從918到豫湘桂,軟了13年的常公_風聞
90天内改一次-2018-12-18 14:53
昨天是12月17日,87年前的1931年12月17日,全國各地代表匯聚南京,向國府請願,敦促國府抗日。國民黨反動派血腥鎮壓請願代表,打死30多人,製造了震驚全國的“珍珠橋慘案”。
1年後1932,《淞滬停戰協定》簽訂後,國府認真執行為日本“取締反日宣傳”之承諾,凡報道有“日本”之類字樣既替以XX
4年後的1935,蔣委員長授予常公特級上將軍銜。同年頒佈《敦睦邦交令》稱:凡我國民對於友邦,務敦睦誼,不得有排斥及挑撥惡感之言論行為,尤不得以此目的組織任何團體,以妨國交。
6年後的1937,南京城破
10年後的1941,日本鬼子轟炸珍珠港,常公第二天就對日宣戰。
以上種種導致1941年前中國人民看到的戰時新聞是這樣的
1937年趙登禹將軍犧牲

讀者甲:趙登禹是抗X殺敵而死嗎?
讀者乙:不知道,報紙上説他因殺**□□而死,沒説他殺XX**
1938年10月29日
議會電慰常公及抗X將士

某些東西常説:常公忍辱負重,為外援遲遲不肯宣戰,所以才在珍珠港後宣戰。
那麼常公從31年軟到41年,珍珠港後就硬起來了嗎?
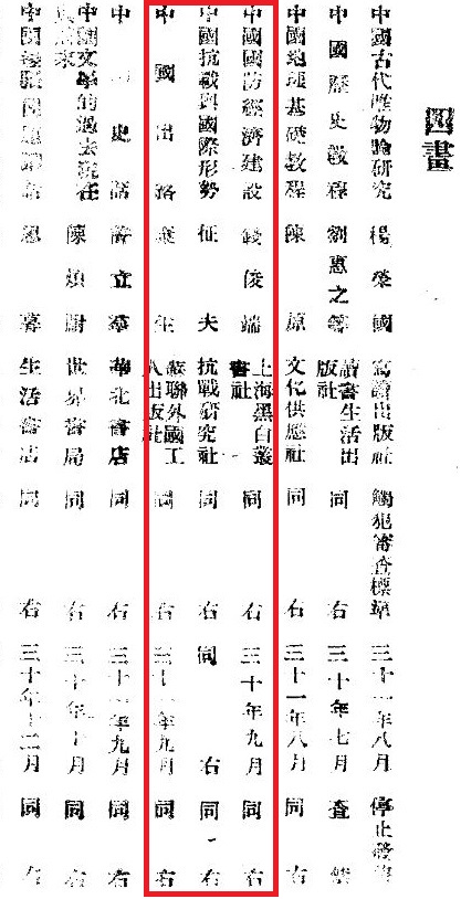
我們來看看常公的態度吧,以國府審查委員會1943年6月出版的取締目錄第二輯為例,書中列舉了1941年7月到1942年12月被封掉的抗戰宣傳資料。

審查委員會的工作態度那是沒得説,為了便於讀者查找,以筆畫為序列舉了書名,我們從一畫看起

一個日本人的中國觀。1942年5月想了解日方思維?常公宣戰了,封!
希特勒主義的死亡。1941年10月説法西斯滅亡?常公沒宣戰呢,封!

八路軍的戰爭經驗。1941年學八路的作戰經驗?常公沒宣戰呢,封!
新中國的女戰士。1941年7月女的想抗戰?常公沒宣戰呢,封!

大眾抗戰講話。1942年6月想聽抗戰講話?常公宣戰了,封!

中國國防經濟建設。1941年9月搞國防建設?常公沒宣戰呢,封!
中國抗戰與國際形勢。1941年9月宣傳抗戰?常公沒宣戰呢,封!
中國出路。1942年9月中國想找出路?常公宣戰了,封!

少年抗戰文選。1940年11月少年想抗戰?常公沒宣戰呢,封!
日本政治形勢與太平洋大戰。1942年6月想討論美日大戰?常公宣戰了,封!

出動中的新四軍。1942年4月新四軍想抗戰?常公宣戰了,封!
白崇禧將軍傳。1942年11月説桂系抗戰?常公宣戰了,封!
北線巡迴。1940年11月北方有敵人?常公沒宣戰呢,封!
這個按筆畫排序的目錄一直排到25畫,大家可以自行想像國府在1940年到1942年間封了多少抗戰資料。所以當前線將士百般熱血,付出千萬犧牲時,由於常公硬不起來,後方的報道上只能換來一句XX,
吾等正在死戰!
宣傳何故先降耶?!
如果大家以為到此為止,那就想得太簡單了,1944年日本鬼子發動豫湘桂戰役,躲在後方的國府依然在查封抗戰資料,真是軟出了風格,軟出了水平。這種從1931年軟到1944年,連續軟了13年的團伙最後怎樣了呢?
1956年“中華民國”偽立法院長張道藩參拜日本靖國神社
