為什麼説國產抗蟲轉基因水稻是披着國產外衣的買辦?_風聞
青蛙-2019-05-22 14:41
首先還是先擺明身份:我支持國產轉基因的研究,以及安全的轉基因的商業化種植。
我反對的轉基因有兩種:披着國產外衣的外國轉基因(抗蟲轉基因水稻),會污染環境的轉基因,目前這兩種都沒有獲得中國的種植許可,這不是我個人反對的結果,而是國家的政策,我非常認同。
如果有人想推銷這兩種,我就要揭露其中的問題:
一、誰才是國產抗蟲轉基因水稻的主人?
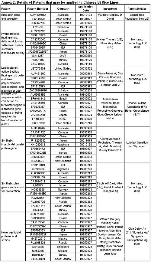
看圖,中國轉基因水稻涉及的外國專利:

來源:第三世界網絡英文版:
http://www.biosafety-info.net/file_dir/92463132048bf80532313f.doc
舉例:轉基因水稻明恢63由華中農業大學作物遺傳改良國家重點實驗室34研發的,而張啓發是該試驗室的主任,他同時也是華中農業大學的教授、中國科學院院士。
自1998年至今,這個國家重點試驗室共收到科研經費1.4億,其中張啓發主持的項目收到科研經費6700萬,資金來源包括國家自然科學基金會、“863”計劃、“973”計劃、教育部骨幹教師基金、湖北省科技攻關項目等35。2004年至今,張啓發還從國家自然科學基金會收到810萬研究經費。
作者的調查發現,轉基因抗蟲水稻明恢63在研發過程中,至少涉及到11項國外專利。這些專利包括了技術(如合成植物基因和準備方法(EP0413019)等)與基因(如合成殺蟲晶狀蛋白質基因(US5380831)等)。詳細的專利細節,請參考附錄1和附錄2。
來源:綠色和平組織關於中國轉基因水稻的調查:
http://www.greenpeace.org/china/Global/china/_planet-2/report/2008/5/ge-patent-report.pdf
二、轉基因買辦都有誰?
推進轉基因水稻商業化的“急先鋒” 張啓發教授,其實驗室最大的合作伙伴是美國孟山都公司,同時兼任“美國洛克菲勒基金會水稻生物技術國際合作打算科學顧問委員會”委員和“孟山都獎學金評定委員會”主任。
吳孔明,中國農科院植保所所長。在吳所長主持過的研究項目中,赫然列着“Rockefeller(洛克菲勒)基金會課題(2003-2004)和USDA(美國農業部)課題(2003-2004)”,美國農業部與洛克菲勒基金會一起為轉基因糧食“造福人類”而並肩奮鬥。
黃大昉, 1986—1988年和1992年曾以訪問科學家身份赴美國康奈爾大學從事微生物分子遺傳研究。多次在公然媒體上力挺轉基因。
賈士榮,自己就在申請一個轉基因水稻(抗白葉枯病轉基因水稻)安全生產許可證書,但是,他自己承認,他並不把握這種水稻的專利權,他只是通過自己的美國合作伙伴徵得加州大學戴維斯分校的同意獲得這種水稻的使用權,賈教授是在為美國的轉基因水稻申請在中國的安全生產許可證。賈教授還有一個身份:民營股份制企業深圳創世紀轉基因技術有限公司首席科學家和董事,他也想打造自己的“孟山都”。
胡國成,來自洛克菲勒基金會參與投資的中國水稻研究所。
彭於發,“1985~1996年曾3次在美國、澳大利亞進行合作研究”。彭於發是專門負責生物完全性研究的專家,2004進植保所,到2006就承擔了8項生物安全性研究項目,項目經費超過3000萬元。
黃季焜,轉基因主糧的力挺者,1990-1992年在洛克菲勒基金會和福特基金會共同設立的國際水稻研究所做博士後”。1993年黃又出國,“去斯坦福大學做合作研究,1994-1995年在國際食物政策研究所任研究員”。他還是“世界銀行和聯合國糧農組織政策顧問”,而洛克菲勒基金會組織的國際農業研究磋商小組曾吸收世界銀行和聯合國糧農組織的參與。黃季焜的夫人,從2001年開始,先是在賈士榮所在的中國農科院生物技術研究所的工作,並同時在賈士榮任董事的創世紀轉基因技術公司任職多年,後來她又被孟山都聘用。
陳章良,美國華盛頓大學生物學系植物分子生物學及基因工程專業畢業。陳章良師從美國科學院院士、著名的分子生物學家Roger Beachy教授,同時參加了第一批的轉基因植物研製。1985年陳章良受僱於孟山都公司,他的科研成果給孟山都公司獲得了鉅額的專利費。後來陳章良成為中國最早公然支持轉基因植物推廣的科學家。2007年2月,陳章良調任廣西壯族自治區人民政府副 ,全面佈置廣西與孟山都的合作,在廣西超額完成孟山都的種子推廣打算。
範雲六,其植酸酶玉米就是此次獲得農業部頒發的轉基因生物安全生產許可證書的兩個轉基因糧種之一。她是洛克菲勒基金會參與的“國際HarvestPlus項目中國負責人”,範雲六院士是洛克菲勒基金會在中國的一箇中間代理人,同時她又是中國農作物基因資源與基因改良重大科學工程學術委員會主任,意義真是非同小可。
-------
我們還要再來認識一個外國科學家,他就是國際農業生物技術組織(簡稱ISAAA)創始人和現任 克萊夫·詹姆斯(Clive James),他聲稱:“中國政府批准轉基因水稻和玉米是一項里程碑式的決策。”ISAAA的主要贊助商和控制者洛克菲勒基金會。ISAAA與中國安委會許多人員關係密切,2007年1月29日,由中國生物工程學會和中國農業生物技術學會聯合主辦的國際農業生物技術應用服務組織 Clive James博士專題報告會在中國農科院生物技術研究所舉行,“報告會由黃大昉研究員主持,範雲六院士、林敏所長、中科院農村政策研究中心黃季焜主任以及在京農業科研機構、有關管理部門及企業的專家、技術人員和研究生共150餘人參加了會議”。從公然的報道看,轉基因科學家與ISAAA這樣國際轉基因推手之間存在着密切的聯繫。
--------------------
是誰控制了中國的轉基因水稻已經一目瞭然!
您還認為中國轉基因水稻是國產嗎?
三、買辦們還做什麼?
轉基因水稻明恢63不單涉及國外專利,還涉及非法種植。
2005年,綠色和平在湖北多個地方發現沒有通過安全審批的轉基因水稻被種植與銷售。轉基因大米污染了當地的大米市場。
2006年,在廣州也發現了轉基因大米,在銷往北京、廣州和香港的嬰兒食品中也含有轉基因明恢63的成分。
2006年9月,在法國、英國和德國從中國進口的米制品中也發現了這種轉基因大米成分。
2007年初,日本也發現了有此污染。直到現在,轉基因水稻明恢63的污染仍一直在持續。