中國科大在超冷原子拓撲量子體系研究領域取得新進展
據中國科學技術大學網站12月27日消息,中國科大潘建偉教授及同事陳帥、鄧友金等與北京大學劉雄軍、維也納工業大學、卡爾加里大學的合作者們,在超冷原子拓撲量子體系的實驗研究方面取得新進展。他們用量子淬火動力學方法在人工合成的二維自旋軌道耦合超冷原子體系中得到了直接判斷體系拓撲的動力學判據,並據此精確測定了體系的拓撲相圖。相關研究成果於12月18日在線發表在國際權威學術期刊《物理評論快報》上。該成果開創了用非平衡態動力學來研究拓撲量子體系的新方法。

二維準動量空間上的自旋極化隨時間的演化以及自旋極化呈現的圈狀
自旋軌道耦合是量子物理學中基本的物理效應,它在拓撲絕緣體、拓撲超導、Majorana費米子等多種拓撲量子物態中扮演了核心角色。由於拓撲的非局域特性,在拓撲相和拓撲態的判斷上通常難以找到一個局域的可觀測量。近年來,科學家們在超冷原子體系中發展了一系列拓撲探測手段,例如干涉法測量Berry相位、用熱原子填充測量能帶對稱點的自旋分佈等,但均未提供拓撲量子態簡單直接的判據,並且很多方法受限於温度效應和測量過程中的加熱影響,使得精確測量體系拓撲仍然困難重重。
研究小組對2016年實現的二維自旋軌道耦合進行了改進,提出優化的理論方案[Phys. Rev. A 97,
011605(R)(2018)],同時在實驗上構造出高度可控、對稱與長壽命的二維自旋軌道耦合玻色氣體[Phys. Rev. Lett.
121,150401
(2018)]。在此基礎上,研究小組利用非平衡態動力學方法在實驗上首次直接精確測量了能帶拓撲。他們利用量子淬火機制,使體系處於非平衡態,並在二維自旋軌道耦合哈密頓量下進行幺正動力學演化。在演化過程中,他們觀察到自旋極化在二維準動量空間上產生了圈狀結構,此結構被證實是近期理論提出的拓撲能帶反轉面的直接證據[Science
Bull. 63, 1385
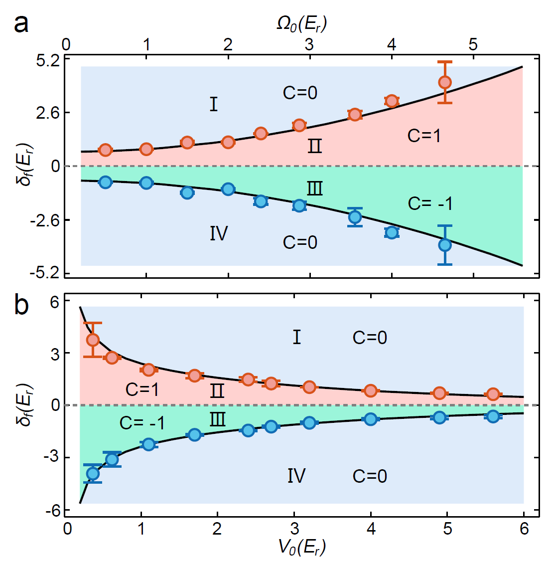
(2018)],進而可以直接判斷能帶的拓撲性質並得到拓撲陳數。不僅如此,通過實驗調節拓撲能帶參數,自旋極化的圈狀結構的尺寸也隨之變化,由此可以精確標定出拓撲非平庸區域的邊界,測定體系的拓撲相圖。相對於一般的平衡態方法,非平衡態動力學方法對原子温度以及高能帶的影響不敏感,具有很強的普適性,也可以推廣到高維的多種拓撲體系中來簡單直接精確地測量體系拓撲。

實驗上對拓撲相圖中拓撲邊界的精確測定
該工作首次在實驗上驗證了非平衡態動力學方法在探測體系拓撲方面所具有的優越性,為拓撲量子體系的研究提供了新思路。該研究工作得到科技部、國家自然科學基金委、中科院、教育部和中科院-阿里巴巴量子計算實驗室等支持。