聽説你轉發了無數條錦鯉,卻一次都沒中……_風聞
中科院物理所-中科院物理所官方账号-2018-10-29 09:32

從最開始的支付寶錦鯉,
到零食錦鯉旅遊錦鯉各色錦鯉,
現在的各種錦鯉真的是鋪天蓋地。
雖然每個人從小到大抽過的獎,
不説成千,上百肯定是有的。
但是,
想抽的大獎天天在變,
每次的結果卻一成不變。

喝了那麼多年的飲料,每次打開瓶蓋,永遠只是「謝謝惠顧」,多麼想要再來一瓶
不要悲傷不要哭泣,
請讓我先測個心理陰影面積……
介 紹
Introduction
當一個人傷心難過的時候,大家都不説自己難過到想哭了,而是説自己難過傷心到變形。難道是生活太過艱難,眼淚早已流乾?

在你難過的時候,他們根本不會心疼你,
他們只會刷 233333
其實你傷心難過到變形也沒關係,拓撲學告訴我們,經過連續變換以後,你還是你,拓撲性質是不會變的,到時候還是可以變回來的。
不過從一個科學研究工作者的角度來説,我們更想知道一個人在被傷透了心的時候,他身上發生了什麼變化,而且最好是可以讓人定量分析(被小編我拿來寫文章的那種)。幸運的是,這個物理量在幾年前就已經被廣大網友們發現並廣泛傳播。它被稱為一個人的**「心理陰影面積」**。(雖然我很想在這裏列一個參考鏈接,但是其出處已不可考。)
一般認為,這個概念是受到了流行於網上的小學奧數幾何題的啓發,與「心理陰影」這個詞結合在一起。

一個正方形,兩條曲線。一個是半圓弧,一個是 1/4 圓弧。求區域 a 的面積。這道題目就留給感興趣的讀者了[1]。©tianlynn
只要一個人處於難過,煎熬,無奈,哭笑不得等種種情況時,我們都可以求他們的心裏陰影面積。例如:
小紅被小花發了好人卡,在回去的路上又被車濺了一身水,求小紅的心理陰影面積。
通過例子可以看到,「心理陰影面積」這個概念可以用於定量分析人類的情感變化,有着極強的普適性和廣泛的應用前景。因此,如何正確地測量「心理陰影面積」,發展新的計算方法和探測手段,是十分重要而又基礎的問題。本文將從現有的一些面積測量手段出發,建立「心理陰影面積」的定量測量理論。
面積的定義
Definition
所謂**「一朝被蛇咬,十年怕井繩」**,已經有眾多實驗現象證明了,心理陰影現象客觀存在。但是如何進行定量的分析,還有待進一步的探索。因為心理陰影發生在人的內心,所以我們實際上並沒有太過有效的測量手段。然而,我們可以通過測量其他的面積來描繪心理陰影面積。
在人傷心難過,心理情況出現變化的時候,一般人的表情都會有所變化。更具體地來講,這些細節反映在皺起的眉頭,眼角的皺紋,臉部肌肉形態的變化等,而這些形狀的變化可用通過測量面部的陰影從而方便地得到。

躲在角落畫個圈圈詛咒你,©sana217
從環境因素來看,當一個人的內心出現變化,變得比較傷心難過時,一般會選擇「讓我一個人靜一靜」。結合網絡上比較流行的表情包,我們可以看到,傷心難過的時候人們會更傾向於躲在角落裏,把自己的身體蜷縮起來。而這些身體位置和形態的變化,我們同樣可以通過測量人影子面積的變化得到。

建立映射關係
儘管我們不能直接測量心理陰影面積,但是我們在我們可以測量的外部陰影面積和心裏陰影面積之間建立了一個映射。本文以下主要討論具體陰影面積的測量手段。
面積公式
Area Formulas
通俗地來講,面積用來表示一個平面圖形所佔範圍的大小。從更嚴格的定義出發,數學家們將面積定義為一個由平面圖形的集合映射至實數的函數,對應的理論被稱為測度論(也就是一個關於測量和度量的理論,研究的問題包括但不限於長度,面積和體積等)[2]。測度可以有很多種,我們日常生活中對應的測度被稱為勒貝格 (Lebesgue) 測度。

幾種常見的幾何圖形
關於面積的研究古已有之,農業上對於土地大小的計算,就要求人們能夠計算面積。對於幾種比較基礎的幾何圖形,比如矩形,三角形,圓形,我們都已經知道了它們的面積計算公式。不過這些面積計算公式並不能勝任我們對於複雜陰影圖形的面積計算的要求。
微積分
Calculus
提起面積,我們就不得不提到微積分。人們一直希望能夠計算複雜的圖形的面積,從阿基米德計算拋物線下方的曲邊三角形算起,至今已有兩千多年的歷史。這個問題直至牛頓和萊布尼茲發明了微積分才正式得到解決。

通過小矩形不斷地擬合複雜曲線下的圖形,我們最終就能求得曲線下方的面積大小。
不過這個方法對於我們求解陰影區域的面積並不太適合,因為我們並不知道陰影區域的邊界具體的函數形式。針對這種離散的問題,科學家們早已有所研究。
如果沒有曲線,那我們就造一條曲線!
這就是**插值:**通過一條給定形式的公式,我們只需要擬合公式中的各個係數,就能還原出具體形貌的解析表達式。

目前插值方法的應用已經十分廣泛,在實際使用中,為了減小誤差,通常使用次數較低的多項式進行樣條插值,而不是大家更為熟知的拉格朗日插值
一旦有了表達式,自然也就可以通過傳統的積分方法計算面積的大小了。
皮克定理
Pick’s Theorem
針對面積的研究已經有很多了,我們把目光放在一類特殊的多邊形——格點多邊形上。格點多邊形即這個多邊形的所有格點均為正方形格子點。針對這一類多邊形,我們有一個很簡單的面積計算公式。

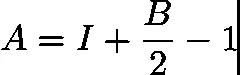
多邊形的面積等於內部格點數加上一半的邊格點數,再減去 1
這個公式也被稱為皮克定理。

這個定理對多邊形的凹凸性並沒有要求[3]
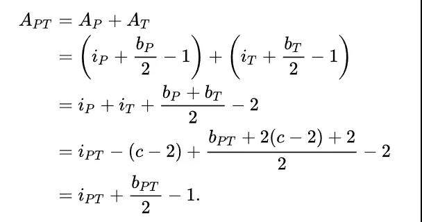
這個定理並不需要你的多邊形是多麼地規整,對於凹凸性也並沒有要求,只要你的頂點都在格點上就好。這個定理的證明也十分地簡單,利用數學歸納法,假設皮克定理對多邊形 P 和三角形 T 都成立,在把圖形拼起來以後,部分邊上的點會變成內點,內格點的數量會增加,而邊上總的格點數會減少,而這兩部分正好抵消,皮克定理依舊成立。

上圖中 A 代表面積,i 代表內點數量,b 代表邊上格點數量,c 為兩個圖形重疊的格點數量。當然這個證明並沒有完全完成,我們還需要驗證皮克定理對於三角形成立[4]。
當然,如果覺得皮克定理記起來太麻煩,我們可以換一個角度來理解這個公式。我們想象在每個格點上都有一個圓盤,這些圓盤的面積就是整個多邊形的面積。每一個在多邊形內部的格點,貢獻一個完整的圓盤,而每一個在多邊形邊界上的格點,貢獻 1/2 個圓盤,這就解釋了皮克定理前兩項的來由。

而最後減去 1,是因為雖然我們要構成一個閉合的圖形,在邊包圍的過程中恰好丟失了一個圓盤的大小,對應幾何即**「多邊形的外角和等於 360 度」**[5]。
如果我們在需要求解陰影部分建立網格,通過連線,我們就能把複雜的陰影區域轉化為格點多邊形,從而就能求出格點多邊形的面積。如果格點畫的足夠密的話,我們甚至只需要計算內點的數量,就能求出面積(邊上的格點數量在此時已經可以忽略不計了)。
至此,我們就把一個陰影面積的計算問題約化為了一個簡單的數數問題。
光 學
Optics

説了這麼多,其實最簡單粗暴的辦法近在眼前:我們拍個照不就好了。

我們可以動態地測量陰影的變化
現在的計算機處理能力這麼發達,通過簡單的二值化,我們就能得到陰影部分。想要知道陰影面積?直接數像素點就 OK 了。光學測量手段雖然較為簡陋,很容易把無關的陰影部分面積統計進來,但是,其最大的優勢在於可以觀察動態的陰影變化情況。如果用點學術的詞語來説,就是我們可以觀察系統的動力學演化過程。
結 論
Conclusion
綜上所述,我們從定義出發,建立了「心理陰影面積」的有效度量手段,並具備空間分辨和時間分辨能力。
最後的最後,請接收小編誠摯的道歉。畢竟,在你最傷心難過的時候,他還在悄悄地測量你的「心理陰影面積」。

請收下禮物
參考鏈接:
[1] http://tianlynn.net/archives/tag/maxima
[2] https://en.wikipedia.org/wiki/Category:Measure_theory
[3] https://www.maths.ox.ac.uk/node/30022
[4]https://en.wikipedia.org/wiki/Pick%27s_theorem
[5] http://blog.sina.com.cn/s/blog_a1c409e30101efme.html