曹則賢跨年演講:什麼是量子力學?∣ 賢説八道_風聞
返朴-返朴官方账号-关注返朴(ID:fanpu2019),阅读更多!2019-12-31 11:23
**撰文 ∣**曹則賢(中科院物理所研究員)
1900~1928年間是物理學史上最激動人心的時代,一羣天才,主要是年輕人,在不到三十年的時間裏構造了嶄新的量子力學體系,從而改變了物理學的面貌,也徹底地改變了人類社會的面貌。本報告系統地解釋了什麼是量子(quantum)、什麼是力學(mechanics), 在對量子力學創建過程的回顧中講述構成量子力學的具體內容,然後介紹幾例量子力學帶來的新技術,最後還會談談如何學習量子力學的問題。量子力學從來都不是什麼革命,它只是經典物理學自然的、邏輯的延續。量子力學一如物理學的其它分支,都是人類思想智慧的結晶。量子力學,還有相對論,這些百年前的頭腦風暴,今天應該成為受教育者的知識標配。
2019年12月30日晚,中科院物理所研究員曹則賢在物理所做跨年科學演講《什麼是量子力學?》,本文為演講人親自撰寫的文字稿。看視頻請戳「閲讀原文」。
內容提要
a 為什麼要學習量子力學 ?
b 什麼是量子(quantum)?啥是力學(mechanics)?
c 量子力學是什麼樣的學問?
d 量子力學是如何創立的?
e 量子力學的威力
f 如何學習量子力學
尊敬的各位來賓,屏幕前的各位朋友,女士們、先生們,這裏是中關村南三街8號中國科學院物理研究所,我是物理所職工曹則賢。接下來我想和大家聊一個比較高大上的話題:什麼是量子力學?具體地,我會聊一聊我們為什麼要學習量子力學,什麼是量子 (quantum) ,啥是力學 (mechanics) ,量子力學是什麼樣的學問,通過對量子力學創立過程的回顧介紹量子力學具體的內容,通過幾個例子談談量子力學的威力,最後作為結束語我會談談如何學習量子力學。在回顧量子力學創立過程中涉及的人物包括黎曼、玻爾茲曼、巴爾末、普朗克、愛因斯坦、索末菲、里茲、玻爾、海森堡、約當、玻恩、德布羅意、康普頓、德拜、薛定諤、泡利、狄拉克、馮諾依曼、維格納、外耳、玻色,等等。
許多人會説量子力學很難學,可我要説的是首先量子力學不難學;其次,再難學也要學。大家可能注意到了,此刻我站在這裏講,世界的很多角落裏有人在拿手機看直播。這在幾年前都是不可想象的。從前,孫悟空翻江倒海,玉皇大帝——那可是神仙們的頭兒,也只能派千里眼、順風耳去看看是怎麼回事。今天我們的人類,可以用望遠鏡巡天,可以在天空俯瞰整個大地。這是一個技術超越神話的時代,而物理學是一切技術進步的基礎。從前慢,慢到一生只夠學會用母語讀小説。但在今天這樣的科技支撐的、高度發達的時代裏,量子力學這樣的上世紀頭腦風暴的產物,也許今天應該成為人們的知識標配。
我們為什麼要學習量子力學呢?量子力學簡直就是一個號稱學物理的人的必備。從前法國先哲龐加萊説過一句話:“雖然人們並不是因為科學就幸福了,但是如今沒有了科學人們可不怎麼能幸福起來。” 仿此,我們可以説:“雖然,人們不會因為懂得量子力學就是物理學家了,但是今天的人們如果不懂量子力學而宣稱自己是物理學家的話,可能顯得有點魯莽!” 量子力學和相對論,據説是現代物理的兩大支柱啊!作為支柱的量子力學我們怎麼可以不學呢?當然了,正確的態度應該是把物理學看成一個不分割的整體,我們努力從不同的方向去學習,追求一種融會貫通的境界。學物理的人,大體會説學量子力學讓我們很happy. 按照美劇《生活大爆炸》裏Sheldon 博士的説法:“Quantum physics makes me so happy, it’s like looking at the universe naked (量子物理讓我高興,宇宙看起來跟在裸奔似的).” 如果在中學時期就能學一些量子力學,那就更棒了。不僅你自己感到快樂,還能讓你媽感到快樂。

圖1. Dr. Sheldon: Quantum physics makes me so happy.
什麼是量子 (quantum) 呢?拉丁語形容詞“多少”的陽性、中性、陰性形式分別是 Quantus,Quantum,Quanta. 如今英文的Quantity,quantitate, quantitative 都和數量有關,是定量、量化的意思。在拉丁語系的語言中,比如意大利語, quantum 的同源詞都明顯是多少的意思, 比如Quanto costano (這東西多少錢)?Quanti anni hai (你有幾個歲) ? 在英語中,quantum 也一直當作“數量”在用。降雨量是quantum of rainfall而不是quantity of rainfall. 在著名的007系列中有一集quantum of solace,被翻譯成了“量子危機”。其實這和“量子”沒有任何關係。Quantum of solace是舒適度、安全度的意思。過去的江湖人士而今的特工明星到了任何地方,都要有本領迅速評估出環境的安全度。如今在西方的和量子力學有關的語境中, quantum (quant) 被當成名詞單數,而quanta (quanten) 被當成名詞複數用,偶爾也有用quantal的。Quantum mechanics,日本人把它翻譯成量子力學,我們玩的是拿來主義。
什麼是量子呢?可以説一個事物的最小構成單元就是quantum,它具有完整性、不可分辨性。比如,魚羣的quantum就是一條一條的魚。將來我們會知道,抽象的事物,比如物理的作用量, action,它的量子是普朗克常數h. 談論量子世界要關注兩個詞, atom和integer, 不要把它們簡單地按照英漢字典理解成“原子”和“整數”,不,它們的正確意思應該按照字面理解,是拉丁語的不可分和不相連。我們的手指頭、腳指頭就分立的、不相連的,對它們計數用的就是integer,1, 2, 3, 4……這些不相連的數。基於這樣的分立對象的就是digital,我們説我們處於數字時代 (digital times) ,但digital 來自digitus這個詞, 它就是手指頭、腳趾頭的意思。Atom 和integer就體現了量子的精神,這種精神在日常生活中就有應用。春秋時期,齊景公麾下有三個猛士公孫接、田開疆、古冶子,因居功自傲得罪了相國晏嬰 (“晏子過而趨,三子者不起”),結果 “一朝被讒言,二桃殺三士。”為什麼二桃能殺三士呢?因為桃在被“計功而食”的語境中就有了不可分的特性 (atomicity) ,兩個桃子三個人分,只好爭搶。三個猛士因爭搶引起了羞辱感,結果全自殺身亡,這完全是着了人家的量子計謀。另一例子是,人民解放軍有一位中將皮定均將軍,他規定 “吃雞蛋必須以煮雞蛋的形式發到士兵手裏,不許做成雞蛋湯、炒雞蛋。” 煮雞蛋體現的是一個一個雞蛋的分立存在,忽略雞蛋大小的差別,則吃到了就是吃到了,不含糊。與之相對,炒雞蛋、雞蛋湯語境下的雞蛋是攪合到一起的,雞蛋失去了其量子特徵,則就有了很大的含糊的餘地:“二斤雞蛋炒兩個辣椒和二斤辣椒炒兩個雞蛋,都是辣椒炒雞蛋。”量子是存在的最小單元,對於羣體由少數幾個單元組成的體系,我們談論它的問題時要抱着一種謹慎的態度,因為這裏要用到不同的處理問題的方式或者哲學。比如2018年 GDP是93萬億元,表示成人民幣的量子就是9300萬億分,是16位數。我們説增長率是6.6%,這個數值純從數學的角度來看是合理的;其實就是説是6.612724568932% 也行。但是,我們説某單位工資比去年漲了6.61% 就可能不是很科學,因為可能就是分幾檔漲的,漲工資更多的是關係到個人的事情,含糊的、近似的6.61% 的説法數學上沒大毛病但也不科學。而若是提到誰家的人口增長,比如老王家的人口增長6.6%, 雖然只到小數點後一位,也顯得不是人話。這種情形,説清楚老王家到底幾口人添了幾個孩子才恰當。大家這時應該感覺到了吧,量子的概念不是多麼邪乎的存在,它存在於我們的日常生活中。

圖2. 二桃殺三士,選自《南陽漢畫像石精萃》
那麼quantum mechanics中的mechanics 是什麼意思?mechanic是機械,弓箭、拋石機是人類最早的機械,機械手錶是機械製造的巔峯。Mechanics, mechanism,説的是機巧、道理、機制,how it goes,類似漢語的“道”。早先人們用機械觀來理解遇到的各種物理現象,故有熱的機械觀 (The mechanics of heat),電的機械觀(The mechanics of electricity),原子的機械觀(The mechanics of atom)。Mechanics 被譯為力學是錯譯,英語裏的力學是theory of force,德語為die Kraftslehre,但是力的概念在1894年已經被赫茲踢出了物理學,後來的物理學基本不拿力來説事情。Quantum Mechanics (量子力學),字面上大約可以理解為關於小物理量世界的道。
量子力學是1900-1928年間一夥兒天才的頭腦風暴的產物,他們幾乎都出現在這張照片裏。這張1927年第五次索爾維會議的合影據説是人類有史以來智商和最高的合影,沒有之一。這些天才們之所以能有這樣偉大的成就,只不過是因為**確實是天才;****確實早學了數學與物理;**恰巧在那個時空點上。1927年的第五次索爾維會議,其主題是電子與光子。那一年,光子一詞剛在前一年被創造出來。電子與光,就是量子力學,當然也是相對論,關切的對象和思想來源。我個人認為“光是人類同遠方的唯一聯繫,是第一物理對象和工具!” 關於光的性質,人們下意識中都能體會到。
關於光,電影《地道戰》的一段唱詞特別好。“太陽出來照 (射線、幾何光學) 四方,毛主席的思想閃金 (光的顏色、光譜學) 光,太陽照得人身暖 (熱效應) 哎,毛主席思想的光輝照得咱心裏亮 (光是信息載體) ,照得咱心裏亮。” 短短四句,把光的性質説全了。而電子呢, 也叫陰極射線、β粒子,是1859-1909年間被以不同面目發現、被用多種方式研究的,它對物質的諸多電性質負責。注意,它的發現始終是和光聯繫在一起的。

圖3. 1927年第五次索爾維會議參會者的合影
量子這個概念,最先走進科學,是黎曼1854年的論文**Über die Hypothesen, welche der Geometrie zu Grunde liegen****(論作為幾何學基礎的幾個假設) . 在這篇論文中黎曼提出了流形的概念,奠立了微分幾何 (廣義相對論的數學基礎啊) ,還第一次將量子 (Quanta)**用於科學:“流形之通過某些特徵或者邊界想區分的部分稱為 Quanta. Quanta的比較依其性質或者通過計數得來的分立量,或者通過測量得來的連續量。”

圖4. 黎曼1854年的論文截圖


圖5. 黑體輻射示意圖及實驗得到的譜分佈


圖6. 氫光譜的照


圖7. 氫光譜的示意圖

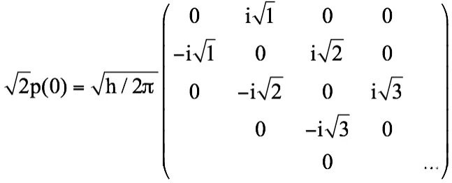
然而,注意光譜線,譜線的特徵除了位置,還有亮度、寬度、精細結構、簡併度等諸多問題。****12年後的1925年,在哥廷恩給玻恩當助手的海森堡 (Werner Heisenberg,1901-1976) 試圖回答譜線的強度問題,引出了矩陣力學。注意,譜線和兩個軌道有關係,那譜線強度也應該和兩個軌道有關係。如果把一組能量橫排,然後豎着排,看它們之間的能量躍遷,會得到了一個矩陣。海森堡試着從軌道的傅里葉展開中引入頻率,將之表示為兩項之差的方式。如果認定譜線是來自振盪的話,其強度應該是和振幅的平方成正比。注意,此時愛因斯坦已經指出:“輻射強度的概念應該用經典的躍遷幾率的概念替代。”海森堡將他的這一套思想試着在諧振子上尋找思路,得到了x(0)和p(0) 的表達式


然後呢,然後他也不知道怎麼辦好了,就把結果寫了下來,放到玻恩教授 (Max Born, 1882-1970) 的辦公桌上,自己度假去了。玻恩教授認出海森堡寫成的東西是數學裏的矩陣。玻恩計算矩陣形式的xp,發現

,這是有別於玻爾量子化條件的量子化條件。注意,除了愛因斯坦的輻射強度的概念應該用經典的躍遷幾率的概念替代思想以外,還要注意經典概率的算法,比如從A 經過一些中間步驟到B的概率計算,就是矩陣的乘法!玻恩將海森堡的這些內容整理後以海森堡的名義發表。玻恩的助手約當 (Pascual Jordan, 1902 – 1980) 發現如接受

則這意味着

即動量是關於座標的微分算符。後來,玻恩和約當一起發了一篇文章,玻恩和約當、海森堡一起發了一篇文章,這就是關於量子力學的一種形式,矩陣力學,的三部曲,即
1). W. Heisenberg, über quantentheoretische Umdeutung kinematischer und mechanischer Beziehungen (運動學的和力學的關係之量子理論意義), Z. Physik, 33 (1925) 879.
2). M. Born and P. Jordan, Zur Quantenmechanik (論量子力學), Z. Physik, 34 (1925) 858.
3). M. Born, W. Heisenberg, and P. Jordan, Zur Quantenmechanik II (論量子力學II), Z. Physik, 35 (1926) 557.
同時期,英國的狄拉克獨立地發展了躍遷概率理論。

到1926年,光的粒子性和電子的波動性算是確立了,於是化學家路易 (Gilber N. Lewis) 造了photon(光子)一詞。1927年,1927年,戴維森 (Clinton Davisson,1881-1958) 和革末 (Lester Halbert Germer,1896-1971) 用電子束轟擊Ni晶體。玻恩認識到那花樣是晶體對波的散射的結果。至此,電子具有波動性質得到確認。


圖8. 光子轟擊原子核產生電子-正電子對過程的氣泡室內粒子徑跡照片
關於量子力學,維格納 (Eugene Wigner, 1902 – 1995) 也是要提的,他和外爾(Hermann Weyl,1885-1955) 一起將羣論引入了量子力學,有了羣論的量子力學才能理解光譜的各種特徵,包括譜線在電場下和磁場下的分裂 (Stark效應, Zeeman效應)。1922~1925年間,維格納在其博士論文中首次提到分子激發態有能量展寬Δε, 它同平均壽命Δt 通過關係式Δε·Δt ~h相聯繫,而海森堡提出Δx·Δp ~h的不確定性關係是在1927年。當然了,不存在什麼不確定性原理所宣稱的那些問題,比如什麼粒子位置測量得越準確、動量就越不準確。如果大家拿一維方勢阱和諧振子的精確解計算一下的話,會發現位置和動量的不確定性是正相關的!
外爾首先是個數學家,業餘時間對量子力學和相對論都有貢獻,還創立了規範場論。據信是外爾幫助薛定諤求解了氫原子的薛定諤方程。外爾這樣的數學家做的物理才更像物理。
1924年,印度人玻色 (Satyendra Nath Bose, 1894–1974) 在假設相空間具有體積單元 h3 的前提下也得出了黑體輻射公式。愛因斯坦接着玻色的工作發展起了玻色-愛因斯坦統計。自旋為整數的粒子都滿足玻色-愛因斯坦統計,被稱為玻色子。玻色1924年的兩篇德語論文 (1. S. N. Bose, Plancks Gesetz und Lichtquantenhypothese (普朗克分佈和光量子假説) Z. Phys. 26, 178–181 (1924). 2. S.N. Bose. Wärmegleichgewicht im Strahlungsfeld bei Anwesenheit von Materie (存在物質是輻射場的熱平衡) ,Zeitschrift für Physik 27, 384-393 (1924) )都是愛因斯坦翻譯的,這是科學史上難得的一段佳話。
1926年,馮·諾依曼 (John von Neumann, 1903-1957) 指出,算符的本徵態張成一個矢量空間併名之為希爾伯特空間,量子態可以看成希爾伯特空間中的一個矢量;1932年,馮·諾依曼撰寫了《量子力學的數學基礎》一書。
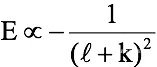
關於量子力學還有個關鍵的人物,索末菲A (Arnold Sommerfeld, 1868 – 1951)。索末菲和玻恩一樣,是導師的大老師級的人物,泡利、海森堡、德拜 (Peter Debye)、貝特 (Hans Bethe)、鮑林 (Linus Pauling) 這些諾獎得主皆出自其門下。索末菲認為玻爾模型把電子限制在一個平面內,簡化得太狠了些,電子是在整個三維空間內繞原子核運動的。三維空間內繞一點的運動可由距離r和兩個角座標,傾角θ和方位角ϕ,來描述。傾角θ和方位角ϕ分別引入了第二和第三量子數。1916年索末菲引入三維的量子化模型,

量子化的條件為

解出的能量形式為

也就是説,玻爾模型裏的那個n,是這裏的k。索末菲的工作是舊量子力學的關鍵。
至此,我們有了薛定諤方程、泡利方程和狄拉克方程、克萊因-戈登方程,有能量量子化 (hν)、作用量量子化 (h)和相空間量子化 (h3),量子力學的大框架就算有了。相空間量子化讓統計意義的量子力學走向了量子統計。如果要問什麼是量子力學,量子力學就是由量子力學方程及伴隨的概念、觀念所構成的一個物理理論體系。量子力學是一個集體智慧的結晶,是人類發展史上罕見的頭腦風暴爆發。因為對發展量子力學的貢獻而獲得諾貝爾物理學獎者包括普朗克(1918)、愛因斯坦 (1922年獲得1921年度的) 、玻爾(1922)、康普頓(1927)、德布羅意 (1929) 、海森堡 (1932) 、薛定諤與狄拉克(1933)、泡利 (1945) 、玻恩(1954),等等。其中,愛因斯坦獲得的是1921年空缺的,玻恩則遲至1954年才終於獲獎,而偏偏這兩位才是奠立量子力學的關鍵人物。人世間的事兒啊,想來令人唏噓。
回顧一下量子力學的創立過程,發現它就是一個靠猜。構造量子力學,或者説構造近代物理,這是一門藝術。用玻恩的話説, 是猜出正確公式的藝術 (The art of guessing correct formulae~ Max Born) 。有人會問,量子力學客觀嗎,量子力學正確嗎?關於客觀性,我覺得這是個偽問題。人類的物理學,取決於人這種存在自身的物理及其與環境間的相互作用,必然打上人的烙印,而且是特定時代的人的烙印。古希臘智者色諾芬尼 (Ξενοφάνης) 説,“如果牛有上帝,牛的上帝一定長有犄角。” 可以想象,螃蟹設計的汽車,註定是橫行的。怎麼可以要求我們人類創造的量子力學是客觀的呢?它一定或多或少地帶上人類的烙印。

量子力學是一夥兒天才們的頭腦風暴的產出,如今應該是受教育者的知識標配,至少該是中學生的知識標配。那麼,如何學習量子力學呢?如果你關注創造史,可以讀讀Mehra的The historical development of quantum theory;如果你關注哲學,可以讀讀Jammer 的The philosophy of quantum mechanics;如果你關注創立者的工作手冊,可以讀讀Dirac 的The Principles of quantum mechanics;如果你關注量子力學的數學,可以讀讀Von Neumann 的Mathematical Foundations of quantum mechanics;如果你關注量子力學新論,可以讀讀Weinberg 的 Lectures on quantum mechanics;如果你關注習題集,可以讀讀Flügge 的Practical quantum mechanics,如果你關注最淺顯的入門,可以讀讀曹則賢的《量子力學~少年版》。
量子力學量力而學,但其實量子力學“説難學,也好學。人家咋着咱咋着!”我必須再次強調,量子力學是一門嚴肅的學問,是經典物理的自然延續。人們學習量子力學的困難主要在於沒有認真學過經典物理。在學習量子力學之前,如下的預備知識應該是學過或者至少聽説過的,這包括但不限於經典力學、經典光學、電磁學、流體力學、熱力學、原子物理、場論、相對論……. 微積分、變分法、常微分方程、數理方程、複分析、概率論、傅里葉分析、線性代數、羣論、不變量理論,等等。 Quantum physics makes me so happy. 學習量子力學還可以讓媽媽高興!
Enjoy it!

特 別 提 示
1. 進入『返樸』微信公眾號底部菜單“精品專欄“,可查閲不同主題系列科普文章。
2. 『返樸』開通了按月檢索文章功能。關注公眾號,回覆四位數組成的年份+月份,如“1903”,可獲取2019年3月的文章索引,以此類推。
版權説明:歡迎個人轉發,任何形式的媒體或機構未經授權,不得轉載和摘編。轉載授權請在「返樸」微信公眾號內聯繫後台。