連虧三年的寶寶樹,上市真的是一個好選擇嗎?_風聞
翟菜花-2018-11-30 18:08

2018年11月27日,母嬰電商寶寶樹在籌備許久之後,終於正式登陸港交所,開盤報價6.8港元/股,收盤較發行價漲1.03%,達到6.91港元/股,當日收盤市值達115.32億港元。
此次寶寶樹IPO,成為了國內母嬰電商類企業的第一股,按照日前公告,寶寶樹上市後計劃將募資淨款項的30%用於公司的業務擴張,30%用於研發活動,30%用於公司未來的投資、收購、以及戰略聯盟提供資金。剩下的10%用於營運資金以及其他一般企業用途。
對於如今的母嬰電商行業而言,寶寶樹的成功上市,標誌着母嬰電商領域即將迎來一個新的發展階段,但對於寶寶樹自身而言,卻不應該是為成為第一股而自喜的時段。
寶寶樹IPO的原因:行業大環境與資本推手
寶寶樹能夠實現IPO上市,首先得益於母嬰市場爆發式增長的因素。
自二胎政策開放以來,2016年我國全年出生人口達到1786萬人,其中,二胎佔比超過45%。而到了2017年,二胎數量達到883萬人,更是首次超過了一胎人數。就好比互聯網商業野蠻生長時期的人口紅利一般,這種突增式的新生兒,給母嬰市場帶來了用户基礎。
**其次,得益於互聯網電商領域的線上挪移,全民互聯網時代,不僅培養了新一代年輕父母羣體網購的消費習慣,同時還改變了傳統母傳妻式的母嬰知識傳輸體系。以線上社區為主的母嬰社區開始建立,年輕父母獲取育兒知識的渠道擴充,也使得這這部分用户羣體更加重視母嬰養護。**這些都變相刺激了母嬰類產品的銷售,讓本應以線下為主的母嬰類產品向線上移動,母嬰電商從2013年迎來爆發式增長期。
此外,寶寶樹能夠在今年進行IPO,很大程度上也是背後資本的推手。自寶寶樹成立之後,先後獲得了復星、好未來、經緯等資本的投資,而今年6月4日,寶寶樹正式宣佈與阿里巴巴集團達成資本戰略合作,宣佈雙方將開展在電商、C2M、廣告營銷、知識付費、新零售、線上線下母嬰場景等多個層面的大規模深層合作。
對於國內的電商企業來説,阿里的光環效應無疑是最為優秀的資源供給,無論是品牌形象、運營、供應鏈物流還是資本,這些環節阿里都可以為期賦能,也是在這種大環境利好與雄厚資源推手,寶寶樹得以逆襲,成為中國母嬰電商第一股。
但第一股只是一個階段性突破,並不意味着寶寶樹的企業價值就能直接逆襲,成為母嬰電商的首位。
梅特卡夫法則下寶寶樹的價值分析
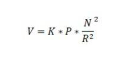
計算機網絡先驅、3Com公司的創始人羅伯特·梅特卡夫曾經認為網絡價值應該以用户數量的平方的速度增長,一個網絡的價值等於該網絡內的節點數的平方,而且該網絡的價值與聯網的用户數的平方成正比。
而有學者在此基礎下,認為互聯網的價值在於節點之間的相互連接,每N個節點可能與N-1個其他節點發生聯繫,潛在的關聯為N(N-1),即N^2個數量級。因此互聯網公司價值為:V=N^2,其中V是互聯網價值,N為用户數量。
後來這種“用户至上”的判斷準則不斷完善,在2015年時,國泰君安策略團隊認為互聯網企業的價值由變現因子、溢價率、用户數量或潛在用户數量、高質量的網絡節點四大核心要素構成,在此基礎上演變出了一個較為全面的公式:

其中V是互聯網企業價值,K是變現因子,P是溢價率係數(取決於企業在行業中的地位),N是網絡的用户,R是網絡節點之間的距離(客户間互動因子)。
我們以這個公式來看:
*寶寶樹的盈利變現手段較為單薄,只有電商、廣告和社區付費。而寶寶樹在母嬰電商上,2015-2017年額虧損分別為2.86億元、9.34億元、9.11億元。綜合這連續三年虧損的情況,以及本身較為單薄的盈利變現方式來説,變現因子K的值處於較低階段。
*寶寶樹行業地位在此次上市成為第一股之後,可能會有所增長,但之前寶寶樹在母嬰電商行業中並無明顯的競爭優勢。
根據MobData公佈的2018年母嬰消費市場研究報告顯示,在母嬰電商APP活躍滲透率TOP10排名中,貝貝網、孩子王、蜜芽位居前三,而寶寶樹旗下的母嬰電商美囤媽媽僅排名第十。而從極光大數據發佈的《2017年9月母嬰電商app行業研究報告》來看,國內市場滲透率前5名的母嬰電商APP分別是貝貝、孩子王、蜜芽、大V店和花粉兒。
也就是説寶寶樹的基礎市場份額並不高,其溢價率係數P的基礎數值也相應的較低。
*寶寶樹的用户數方面更加不堪,據招股書顯示,寶寶樹在2017年,MAU為1.39億,但截至今念6月30日,寶寶樹的MAU降至8950萬,其中付費用户數量更是跌至270萬,去年同期為360萬,N數值不斷降低。
*寶寶樹此次IPO的一個重要的噱頭是“社區+電商”,但寶寶樹的“社區+電商”卻顯得有名無實。寶寶樹社區付費、電商和廣告營收中,社區付費這一環節佔,根據艾瑞統計,佔比僅僅只有3.4%。也側面説明了在與客户之間的互動中,寶寶樹社區的粘性並不足,R數值堪憂。
以此來看,寶寶樹的市場價值其實在整個母嬰市場中並不高,能成為母嬰市場第一股更像是資本催熟。
寶寶樹的破局之路:社交電商營銷的阿倫森效應與趨近效應
近期有不少媒體看到寶寶樹上市之後的些許漲幅,盲目的吹捧寶寶樹的潛力與價值,其實對一個剛剛上市的企業來説,上市短時間的增長或者破發都是正常現象,並不是一竿子打死的證明是否被資本市場看好。著名投資人朱嘯虎也説過“相比當年亞馬遜4億美金,微軟5億美金,騰訊6億美金市值上市,今天互聯網創業企業價值增長基本都已在一級市場完成,甚至透支。”
而且上市是一把雙刃劍,信息披露的不僅僅只有優點。對於一家上市公司而言,其重大事項必須進行披露,哪怕在不瞭解真實情況下也要如實披露尚不知情。信息披露對任何證券市場的上市公司都是一個考驗,其中很多紅線都不能踩。
而在信息披露下,寶寶樹目前的處境就顯得更為尷尬,如果再不擴大市場份額,止住虧損與用户流失,很可能會喪失掉資本的信任沒,因此必須在上市之後進行調整,而在筆者看來,社交電商就是當下破局的帕累托最優解。
**得****益於社交的強關聯與去中心化屬性,社交電商在近兩年中迅速崛起。由於如今互聯網商業流量處於增量市場中,獲客成本急劇提升,而社交電商通過獨有的社交屬性,可以把電商入口下沉到四五線市場,有着天然的商品價值。**拼多多,雲集微店等“社交+電商”平台的崛起也都歸功於此。
而母嬰類產品的受眾為父母,這類用户基於人脈關係網絡,可以形成以信任為核心,在社交媒體上關於商品的關注、分享、互動,往往有着病毒般的傳染性,可以實現無限裂變。這也是母嬰、醫美等行業都在做社區的原因,只是如今相比較自建社區,以微信為主的社交領域更為活躍與便捷。
而且母嬰領域的社交電商,也能最大程度發揮社交電商營銷的阿倫森效應與趨近效應。
阿倫森效應指的是:隨着獎勵減少而導致態度逐漸消極,隨着獎勵增加而導致態度逐漸積極的心理現象。而趨近效應指的是:人們在越接近目標的時候,會更願意投入注意力和精力去完成目標。
我們常常能看到各種同齡年輕父母之間,都有着自己社交的小圈子,通過一定的拼團優惠、助力打折等社交電商玩法,可以極大地發揮阿倫森效應,調動該羣體的消費積極性。同時,把握好獎勵機制設置合理的滿減策略,讓趨緊效應生效,進而增加用户羣體的粘性。以此改善目前寶寶樹用户大量流失的局面。
所以對於如今的寶寶樹而言,正是面臨息息披露,真實企業價值顯露的時期,也是尋求自我變革,全面剖析自己的時期。擁抱社交電商的大潮流,不失為一個自我止渴,真正翻盤的決策。
科技自媒體“翟菜花”,訂閲號:翟菜花,個人微信號zhaicaihua002,轉載保留版權,違者必究。