排隊時,如果身邊有多條隊伍,總是會忍不住找一個參照物。在不知不覺中,你發現自己長時間的等待只挪動了幾步,身邊的隊伍卻健步如飛,那個參照物早就不知道到哪裏去了。下次重新要排隊,想着痛改前非悔過自新,結果卻發現自己的這條隊伍又是最慢的。

人們把不相關的兩件事情聯繫在一起,比如今天走的是小路和我今天很倒黴,或者今天我穿了紅衣服與今天下雨了,這個現象被稱為謬誤相關。
其實你不是一個人,在心理學中,有個專門的概念,謬誤相關 (illusory correlation)。它起源於人們在認識不甚相關的事物的時候,往往會在比較突出的或者不同尋常的事物之間建立錯誤的相關性,似乎只要是突出的就是一定有關係的。這個現象最早由 Chapman 在 1967 年提出 [1],實驗表明謬誤相關可能受到獨特性 (distinctiveness) 與突顯效應 (salience) 兩個因子所影響。
回到排隊困境上,其他的隊伍移動得更快對我而言是一個突出的事件,因此直覺會把在這個環境中最突出的事物——我,和排隊快慢聯繫起來 [2]。
如果你真的是選擇哪隻隊伍,哪隻隊伍一定最慢的話,可以檢查一下自己是否擁有超能力了。

選擇一條合適的隊伍
Choose the right queue

在排隊的過程中,「選擇」合適的排在你前面的人這一點非常重要
舉一個大家小時候都做過的奧數題。小紅小蘭和小綠三個人都要洗手,卻只有一個水龍頭。小紅洗得最快,只要10s就洗完了,小蘭要洗30s,小綠要洗60s。如果按照順序大家各自洗手,小紅總用時10s,小蘭總用時40s,小綠總用時100s,平均用時為50s。
但是假如我們把洗手的順序倒過來,小綠總用時60s,小蘭總用時90s,小紅總用時100s,這時候大家的平均用時提高到了83.3s,比之前高多了。所以,為了讓大家洗手的平均用時最短,我們應該讓洗得快的人先洗。
同理,在景區、車站排隊購票的時候,最理想的情況是讓準備充分,目標明確的人先買,再讓剩下的有諮詢需求的人買。但是在現實生活中我們並不能這麼操作,因為一來我們無法區分什麼樣的人需要什麼樣的服務,二來這樣也並不符合我們先來後到的公平性原則。

現在不斷出現自動售票機,自動取票機等,大大提高了人們的排隊效率
其實現在各地不斷出現的自動售票機,自動販賣機等從某個角度上講就是在把人羣分流,把那些能夠快速買票的人羣從原來龐大的人工窗口隊伍中剝離出來,而這樣的隊伍往往排的也更快。
排隊論
Queuing Theory

在運籌學中,排隊被抽象為顧客源源不斷地到來,到達服務機構後等待服務,服務完成以後就離開。
實際上在運籌學中,早就對排隊問題,隨機服務系統建立了一套數學理論和方法 [3]。數學家們把排隊規則分為三種,等待制:當顧客到達時,所有服務機構都被佔用,顧客需要排隊等候(當然排隊的方式多種多樣,諸如先到先服務,隨機服務,有優先權的服務等);損失制:顧客來到後看到服務機構沒有空閒立即離去。混合制:排隊空間有限,超過容納人數的顧客必須離開系統。
在排漫漫長隊的時候,大家往往會有一個疑問,為啥他們不多設幾個窗口?
對於經營者來説,增加窗口就意味着增加投入,他們當然並不樂意。那麼在有限的窗口情況下,怎麼快速判斷哪條隊伍排的最快呢?
我們可以建立一個簡單的模型來進行計算。

泊松分佈適合於描述單位時間內隨機事件發生的次數的概率分佈,單位時間窗口到達人數服從泊松分佈。生活中一個典型的例子是公交汽車,假如平均每 10 分鐘發一班車,但具體的發車時間是很不固定的。如果你在某個時刻來到車站,等到下一班車平均要花多久呢?你在公交車站平均間隔時間是 10 分鐘,而不是想象中的 5 分鐘。
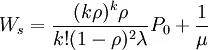
一般我們認為在窗口到達人數服從泊松分佈,而服務時間服從負指數分佈。我們用λ表示單位時間內平均到達的顧客數,用μ 表示各個服務枱的平均服務速率(服務員的服務能力)。那麼,ρ = λ / μ就代表了服務強度(準確地來説,應該是平均服務時間與到達間隔的比值,也就是(1/μ)/(1/λ))。
Ws表示顧客在系統中的平均逗留時間(包括排隊等待時間和接受服務的時間),Wq表示顧客排隊等待的平均時間,可通過如下公式計算:(具體的計算是通過穩態時系統狀態之間轉移的差分方程得到,細節可以參考 [4])

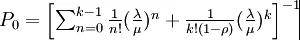
兩種隊伍模型示意圖,左邊為多個服務枱多條隊伍的情況,將所有來的人平均分開。而右邊的並不進行區分,把所有來的人都放在一個隊列裏,使用多個服務枱進行服務。直觀來看兩者並無不同,實際上差異特別大。假如我們遇到了服務枱壞掉的情況,右邊就會顯得比左邊更為高效,也不會導致混亂。圖片來自 Wall Street Journal
如果是一個隊伍一個服務枱的情況

如果是一個隊伍 k 個服務枱的情況

其中

上面公式顯然並不夠直觀我們知道大家都不愛看公式,我們以有三個窗口的售票大廳為例進行計算,假設每分鐘平均到達人數為 λ = 0.9,單位時間內服務人數為 μ = 0.4。我們可以計算得到,在多隊多服務枱時,有75%的顧客需要排隊等待,平均排隊等待時間為7.5分鐘,總時間平均需要10分鐘。而按單隊多服務枱的排隊規則進行排隊,則只有約57%的顧客需要排隊等待,平均等待時間為1.9分鐘,總時間平均只需要4.4分鐘。
所以在排隊做選擇的時候,儘量選擇一條隊伍對應多個服務枱而不是每條隊伍一個服務枱。
最後一點玄學
Finally
(沒用不要覺得是小編的錯)
【一切都是謬誤相關(illusory correlation)】
1.跑圈時大家都是左轉彎,所以右邊隊伍一般人少 (瞎編的)
2.排隊時,可以先到窗口觀察一下服務效率 磨刀不誤砍柴工(劃掉!)
3.為了緩解排隊引發的焦慮,可以考慮帶個朋友一起排隊 如果有的話(太過分了劃掉!)
4.帶好多個朋友一起排隊 (好像有點困難)
5.實在等得無聊,可以刷一下「中科院物理所」的文章 強烈推薦!
其實説了這麼多,看到大家都在排隊的時候,小編就倆字

參考內容
[1] Chapman, L (1967). “Illusory correlation in observational report”. Journal of Verbal Learning and Verbal Behavior. 6 (1): 151–155.
[2] http://www.bbc.com/future/story/20130827-why-other-queues-move-faster
[3] https://wiki.mbalib.com/wiki/%E6%8E%92%E9%98%9F%E8%AE%BA
[4] 《運籌學》, 清華大學出版社
編輯:Cloudiiink