賭上理工男的尊嚴!如何用物理方法測出女友的體重?_風聞
观察者网用户_273775-2019-07-24 18:05
來源:微信公眾號“畢導”
相信大家都遇到過這樣的情況:女生總是轟轟烈烈地聲稱自己正在減肥,然而當你善意地關心一句“現在體重多少啦?”她卻總表示不知道自己幾斤幾兩,甚至直接扇你一巴掌。

我不會去批判這種掩耳盜鈴的行為,因為我最近研究出了許多方法,可以直接在物理的層面上計算出女生的體重!
我們有幸邀請到了一位非常願意公開自己94斤體重的志願者,由她來檢驗我們的方法。

一、狗子法
既然是物理實驗,那借助一些測量道具也是無可厚非的。
家中有貓貓狗狗的都明白,想要知道狗的體重,只要你抱着狗上秤,在總重量中減去你,就是狗。同樣道理,減去狗,就是你。
那麼方法就很簡單了。
我們首先向女生賣萌,希望她幫忙稱出狗子體重。聰明的女生一定會想到抱狗上秤。

現在我們只要用57.8 kg減去狗子的重量就等於女生的重量。狗子沒必要向我隱瞞體重,所以很輕鬆就能減出來。

因此女生重量=57.8kg-10.6kg=47.2kg。也就是説妹子重達94.4斤,她只向我隱瞞了0.4斤的體重。
其實還有一種更直接刺激的做法:將女生和狗直接抱起得出三個生物的總重量,再減去自己和狗的重量

由此減出女生的質量為94.8斤,和上面有0.4斤的誤差。好在筆者是學化工的,化工領域誤差20%以內都可以接受。唯一的缺點是對秤不好。
二、動量守恆法
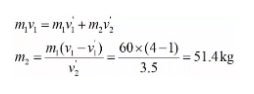
我們在小學二年級就學過:如果一個系統不受外力或所受外力的矢量和為零,那麼系統總動量保持不變。這就是著名的動量守恆定律。

考慮到有些人小學二年級不好好聽講,我們以枱球為例回顧一下:假設你是下面那個白球,女生是那個紅球。

你衝上去撞她,她會被撞開,你自己也會減速,但是撞擊前後,白球和紅球的動量之和不變(動量=質量 x 速度)。
總之動量守恆法的核心就是一個撞!我們來實踐一下試試。
首先趁女生不注意的時候

以恆定的速度v1衝向女生

發生完全非彈性碰撞

撞擊後,女生獲得速度並被撞飛。測量並記錄自己的速度v1’和女生的速度v2'

利用動量守恆定律就可以快速算出女生體重

計算結果為51.4 kg,誤差不大!
動量守恆法簡單粗暴但是非常好用。考慮到摩擦對實驗的影響,建議大家撞的時候去溜冰場上撞,這樣算出來的結果會更準確。否則可能算出來女生質量偏大,引起不必要的糾紛。
三、阿基米德法
古希臘時期,阿基米德在洗澡時發現水漫出了浴缸,隨後提出了浮力定律:人受到水的浮力,等於溢出浴缸的水的重力。

人和水的密度大致相等,因此只要將女生完全浸沒在放滿水的浴缸中,稱量溢出水的質量,就等於她的體重了。接下來展示操作過程。
首先在浴缸中放滿水。

圖片播到第38秒終於接滿了
我們在不經意間邀請女生進入浴室,並提前準備好小盆小桶,用來收集溢出的水。

告知女生實驗需求,邀請女生進入浴缸,並保證自己身體完全被水浸沒。

實驗宣告失敗。

阿基米德法操作起來可能讓女生難以接受,但它從原理上講是嚴謹的,如果有人實驗成功的話歡迎在後台告訴我。我們來看下一種方法。
四、曹衝稱象法
東漢時期,曹操想知道一頭大象的重量。曹衝曰:“置象大船之上,而刻其水痕所至,稱物以載之,則校可知矣。”太祖悦。
這個故事告訴我們,**只要把女生當做大象,就能輕易求得她的體重。**經過阿基米德法的失敗之後,我意識到,凡是讓女生下水濕身的實驗還是應該注意禮貌,利用現代化道具掩蓋自己的曹衝行為。

首先,不經意間邀請女生來到游泳池邊,並將其放置在小黃鴨上

待其穩定漂浮後,記錄其水位線

清空鴨內人員,將準備好的重物往上堆,直至水位線與標記處持平。

此時重物的質量即等於女生的質量。
一桶水是20.2kg,一個氣罐是5kg,算出來女生是90.4斤。曹衝稱象法也還是比較準的。
一個提醒:大家如果做這個實驗,務必找游泳館人少的時候去!
如果有很多人在游泳,你拿着手機對着池子一通狂拍,肯定會被泳裝姑娘們當成痴漢扔出去,再怎麼解釋你在曹衝稱象都沒用。
五、划船法
划船法理論性較強,實驗操作富有趣味性,是我這次重點推薦的一種方法!
首先,不經意間邀請女生來到一艘小船上,分別坐在船頭和船尾

下面是關鍵的一步千萬不要眨眼!起身走向船尾,由於jio會給船一個向後的反作用力,船會向身後移動,記錄船移動的距離x1

我向右,船向左
邀請女生走向船頭,同樣地,船又會反向移動,記錄移動距離x2

女生向左,船向右
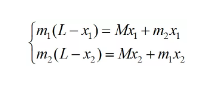
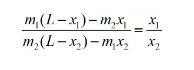
忽略水面阻力,認為全過程系統不受外力,可由質心守恆定理列出方程

消去M,易得

即

AMAZING!船移動的距離和人的體重成正比!下面就很簡單了。
從視頻中測出x1=55 cm,x2=42 cm。易得女生體重為
120*42/55=91.6斤
划船法方程複雜但結果清晰,體現了物理學大道至簡的美感,划船時還能增進和女生的感情,不管學霸學渣都能用。
六、槓桿法
小學學過剛體力學的朋友肯定都知道,槓桿平衡,要滿足動力x動力臂=阻力x阻力臂。大概像這樣

也就是説,在槓桿平衡時,只要量出支點到兩人的距離,就可以算出對方質量了!
首先,不經意間邀請女生來到小公園,找到蹺蹺板。

公園裏的蹺蹺板一般是等臂槓桿,兩端到支點的長度是一致的。因此我們需要反覆挪動屁股,找到平衡點

達到平衡時,記錄兩邊到支點的距離,就能反求出對方質量。這種計算小學就學過,在此不再贅述。

槓桿法有一個致命的弊端。之前的五種方法都適用於各種女生,但在槓桿法中,如果對方女生太重,你很可能被蹺在空中無法動彈。這不僅非常害怕,還會從理論上失去測出對方體重的可能。
這時你只有兩種方案:
1、在動力臂不變的情況下,增加自己的體重。
2、在體重不變的情況下,**增長動力臂,**也就是我這邊的槓桿長度。
大家都知道體重不是説減就減,自然也不會説增就增。因此,對方太胖時你只能加長自己這邊的蹺蹺板。
於是我開始加長蹺蹺板。但是這一加,就是一整個宇宙……

阿基米德説過,給他一個支點,他就能翹起整個地球。現在我覺得
