為什麼會有三個宇宙速度?慢慢飛難道飛不出地球嗎? | 袁嵐峯_風聞
风云之声-风云之声官方账号-2020-07-30 16:49
導讀
飛出地球為什麼一定要超過某個速度呢?如果你保持一個比較低的速度慢慢飛,比如説1公里/秒,難道你飛不出地球嗎?
大家在上高中的時候,都學到過三個宇宙速度:第一宇宙速度等於7.9公里/秒,第二宇宙速度等於11.2公里/秒,第三宇宙速度等於16.7公里/秒。

三個宇宙速度
最近中國發射火星探測器“天問一號” (天問:火星與人類的未來 | 袁嵐峯),又讓很多人重温了這些概念。

天問一號藝術示意圖。這次任務將綜合使用軌道器和着陸器/巡視器來研究這顆紅色星球
(中國首次火星探測任務即將展開,先來聽聽首席科學家的“劇透”)
不過我驚訝地發現,許多人對這些概念感到很困惑。典型的問題是:飛出地球為什麼一定要超過某個速度呢?如果你保持一個比較低的速度慢慢飛,比如説1公里/秒,難道你飛不出地球嗎?難道你會一開始正常上升,然後在某個高度突然被拽下來?
這種場景當然是荒謬的。如果你能一直保持某個大於零的速度,那麼你當然可以飛出地球,飛得任意遠。速度等於位移除以時間,所以如果速度為常量,那麼時間趨於無窮的時候位移也趨於無窮,這本來就是速度的定義嘛。
但是真正的問題在於,你如何保持速度?地球一直在對你施加引力,所以如果你想保持一個恆定的速度,你就一定要有一個相反的力來跟引力抵消。這就需要消耗能量,對火箭來説就是要消耗燃料。
現在要點來了:在航天當中,燃料是極其寶貴的東西,比在地面上開汽車的燃料寶貴得多。在地面上開車,沒油了你大不了停下來,找個地方加油再繼續開。但在太空中你沒法補充燃料,如果在燃料耗盡之前你達不到目標,就會被地球或者其他星球拽回來,前功盡棄。
你可能會問:何不多帶些燃料呢?
得,這又是航天跟地面行駛的一個本質區別。汽車前進的動力是輪胎反推地面的摩擦力,但在太空中你無處借力,只能通過向後噴射物質來讓火箭箭身前進。
這就導致一個問題:你要達到的速度越高,需要帶的燃料就越多,但這些增加的燃料本身又需要更多的燃料來推動,導致一個惡性循環。結果是,單位質量燃料的效果大大下降。
對此定量的描述,叫做齊奧爾科夫斯基公式:

齊奧爾科夫斯基公式
這個公式的意思是,火箭能夠達到的最大速度vm,等於向後噴射物質的速度vr乘以質量比的自然對數。這個質量比,指的是火箭裝滿燃料時的最大質量mmax與耗盡燃料時的最小質量mmin之間的比值。公式之所以有個負號,是因為向後噴射的速度與火箭前進的速度是反向的,別忘了速度是個矢量。實際用的時候,把所有的數值都當作絕對值代進去就行。
舉個例子,假如一種火箭的噴射速度是4公里/秒,質量比是e,也就是自然對數的底,約等於2.718,那麼它能達到的最高速度就是4公里/秒。而如果噴射速度不變,把質量比提高到e的平方即7.39,那麼最高速度就是8公里/秒。
這個公式是航天科學之父、俄羅斯科學家齊奧爾科夫斯基(Konstantin Eduardovich Tsiolkovski,1857 - 1935)在1903年提出的,所以叫做齊奧爾科夫斯基公式。它是現代所有的導彈、衞星、太空探索等航天科技的基礎。如果你想了解這個公式的推導,可以參見我以前的文章(我們應該如何紀念登月(二)航天的基本原理| 袁嵐峯)。

齊奧爾科夫斯基
這個公式帶來一個好消息和一個壞消息。好消息是:航天是可能的。壞消息是:增加燃料帶來的邊際收益是越來越低的,因為對數函數的增長很緩慢。即使你把整個地球的燃料都燒掉,速度也提升不了太多。

自然對數函數
因此,航天不能指望通過多帶燃料來解決問題。在航天任務中,燃料總是處於緊巴巴的狀態,總是剛好滿足需要或者稍微留一點備用。
知道了這些背景,我們就能理解,航天考慮的基本問題是:當你的燃料耗盡時,你要處於什麼樣的狀態,才能達到目標?由此才能決定,出發時要帶多少燃料。
因此,三個宇宙速度的意思,都是在無燃料的情況下,達到這些速度你才能實現某些目標。第一宇宙速度的目標是環繞地球,不落到地面。第二宇宙速度的目標是飛出地球,達到跟地球任意遠的距離。第三宇宙速度的目標是飛出太陽系。
還有一點值得解釋的是,經常有人問:氣球和飛機不是可以一直不落到地面嗎?它們的速度都低於第一宇宙速度啊?

熱氣球
這是因為,氣球和飛機都屬於航空,而不是航天。當談論宇宙速度時,我們關心的是航天。
在大氣層中,你會受到空氣的浮力和阻力,以及通過機翼和旋翼等空氣動力學的方法可以得到升力。但這些都屬於航空的範疇,離開空氣就沒咒唸了。氣球確實可以環繞地球不掉落,但它能到大氣層外面去嗎?
航天關心的是,你在真空中會怎麼樣。所以計算宇宙速度時,我們是把這些與空氣有關的力全都忽略掉的,只考慮萬有引力。
以上我們解釋了三個宇宙速度“不是什麼”,希望這解決了大多數人的困擾。下面,我們來定量地推導它們“是什麼”。推導的方法有多種,這裏對每一個宇宙速度都給出最簡單的一種。
讓我們把第一、第二、第三宇宙速度分別寫成v1、v2、v3。需要事先説明的是,這三個宇宙速度都是以地球為參照系的。前兩個也許你還不會注意到,到推導第三宇宙速度時這個參照系就很重要了。
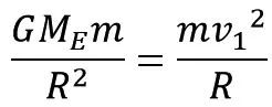
第一宇宙速度又叫做環繞速度。它問的是:在地球表面附近,一個物體要達到怎樣的速度,才能繞地球做圓周運動,而不落地?
回答是:此時物體受到的地球引力,剛好等於圓周運動的向心力。前者等於GMEm/R2,後者等於mv12/R,所以

其中G是萬有引力常數,約等於6.67 × 10-11 N·m2/kg2;ME是地球質量,約等於5.96 × 1024 kg;R是地球半徑,約等於6.37 × 108 m。順便説一句,萬有引力常數目前最精確的測量值,是由中國科學院院士羅俊的團隊在2018年得到的。

中山大學網站對羅俊院士的介紹
(http://www.sysu.edu.cn/cn/zdgk/zdgk03/19924.htm)
把上面的等式化簡,就等到

把數值代進去,就得到v1 = 7.9公里/秒。
第二宇宙速度又叫做逃逸速度。它問的是:在地球表面附近,一個物體要達到怎樣的速度,才能飛到離地球無限遠處?
對此的回答是:從能量轉換的角度看來,飛離一個星球是動能轉化為勢能的過程。如果初始動能不夠,就會在某個距離處速度降為零。如果初始動能足夠,就可以在距離無窮遠時仍然保持大於零的速度。
兩種情況的臨界狀態,就是剛好在飛到無窮遠處時,動能和勢能都為零,這時總的機械能為零。由於機械能守恆,所以在地面附近時動能加勢能也等於零,也就是説動能等於勢能的負值。前者等於mv22/2,後者等於GMEm/R,所以

化簡以後,就得到

可以注意到,第二宇宙速度剛好是第一宇宙速度的根號2倍。把數值代進去,就得到v2 = 11.2公里/秒。
你也許想問,為什麼是根號2倍?回答是:這個2來自萬有引力對距離的依賴關係即1/R2中的那個指數,2。不過這需要比較高深的理論知識,在這裏就不介紹了。
值得注意的是,第一宇宙速度和第二宇宙速度的方向性是不同的。第一宇宙速度的方向必然是圓周運動的切線方向,而第二宇宙速度並沒有特定的方向,因為在它的推導中重要的是速度的平方,與速度的方向無關。如果你具有第二宇宙速度,只要你不是特意一頭向地球撞去,那麼你必然會飛得離地球無限遠。
前兩個宇宙速度的推導都很簡單,第三宇宙速度就稍微複雜一點,超出了高中知識的範圍。它問的是:在地球表面,一個物體要達到怎樣的速度,才能飛到離太陽無限遠處?
第三宇宙速度之所以複雜,是因為前面的引力源只有一個地球,而這裏涉及太陽和地球兩個引力源。所以,一種簡單而清晰的推導方式,是先假設地球不存在,看需要多大的速度飛出太陽系。
對此的回答,其實我們剛才已經給出來了,就是第二宇宙速度。只不過這時要把引力源從地球換成太陽,距離從地球的半徑換成太陽到地球的距離。太陽的質量MS約等於1.99 × 1030 kg,日地距離RSE約等於1.5 × 1011 m。
把這些數值代入第二宇宙速度的公式,就得到42.1公里/秒,讓我們把它記作v2S。這個速度的意思是,如果地球不存在,而在地球的位置有一個速度相對太陽達到42.1公里/秒的物體,那麼它可以飛出太陽系。
下面我們來問,地球的存在會帶來什麼修正?
首先,地球是在圍繞太陽公轉的,公轉的速度約等於29.8公里/秒。實際上,這個公轉速度就是地球環繞太陽的第一宇宙速度,我們可以把它記作v1S。所以,v2S必然等於根號2倍的v1S。
地球的公轉可以給我們提供一個便利:如果火箭發射的方向跟地球的公轉速度方向一致,那麼在太陽的參照系中,火箭一上來就從地球借到了29.8公里/秒的速度。這是一個巨大的收益。所以,火箭真正需要依靠自己的燃料達到的相對於地球的速度,是
v2S - v1S = 12.3公里/秒。
我們可以把這個速度記為Δv。
實際上,對於第一宇宙速度和第二宇宙速度,同樣可以從地球的自轉中借到速度。不過地球最大的自轉速度只是0.465公里/秒而已,出現在赤道上,遠小於第一和第二宇宙速度,所以借力的效果不是很大。
即使如此,我們還是儘可能地希望在靠近赤道的地方發射火箭,借一點算一點。中國的文昌發射基地,比以前的太原、酒泉、西昌發射基地都更加靠近赤道,這就是一個進步。所以長征五號這樣的重型火箭,都在文昌發射。

圖解中國的航天發射中心
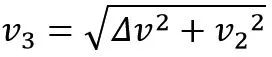
回頭來考慮第三宇宙速度。剛才得到的Δv = 12.3公里/秒就是第三宇宙速度嗎?不是。因為它説的是,假如地球沒有引力,僅僅提供一個公轉的速度,那麼你只需要相對地球達到12.3公里/秒就能飛出太陽系。
但實際上,地球是有引力的。為了克服地球的引力,火箭還需要付出巨大的能量。多大的能量呢?其實就是前面推導的第二宇宙速度v2對應的動能。
由此可見,火箭要飛出太陽系,需要的能量等於兩部分之和:一部分是Δv = 12.3公里/秒對應的動能,另一部分是v2 = 11.2公里/秒對應的動能。動能正比於速度的平方,所以第三宇宙速度是

把數值代進去,就得到v3 = 16.7公里/秒。
現在我們明白,第三宇宙速度的推導為什麼不是高中內容了。確實繞了不少彎子,不過只要你的頭腦清晰,全都是可以理解的。
讓我們總結一下,如果你的初始速度處於某個區間,結果會是什麼?

三個宇宙速度
如果不到第一宇宙速度,那麼你會落回地面。
如果達到第一宇宙速度,那麼你會環繞地球做圓周運動。
如果超過第一宇宙速度,但低於第二宇宙速度,那麼你會以橢圓軌道繞地球運動,速度越大橢圓越扁,遠地點越遠。
如果達到第二宇宙速度,但低於第三宇宙速度,那麼你會擺脱地球引力,卻被太陽捕獲,繞太陽做橢圓運動。中國探測火星的天問一號,目前就處於這種狀態。
從地球到火星的霍曼轉移軌道
(天問:火星與人類的未來 | 袁嵐峯)
如果達到第三宇宙速度,那麼你最終會飛出太陽系。
有趣的是,還有人提出了所謂“第四宇宙速度”,即飛出銀河系所需的速度。它大約在110至120公里/秒之間。不過這個速度已經超出了人類現在能夠達到的水平,飛出銀河系更是遠遠超出我們現有的能力,所以這個概念還沒有實用價值。

2020年4月,中美科學家繪出迄今最精確銀河系結構圖(https://tech.sina.com.cn/d/s/2020-05-29/doc-iirczymk4131458.shtml)
還有人提出第五、第六以至第七宇宙速度,表示飛出“本星系羣”、飛出“本超星系團”以及飛出已知宇宙所需的速度。這些速度就更大,更加遠遠超出人類的能力,所以更是隻有玄想的意義了。
最後,我們可以回到問題的出發點,重新想一想。火箭的燃料一定是有限的嗎?我們能不能一邊飛行,一邊收集星際物質作為燃料呢?如果這條路走通,就不受無論第幾宇宙速度的限制了。我們就回到了最初的圖景:如果你能持續地保持某個速度,那麼你可以走到任意遠。
這樣的設想真的是存在的。例如星際衝壓發動機,它是美國物理學家巴薩德(Robert W. Bussard)在1960年提出的。它的基本思想是,在前方收集星際物質中的氫原子,在火箭內部發生核聚變,然後從後端高速噴出去。

星際衝壓發動機
雖然星際物質很稀薄,但如果你收集得夠快,噴射得夠快,在理論上就是有可能實現的。這種發動機當然離我們現在的能力還很遙遠,因為我們連基礎的可控核聚變這個科技還沒點開呢,不過它至少給我們提供了一種思路。它使得星際航行不再是耗盡燃料的一錘子買賣了,變成了細水長流。
回顧我們的整個討論,經歷了一場“否定之否定”。許多人困惑是因為他們處於第一層,分不清航空與航天,理解不了宇宙速度面對的是什麼問題。當你明白了這一點,你就進入了第二層,可以定量地推導出三個宇宙速度。
然後,你可以再次超越已有的思維,回頭去設計在太空中補充燃料的方法。看似回到了第一層,其實至少是第五層,這是真正的高手。科學就是在這種否定之否定中前進的,關鍵在於你要理解清楚面對的問題,然後才可能找到超越之道。
科技是人類發展的正道,我們要走正道。歡迎大家關注科技袁人,我們下期再見!