聽説每出現一個數學公式,就有一半觀眾被勸退?_風聞
风云之声-风云之声官方账号-2018-10-27 14:32
2018年9月24日舉行的海森堡論壇上,著名數學家 Michael Francis Atiyah 爵士在會議上公開了他“證明黎曼猜想”的方法。這一過程引起了全世界的關注,即使是對數學瞭解不多的“吃瓜羣眾”,也懵懂地明白“黎曼猜想”一定是個很重要的數學證明。
但是,這短短45分鐘的證明過程,似乎非但沒有解決這已經遺留數百年的數學難題,反倒又增添了更多爭議。有人覺得他根本什麼都沒能證明,而絕大部分人是一臉懵逼的:還沒弄懂黎曼猜想,更加看不懂證明了。
那麼,像黎曼猜想這樣世界級的數學難題,真的有那麼艱深可怕嗎?這一次對於黎曼猜想的證明,是一場鬧劇嗎?讓我們走進科技袁人……
Σ(  ̄□ ̄||)節目畫風好像有點不對?
這裏説一些心裏話,其實相對來説,【科技袁人】節目中談論數學的幾期,相對來説播放和反饋是比較一般的。這也很容易理解,學習數學需要耐心,而且肯定也沒有那些有關大國技術碰撞的話題來得吸引人。但是袁老師和我們一直都覺得,如果大家都覺得很難,然後作為科普者,也順應這個思維,就逃避、就取巧,那麼最終只會形成惡性循環,讓數學變得越來越“無趣”,讓更多人遠離。大家會覺得,哦,你看,袁老師講了兩次數學也覺得不行,都不講了。這個也就是袁老師視頻裏提到的“跳蚤效應”。
所以,即使是讓多一位觀眾能學到東西,讓多一位觀眾對數學產生興趣,我們也覺得這仍然是好事,既然想要去星辰大海,既然想要飛出地球,那我們就先從能“跳”得出數學公式開始吧。
部分評論
懶惰水瓶:
就算看不懂也看下去。。不是因為笨。。主要是喜歡這個氛圍
咖啡囙:
沒按照袁老師説的自己算,第二遍看懂了,跟着算的話第一遍一定能懂。實際上只要你明白m^-s*n^-s=mn^-s這個數學知識,根據視頻提供的思路是很容易證得結論的。就如同袁老師説得那樣,放下手中的瓜,我們也可以懂得數學。通過這個視頻我們可以發現,計算過程是簡單的,難度在於想到這樣的證明方法,數學有什麼用?對於普通人來説,數學就是告訴你——解不開的難題是缺少了簡便的解題思路。比起關注這個問題有多難,仔細思考什麼樣的方法可以解決難題要實際且有效的多,這在生活中也同樣適用。我身邊有朋友問我,科學跟老百姓有什麼關係?通過這個視頻,我找到了一個答案——科學教會人如何理性的思考、如何獨立自主地解決身邊的難題、如何在混亂龐雜的信息中找到有價值的部分。科學的前沿可能離你很遠,科學的思考方式卻就在你身邊
水滴Kstone:
我是工作多年了倒無壓力聽得懂,雖然以前數學成績也不好,但可能平常還是多關注科普方面的東西,年紀大了經歷也有了,反而回想自己學校碰到難題倒思路到清晰可以理解了,想想以前學習生活還是比較死板幼稚,信息面也沒像現在廣闊,那時候有個感覺是高中學的太難了,至少要等我長大了一些心智成熟些才能理解,現在看來對於我自己來説是這樣的。
原文參考:理解黎曼猜想(一)背景 | 袁嵐峯
2018年9月,整個數學界以至整個科學界最轟動的一件大事,就是有一位德高望重的前輩數學家宣稱自己證明了黎曼猜想(Riemann hypothesis),引起了全世界媒體的密集關注。這位前輩數學家叫做阿蒂亞(Michael Francis Atiyah),我們以後再來介紹他。大多數人看到這個新聞,首先想問的想必都是:
黎曼猜想是什麼?
黎曼猜想是什麼?
黎曼猜想是什麼?

黎曼猜想是什麼?
其實這個問題也是我想問的。以前我只聽説過黎曼猜想是數學中最重要的未解之謎之一,但對於它具體是什麼內容,以及它為什麼很重要,我就一片茫然了。
於是借這個機會,我就好好學習了一下我能找到的關於黎曼猜想的資料。一學不得了,我發現這裏面的水真的很深很深,關於黎曼猜想的有趣的事實在太多了。無論如何,看了一堆資料之後,在我理解的範圍之內,我大致可以理出一個頭緒了。今天,我們就來講黎曼猜想。
在開始之前,有兩個重要的心理建設,首先要做一下。
一提到數學,立刻就有許多讀者表示恐懼。有一句名言説:每出現一個數學公式,都會嚇跑一半的讀者。但是我一直想強調的一點是,這種玩笑在很大程度上是自己嚇唬自己。我們不應該渲染數學多麼恐怖,而應該多講講數學多麼有趣。
數學是所有科學的一個縮影。我的努力方向之一就是讓普通人克服對科學的畏難情緒,懂得欣賞科學的美妙。
有一個詞叫做“跳蚤效應”,説的是給跳蚤加個蓋子,讓它只能跳到某個高度,在拿掉蓋子以後,跳蚤也不會跳得超過原來蓋子的高度,因為它認為自己只能跳到這麼高了。許多人也是如此,不敢去追求夢想,因為他們心裏就默認了自己做不到。如果你認為自己肯定做不到,那麼你當然就真的做不到了。但如果你勇敢地去做,你就會發現許多事都是可以做到的,你取得的進步會超出自己的預期。學習科學就是如此!
因此我們的第一個心理建設是:勇敢地去面對數學問題,打破跳蚤效應!
再來看第二個心理建設。我們在前面講過三次“藍眼睛島問題”,許多同學們被理性的藍眼睛島民繞得暈頭轉向。即使在我已經條分縷析講得清清楚楚之後,還有不少同學陷在各種錯誤裏面。其實跟黎曼猜想這種真正的難題相比,你就會發現,藍眼睛島問題純屬小兒科的,好像新手村送經驗的小怪跟終極大boss的對比。

藍眼睛
所以,我們對黎曼猜想不講則已,要講就要好好講,讓同學們搞明白這個問題的來龍去脈。同學們也應該打點起十二分精神,認真地聽講,深入地思考,還應該自己拿起紙筆做演算,——如果你真的想了解這個重大問題的話。
2018年9月10日教師節的時候,我在風雲之聲發了一篇文章從藍眼睛問題,看羣眾理解能力的巨大差異 | 袁嵐峯。裏面説到:
“我在評論區看到了很多長篇大論的謬論,把各種有可能犯的錯誤都犯了個遍。我不禁想問了:你們與其費這麼大勁寫這麼多漏洞百出的東西,為什麼不先好好看看視頻?難道你們沒發現,你們的問題老師在課堂上早就回答過了嗎?
由此可見,許多人的問題是:閲讀理解能力太差!這是個非常基本的缺陷,是最基礎的學習能力、溝通能力的問題。有這種缺陷的同學們請注意了,如果不先改進閲讀理解能力,那麼你很難跟別人進行有效的交流。你即使很努力地想學習什麼、思考什麼,也很容易變成事倍功半,把自己和別人都累得半死,結果還是錯誤百出。”
然後我指出了藍眼睛島問題的十個層次,告訴了大家每一個層次應該怎麼思考,常見的那些錯誤為什麼是錯誤。在這篇文章的評論區裏,我看到有一位讀者終於開悟了:
“恍然大悟……之前看袁老師都是邊吃瓜邊看。沒有去認真思考。果然看書還是比看視頻有效率……”
我也在評論區回覆了他:
“藍眼睛島這種高強度的問題,不集中注意力是無法理解的。以後要吆喝一聲:把瓜放下!”
同樣的提醒,也要放到黎曼猜想這裏來。如果你真的想了解黎曼猜想,就把瓜放下!這就是第二個心理建設。
各位同學們,打破跳蚤效應,把瓜放下,我們出發了!
黎曼猜想的內容很多,如果我們只講一期,那麼大致就只能像你看到的那些新聞報道一樣,浮光掠影地講幾個結論,然後你還是不知所云。所以我們打算分幾期來講。今天這第一期,要講的是黎曼猜想的背景。
黎曼猜想的背景是什麼?一言以蔽之,是質數(prime number)的分佈。你可能已經在許多媒體上看到這個説法了,但這句話實際是什麼意思,大多數人很可能還是茫然不知所措。聽完這一期,我想你就會對這句話獲得一個相當深入的理解了。
首先,什麼叫做質數?
學過小學數學的同學們都知道,質數就是那些只能被1和自己整除的自然數,也叫做素數。不但能被1和自己整除,還能被更多的自然數整除的自然數,叫做合數(composite number)。
根據定義,1既不是質數也不是合數。從1往後看,2是質數,3是質數,4是合數,因為4 = 2 ×2,5是質數,6是合數,因為6 = 2 × 3,7是質數,8是合數,因為8 = 2 × 2 × 2,9是合數,因為9 = 3 × 3,如此等等。
然後,我們對質數的認識有一個明顯的缺陷,就是我們還不知道質數的分佈規律。也就是説,我們沒有一個有用的質數通項公式。
這話是什麼意思呢?跟其他的數的種類對照一下就知道了。我們來問,第n個偶數是什麼?回答很明顯,就是2n。我們再來問,第n個奇數是什麼?回答也很明顯,就是2n - 1。我們還可以問,第n個平方數是什麼?回答也很明顯,就是n的平方。
那麼,第n個質數是什麼?回答就一點都不明顯了,實際上到現在都沒有快速的算法。這樣一説,你立刻就可以明白,人類對質數的瞭解還非常有限,遠遠低於對偶數、奇數或者平方數的瞭解。
假如我們對質數有了一個通項公式,那麼可想而知,立刻會造成許多驚人的後果,極大地推動數學和許多相關應用的進步。
例如許多人都知道哥德巴赫猜想(Goldbach’s conjecture),它説的是:任何一個大於2的偶數,都可以表示成兩個質數之和。例如4 = 2 + 2,6 = 3 + 3,56= 3 + 53,100 = 3 + 97等等。中國數學家陳景潤對哥德巴赫猜想有巨大的貢獻,但仍然沒有徹底解決這個問題。假如我們有質數的通項公式,那麼也許我們很快就能對任何一個偶數寫出它如何分解為兩個質數之和,只要做一些簡單的代數計算就行了。

陳景潤
又如另一個廣為人知而迄今沒有解決的數學難題,叫做孿生質數猜想(twin prime conjecture)。相差為2的一對質數叫做孿生質數,例如3和5、5和7、11和13、137和139等等。孿生質數猜想説的就是:存在無限多對孿生質數。中國數學家張益唐對孿生質數猜想有巨大的貢獻,但仍然沒有徹底解決這個問題。假如我們有質數的通項公式,那麼也許我們很快就能確定哪些質數跟它的下一個質數只相差2,只要做一些簡單的代數計算就行了。

張益唐
現在你看出來了吧,許多關於質數的經典難題都是由於我們對質數的分佈瞭解得太少。假如我們對質數有了一個通項公式,世界將會變得多麼美好!黎曼猜想,就是通向這個宏大目標的重要一步。
搞清楚了這個背景,我們就可以來考察下一個問題了:如何研究質數的分佈?
嘿嘿,從這裏開始,難度就陡然上升了。如果説前面的內容你輕輕鬆鬆就能聽懂的話,那麼這裏你就必須寫一些公式,做一些演算,才能理解妙處所在。所以讓我們再次吆喝一聲:把瓜放下!
研究質數分佈的基本工具,是偉大的瑞士數學家歐拉(Leonhard Euler,1707 - 1783)提出來的,叫做歐拉乘積公式:

歐拉

這個公式左邊的n指的是所有的自然數,1、2、3、4、5等等,右邊的p指的是所有的質數,2、3、5、7、11等等。公式中的s是一個變量。我們可以證明,對於任何一個大於1的實數s,歐拉乘積公式都成立。這個證明,我們待會來講。
為了節約篇幅,數學家經常用大寫的希臘字母Σ來表示求和,用大寫的希臘字母Π來表示連乘。此外,學過初中數學的同學們都知道指數為負的乘方是什麼意思,a的-b次方就等於a的b次方的倒數,即1除以a的b次方。因此,我們可以把歐拉乘積公式簡寫成下面這樣:

如果你對這個簡寫的形式感到暈頭轉向,沒關係,回到上面的擴展形式就能看明白了。
歐拉乘積公式為什麼是正確的?為什麼左邊的一個對自然數的求和可以變成右邊的一個對質數的乘積?現在我們就來證明它。
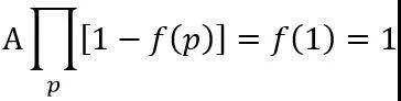
為了簡化表達,讓我們把n-s記作f(n)。那麼左邊就是Σn f(n) = f(1) + f(2) + f(3) + … +f(n) + …,讓我們把它記作A。右邊就是Πp[1- f(p)]-1,讓我們把它記作B。現在我們要證明的,就是A = B。
我們可以注意到,對於任意兩個自然數m和n,f(m)跟f(n)的乘積就等於f(mn),因為兩個數的同一指數的乘方之積等於這兩個數先乘積再乘方,

利用這個性質,我們來問,把f(2)乘到左邊這個無窮級數A = Σn f(n)上面,會得到什麼?顯然,f(2)乘以第一項f(1)得到f(2),乘以第二項f(2)得到f(4),乘以第三項f(3)得到f(6),如此等等,最後得到的就是:

在這個級數中,出現了所有的2n,也就是所有的以2作為質因數的合數。那麼我們再來問,從A當中減去f(2) A,又會得到什麼?答案明顯是:

就是在所有的f(n)之和中,去掉了那些包含質因數2的合數的項。
現在我們再來問,對A [1 - f(2)]乘以[1 - f(3)],又會得到什麼?根據同樣的推理,你很快會發現,答案就是在上面的基礎上,再去掉所有那些包含質因數3的合數的項。也就是説:

也許你會問,有一些合數的質因數中既包括2,也包括3,例如6 = 2 × 3,它們對應的項會怎麼樣?回答是:這些項在第一步操作,即乘以[1 - f(2)]時就已經消去了。在第二步操作,也就是乘以[1 - f(3)]的時候,是把第一步中剩下的那些質因數不包括2、但包括3的項消掉,例如f(3)和f(9)。總而言之,一個質因數包括3的合數必然會被消滅掉,可能在第一步,也可能在第二步。在哪一步消失不重要,真正重要的是沒有漏網之魚,因為最後一步是兜底的通殺。
再下一步,我們再來問,對A [1 - f(2)] [1 - f(3)]再乘以[1 - f(5)],又會得到什麼?根據同樣的推理,答案就是在上面的基礎上,再去掉所有那些包含質因數5的合數的項。也就是説:

我們把這種操作繼續下去,對於越來越大的質數p,一再地把[1 - f(p)]乘到左邊。那麼右邊剩下的項就越來越少,會依次地消失掉質因數7的項、質因數11的項、質因數13的項等等。
最後,當我們把這個操作進行無限多次,把所有的質因數包含某個質數的項都消掉,右邊會剩下什麼?
回答是隻能剩下一項,就是f(1)!
為什麼呢?因為任何一個大於1的自然數,都或者是一個質數,或者可以表示成若干個質數的乘積,而且這種質因數分解是唯一的。這個命題有個超級高大上的名稱,叫做算術基本定理(fundamental theorem of arithmetic)。當然,即使是對於小學高年級學生來説,算術基本定理的內容都是常識了。
因此,任何一個大於1的自然數對應的項f(n),都會在我們不斷地把[1 - f(p)]乘到左邊的某一次操作中消失。最後屹立不倒的就只剩下一項,f(1),因為任何一個質數都大於1,所以不能把f(1)消掉。讓我們回顧一下,1既不是質數也不是合數!
現在請問,f(1)等於多少?看定義,f(n) = n-s,而1的任意指數的乘方都等於1,所以無論s取什麼值,f(1)就等於1。
於是我們得到了一個驚人的結果:

把左邊的這個連乘移到右邊去,就變成了A等於它的倒數Πp [1- f(p)]-1。這個表達式是什麼?正是我們前面簡寫的B。
因此,我們確實證明了A = B,也就是歐拉乘積公式:

同學們是不是很開心啊?
歡呼雀躍
歐拉乘積公式的重要性在於,對於全體質數的某種運算可以轉移成對於全體自然數的某種運算。這樣一來,通過研究左邊那個對於自然數的求和Σn n-s,我們就有可能對質數獲得深刻的認識。由於這個求和非常重要,所以它獲得了一個專門的名稱:黎曼ζ函數(ζ是一個希臘字母,發音zeta)。
咦,這個函數明明是歐拉提出來的,怎麼叫做黎曼ζ函數了?這就涉及到黎曼對這個函數所做的工作了,我們下回分解。