元旦2020年 ——淺説現代科學和中國傳統思想_風聞
杜普2008-2019-12-31 23:51
元旦2020年
——淺説現代科學和中國傳統思想
1 開場白
年過就60了,78年進京上學,我家親戚學部委員在北京站接我,很多吩咐,時間一長,有句話至今記得,好好學古文,將來科研有用,其後我多次詢問古文和科學有何關係,都沒得答案,現將奔6,似乎懂了。
我學光學,就從光學説起,説説現代科學的光學和古代思想的關係:
光是電磁波,被麥斯方程組完美描繪,麥氏方程組導出波動方程:

波動光學、激光、現代光學等光學學科都建立在這個波動函數基礎上。
2 光源的平行平面近似
A**.**平行平面波函數是波動方程的一個特解,自然界並不存;但是,大多數光的傳輸,干涉等應用,平行平面近似被證明可行。
B.同樣,我用幾個干涉積分公式,都證明平行平面近似違背能量守恆定律,見下面兩光束干涉的功率積分公式:

大多數干涉測量σ值遠大於2π,滿足上述要求。σ接近2π時,光源的平行平面近似違背能量守恆定律,光源的數學模式需修正。
3 激光諧振腔理論
A.即使光源平行平面近似,光的合成是三角函數的加法,非常複雜:

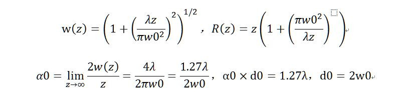
**B.**激光諧振腔理論是光源從平行平面近似,修正為高斯分佈的球心不斷變化的點球面波,仍然是自然界不存在的理想光源:

諧振腔理論不過就是高斯光束公式加近軸成像公式的結合。
C.激光諧振腔理論在平行平面近似下,又做了簡化,也只能進行定性分析,只能用於寫論文,真實激光器沒一台是該理論設計出來。激光技術的發展仍然存在熱效應,光軸隨機跳動,真空充氮密封激光器內鏡片污染等故障。
儘管有大量關於諧振腔理論專著出版,根據這些理論設計的擴束鏡和會聚鏡頭,理論值和實際值相距巨大。
此外,激光功率測量,光參數測量還存在很大困難,功率穩定性是激光功率的波動,還是功率計的波動等等,都嚴重影響激光的發展和應用。
4 用古代中國傳統思想看光學和激光的基礎理論
面對已經成熟100多年的電磁學,這時我想起《老子》第一句話“道可道非常到”!
光學能“講”出來的“理論”,不是光學永恆的“道”,太精彩了,老子在2000多年前就預言了光學科學的發展的曲折道路。光學永恆的真理是波動光學方程,它沒有“解析解”,即使可信的數值解,今天還沒出現,只有光源的“平行平面”近似。光源的平行平面近似在大多數光的傳輸,衍射和干涉應用中,是正確的。當應用的精度不斷提高,接近衍射極限時,這個近似就出現錯誤了。
5 用古代中國傳統思想看光學和激光的研究方法
經典物理學成熟已100多年,波動光學被認為是一個成熟到沒有再研究意義的學科。但是“道可道非常道”,當前的光學激光研究永遠沒有,也不可能達到理論發展的最高境界,基礎光學研究無止境。
A.波動光學現在還建立在自然界不存在的理想光源基礎上,波動方程的數學研究,應該是光學領域原始創新的根源,但是難度極大。光學領域要建立獨立自主、自主創新的成就,或許應該從光源的平行平面近似的修正開始,這是因為干涉積分公式證明接近衍射極限時,光源的平行平面近似違背了能量守恆定律。並且還提出衍射極限值或許不存在,需要修正。
B**.**光學的平行平面光函數儘管是近似解,數學難度也很大,激光諧振腔理論作了修正,使該理論簡化了,然而諧振腔理論也僅適合定性分析。所以,諧振腔理論需要修正,困擾激光發展的熱效應,光軸的隨機抖動,鏡片污染、擴束和會聚鏡頭等故障需要理論解釋。
C.《四書》或許有一些人有齊家治國平天下大志,基礎是“格物致知”。基礎理論的研究離開光功率及光參數測量,沒意義。高功率測量存在很多問題,光功率的有效衰減,高功率有效相對測量等問題有待解決。以一台端泵浦DPL激光為例,你可以用諧振腔理論設計出來。諧振腔的誤差分析是什麼?裝配基準在哪?如何校正?如何測量?激光本是光,本是精密儀器,必須從精密光學儀器的設計,裝配,校正,測量,誤差分析等基礎開始“格物”。
D.《中庸●十一》子曰:做些“素隱行怪”偏門旁門奇奇怪怪的事,也能傳世,孔子不做;求“道”,“遯世不見知而不悔”,決不“半途而廢”。研究波動光學的數值解,研究光源的平行平面修正,用波動光學函數研究諧振腔理論是一個非常困難的事,很有可能一事無成,能堅持嗎?
激光技術的基礎研究有三點:首先是基礎研究;其次是從半導體激光的結構、整形、耦合到封裝開始,開發出一個新型結構的高亮度激光器;第三,建立可行的激光功率測量,光參數測量系統,從精密機械和光學零部件尺寸公差到尺寸鏈計算開始,完成一套裝配,校正和測量平台的設計,完成激光器的誤差分析,及計算仿真系統設計。