香港著名作詞人黃霑在幾十年前就已預見今日香港的情況……_風聞
半听星冰乐-你怎么永远有这么多话可说2019-08-24 16:11
“洋裝雖然穿在身
我心依然是中國心”
這首慷慨激昂的《我的中國心》,填詞者為黃霑先生:他是中國香港著名詞曲家、作家,也是香港樂壇的一代傳奇人物。
一提到他,大家首先想到的應該是他那些風靡一代人的歌曲詞作:《上海灘》、《滄海一聲笑》、《男兒當自強》……他不僅會作詞,還會作曲、演唱,創作了超過2000首作品;主持電視電台節目,寫專欄、寫小説、寫劇本、演電影,樣樣手到擒來,因此與金庸、倪匡、蔡瀾一起,被冠以“香港四大才子”的美譽。

其實除開這些,他還有一個身份:一名立場堅定、並且有遠見的愛國港人。
早在2002年,他就曾上書香港立法局,闡述自己對香港《基本法》第二十三條立法的支持。在信中,他還預見到,如果一直反對第二十三條的實施,“必將會害人害己,將香港推至非常危險的境地。”
基本法第二十三條一日不立法,香港特區被人利用來反中國的機會就極大了。
要知道,我國日漸強大,在一些意圖霸佔世界的巳得利益勢力集團眼中,恰是十分不願見到的事。
香港特區,絕不能讓這些勢力利用。



這是他的信件原文:
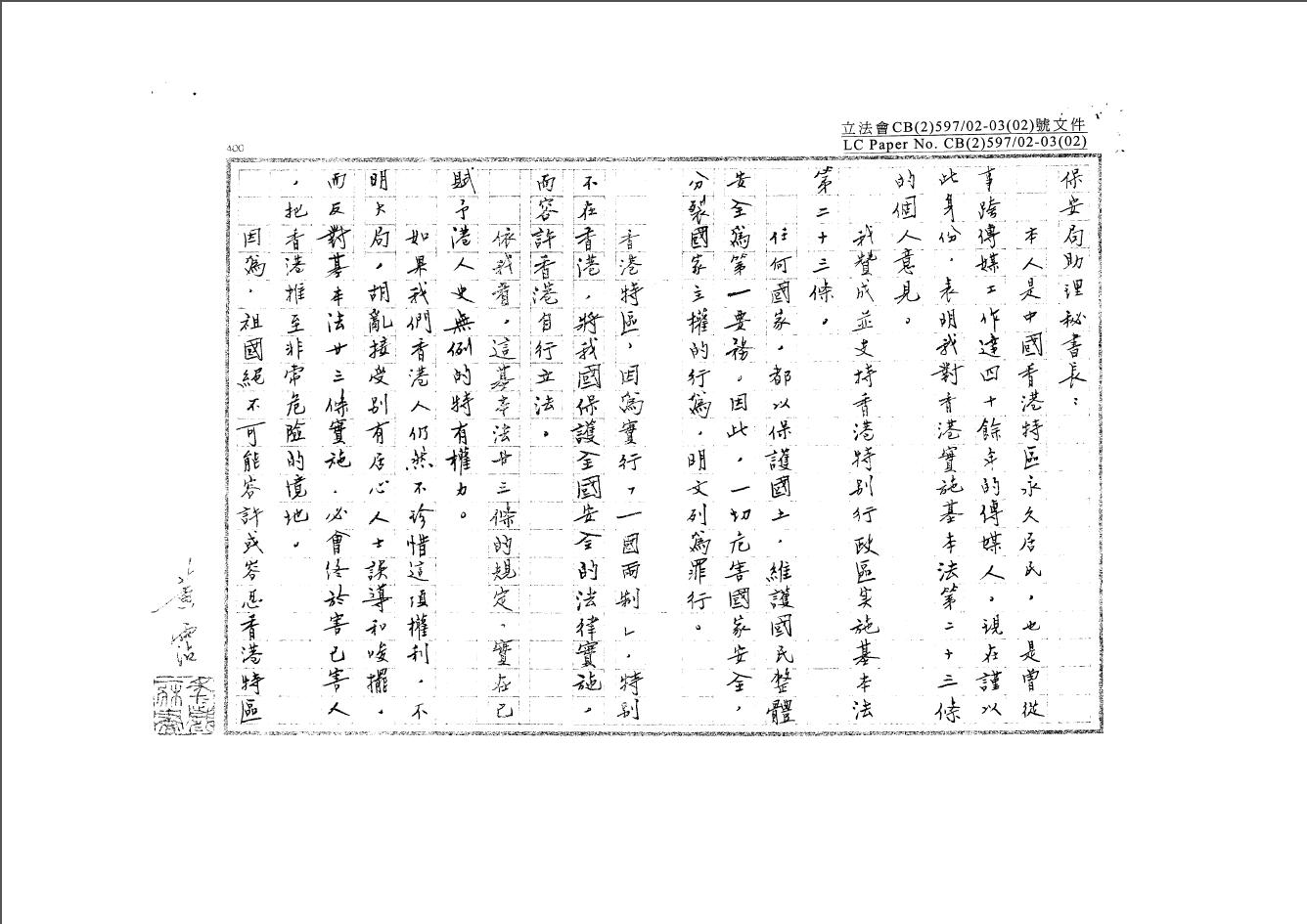
致 保安局助理秘書長 :
本人是中國香港特區永久居民,也是曾從事跨傳媒工作達四十餘年的傳媒人,現在謹以此身份,表明我對香港實施基本法第二十三條的個人意見。
我贊成並支持香港特別行政區實施基本法第二十三條。
任何國家,都以保護國土,維護國民整體安全為第一要務,因此,一切危害國家安全,分裂國家主權的行為,明文列為罪行。
香港特區,因為實行“一國兩制”,特別不在香港,將我國保護全國安全的法律實施,而容許香港自行立法。
依我看,這基本法第二十三條的規定,實在已賦予香港人史無例的特有權力。
如果我們香港人不珍惜這項權利,不明大局,胡亂接受別有居心人士誤導和唆擺,而反對基本法第二十三條實施,必會終於害己害人,把香港推至非常危險的境地。
因為,祖國絕不可能容許或容忍香港特區成為威脅國家的基地。
基本法第二十三條一日不立法,香港特區被人利用來反中國的機會就極大了。
要知道,我國日漸強大,在一些意圖霸佔世界的巳得利益勢力集團眼中,恰是十分不願見到的事。
香港特區,絕不能讓這些勢力利用。
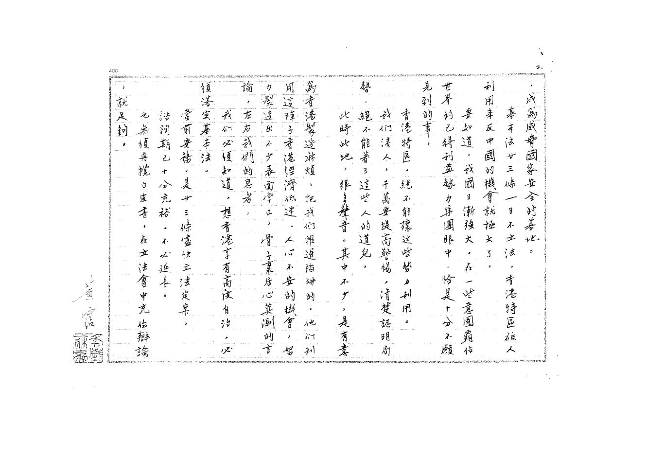
我們港人,千萬要提高警惕,清楚認明局勢,絕不能着了這些人的道兒。
此時此地,很多聲音,其中不少是有意為香港製造麻煩,把我們推進陷阱的,他們利用這陣子香港經濟低迷,人心不安的機會,努力製造不少表面堂正,骨子裏居心莫測的言論,左右我們的思考。
我們必須知道,想香港享有高度自治,必須落實基本法。
當前要務,是廿三條儘快立法定案。
諮詢期已十分充裕,不必延長。
也無須再攪白皮書,在立法會中充份辯論就足夠。
最近,更有外國人七咀八舌,議論紛紛,儼然港人福祉,全賴他們代議執言,此類行為,十分荒謬,身為港人,反感之至,請秘書長無須理會,不必分心。
祝 一切好
黃霑 鞠躬
二○○二年十二月二日
此信可謂字字珠璣,黃霑先生真是高瞻遠矚,他在十七年前就早早地預見到了今日香港的災禍。
其實他這樣堅定,也與他的個人經歷有關。

黃霑本名黃湛森,1941年生於廣州。戰爭年代,他的父母為了躲避戰亂,帶着年齡尚小的黃霑在佛山乘搭渡輪前往香港上環逃難。
1950年4月30日,港英政府宣佈取消華人自由入境政策,自此香港與大陸就成了涇渭分明的兩個世界。
黃霑和家人在深水埗落腳,希望終有一日能回到廣州去,回到那個家園去。香港雖好,終究是借來的地方,在英國佬的治下乞討生活罷了。
黃霑的父親對故土家園的憂患哀思,對其有很深的影響。雖然父親只是偶爾在吃晚飯的時候提起往事,卻每每一説就潸然淚下,當時黃霑年紀小,不知如何是好,只得低着頭一味扒飯,後來識字,始憂患,才琢磨出其中的情感來。
他後來將這種心情填成了一首詞,這就是《我的中國心》。1984年這首歌首登春晚後,瞬間擊中了中國人的淚點,火遍大江南北。
河山只在我夢縈祖國已多年未親近可是不管怎樣也改變不了我的中國心洋裝雖然穿在身我心依然是中國心我的祖先早已把我的一切烙上中國印長江 長城 黃山 黃河在我心中重千斤無論何時 無論何地心中一樣親流在心裏的血澎湃着中華的聲音就算生在他鄉也改變不了我的中國心
正是因為體會過香港被英國侵佔的苦,黃霑更能理解“愛國”這個詞語的重量,能寫出這樣的信也毫不意外。
他在04年因病去世,如果看到今日的香港,會不會失望嘆氣?
順便給大家分享一下,黃霑先生曾經在羅大佑演唱會上合唱《滄海一聲笑》,非常可愛了: