宇宙社會學:宇宙與人_風聞
中国科学院国家天文台-中国科学院国家天文台官方账号-发布科研成果,普及天文知识2020-07-31 13:09
人們對客觀事物的認識一般要經歷從簡單到複雜再回歸簡單,從整體到部分再回歸整體的過程。近代科學的發展基本是以西方的還原論作為內核的:即認為複雜的系統、現象都可以通過將其還原為各部分組合來理解和描述。這也在歷史上賦予了基礎物理學--對基本粒子和基本作用力的研究--一切自然科學基礎的崇高地位。
然而隨着對客觀世界認識水平的不斷提高,人們逐漸意識到現實世界中的大多數問題都跟含有多個相互作用成分的複雜系統(細胞、人腦、有機生物、社會和經濟活動的組織、生態環境、地球大氣、地殼活動、星系乃至整個宇宙)相關。這類系統的基本特徵是其行為不同於個體行為的簡單求和,而是作為一個整體呈現出一些新的性質和規律。正如馬克思所言,“量變引起質變”。諾貝爾物理學獎得主 Philip Anderson在著名的“More is different”一文中也提到“將萬物還原成簡單基本規律的能力,並不藴含從這些規律出發能夠重建宇宙的能力”[1]。理解這些複雜系統的行為特點,探尋各種複雜系統背後一般的演化規律本質上也是基礎性的,與追尋物質的本源組成和基本相互作用對於最終理解我們的宇宙同等重要。
對於複雜系統的最早科學探索可追溯到19世紀法國數學家龐加萊發現的三體問題中的混沌現象[2]。但對各類複雜系統一般性的科學研究始於上世紀70年代關於耗散結構、協同學、突變理論、混沌學、分形等新的理論的發展。複雜系統的特點決定了它們的研究方法不能限於傳統的還原論,而往往需要運用整體論和還原論相結合的方法。對於這種整體和還原論結合探尋事物本質的方法,老子曾有過非常精妙的描述,“故常無慾,以觀其妙;常有欲,以觀其徼。此兩者同出而異名,同謂之玄,玄之又玄,眾妙之門。”
要實現這樣的目標需要我們摒棄傳統的、基於還原論的學科界限,迴歸對實際問題和現象的本能的好奇和探索,大膽假設,小心求證。作為一名天文學工作者,筆者在本文中將着重討論天文學如何通過跟其他學科的交叉研究來幫助我們探索從宇宙到人類社會的各種複雜系統背後的普適規律(本文題目“宇宙社會學”的由來,與《三體》中研究宇宙中智慧生命社會學法則的宇宙社會學不同)。
回顧歷史,天文學在人類認識客觀世界的歷程中一直佔有着獨特的地位。幾百年前正是近代天文學的突破帶來了近代科學的啓蒙。中國古人幾千年前就形成了“天人合一”的哲學思想,認為人和自然受共同的客觀規律約束,所以人事應順乎自然規律與自然和諧發展。這種樸素的整體觀思想也構成了中華傳統文化的主體。當然,近代科學的發展早已讓我們脱離了機械的“天人一一對應”的簡單思想。我們今天研究複雜系統的最終目的一是為了解決更廣泛領域(物理學、氣候學、生物學、經濟學、社會學等)中的具體問題,二是探索不同種類複雜系統(上至星系宇宙下至複雜的生命系統)背後有沒有一些普適的規律。
具體而言,本文旨在拋磚引玉,通過挖掘天文學中的研究對象--宇宙的基本組成單位星系--這一複雜系統,與社會學中的研究對象--人類社會的各種複雜系統(城市組織,經濟活動,人口增長)之間的一些共同性質和規律,促使更多的人能夠脱離學科體系的桎梏,對於複雜世界中的一般性問題有更多的思考。學識所限,本文僅代表作者個人觀點。
1
星系的空間分佈(大尺度結構)與城市的空間分佈。
宇宙的基本組成單位是像我們銀河系一樣的億萬個星系,他們是包含有恆星、氣體、塵埃等成分的自引力束縛結構。星系在宇宙中的分佈並不是隨機的,而是呈現泡沫網狀結構(稱為大尺度結構),並有明顯的聚居效應。大部分情況下星系三五成羣,但也有時候星系也會集中聚居在一起,形成星系團,甚至超星系團(數個星系團構成)。類比人類社會,宇宙中的星系就相當於人類聚居的城鎮。二者的產生機制也十分相似:城鎮的產生可以理解為人口密度和數量超過某一臨界值的產物,而星系的產生源自宇宙原初的密度擾動造成的局域密度增加。
圖一:左圖為斯隆數字巡天中的星系(credit: SDSS);右圖為美國東部城市夜燈光的分佈(credit: NASA)
雖然尺度差別非常大,但人們很快意識到星系的分佈和城市的分佈非常相似。如圖一所示,二者均有明顯的聚居行為,少部分集中聚居在一起(星系團和城市羣)。事實上二者並不僅僅是看上去相似,其數學描述也驚人的一致。
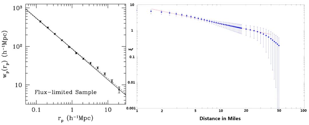
天文學家利用數學上的兩點相關函數來描述星系的空間分佈,定義為相對於完全隨機分佈,給定距離上發現的星系對的概率超出值。如果星系呈隨機分佈,則這一概率超出為0。概率超出值越大表明星系的成團性越強。觀測發現這一概率與空間距離呈很好的冪律分佈關係(power law),星系在小尺度和大尺度上的成團性有着驚人的一致性。這意味着星系分佈特徵是與尺度無關的(scale-free)。事實上,對星系分佈的無標度描述是無標度網絡在自然學科中最早和最廣泛的應用例子之一。我們可以用同樣的方法來描述城市的分佈,結果發現二者驚人的相似,城市間的兩點相關函數同樣呈現冪律分佈,跟星系不同的只是冪指數(雙對數圖像上的直線斜率)和特徵尺度(城市的尺度明顯要比星系小得多)。

圖二:星系(左[3])和城市(右[4])的兩點相關函數
星系和城市的空間分佈均可以用簡單的冪律分佈來描述這一事實,説明支配宇宙和人類社會的組織結構的基本規律可能存在很強的內稟相似性。天文學家們已經知道星系分佈呈冪律分佈的主要原因是引力的無標度特性(強弱與距離呈冪律關係)和暗物質暈結構的自相似性(質量不同的暗物質暈中星系的分佈輪廓類似)。
簡單類比,我們推測城市的分佈很可能也存在大城市羣和小城市羣分佈的相似性,以及人們向大中城市的聚居行為很大程度上可以用類似引力的特性來描述(即城市對周圍人羣的吸引力大致與城市規模成正比,與距城市的距離(或者距離的某些函數)呈反比)。嚴格的統計分析已經超出本文的範疇,但城市分佈的這些特徵符合我們的實際生活經驗。這就是系統科學的魅力。通過類比星系,我們可以推測決定人類的城市分佈模式的最可能要素。這對進一步定量研究城市分佈指明瞭方向。反之亦然。
值得一提的是,這種簡單的冪律分佈,又稱為標度不變性,是許多複雜系統的共性(太陽耀斑的能量分佈,地震烈度、城市人口、網站點擊率的分佈、人類語言中用詞的頻率分佈等等)。知道這種分佈特點雖然並不能直接告訴我們其背後隱含的規律是什麼,但卻告訴我們無論什麼規律,他們是與對應的標度(大小,強弱等等)無關的。以地震而言,地震烈度與發生頻率間的冪律關係説明大地震和小地震的產生原因很可能沒有本質不同,因此刻意發展預告大地震的研究方向很可能是徒勞的(如果我們預測不了小地震,那也同樣預測不了大地震)。從另一個角度講,如果某一地今天發生了小地震,那我們就無法避免未來某一刻發生大地震的可能性。歸根結底,只是一個概率的問題,而冪律分佈的典型特徵就是極端事件的發生概率要比指數分佈高。
如果將星系比作人類的城市,那麼星系中的恆星就相當於城市中的人類個體了。正如不同國家和城市的人口出生率、人口密度,財富分配不同一樣,不同星系中恆星的產生率、恆星的分佈、星光的分佈也千差萬別。接下來我們將從個體的角度,討論星系的演化與星系中恆星(及星光)的分佈,以及人類社會的消亡與人口分佈(及財富分配)之間相似的性質和規律。
2
星系的面亮度分佈與人類社會的財富分配
簡單來講,星系按照是否能夠持續產生新的恆星可以分為兩類,恆星形成星系(star-forming galaxies,也稱為年輕星系)和已停止恆星形成的星系(quenched galaxies,也稱為年老星系,可以類比於生物學意義上已經死亡或接近死亡的星系)。兩類星系在形態上也有明顯不同:年輕星系多屬旋渦星系(比如我們銀河系),而年老星系多屬橢圓星系。二者在面亮度分佈上呈現明顯的區別。具體而言,橢圓星系(年老星系)的亮度分佈高度集中在中心區域,而旋渦星系(年輕星系)則較為平均地分佈在星系盤和旋渦狀懸臂上。這種區別促使天文學家們開始思考如何在數學上定量區分這兩類星系。
不同星系中恆星面亮度分佈不同的特點使得天文學家們聯想到了社會學中用來描述人類社會財富分配不均程度的基尼係數[5],其定義見圖三。簡而言之,基尼係數越大,財富越集中在少數人手中,社會財富分配越不平等。一般認為當一個地區基尼係數超過0.5時,其收入差距已經比較懸殊。較大的收入差距往往會進一步觸發社會動盪,因此基尼係數也是衡量一個社會穩定與否的重要參數(圖三中列出了幾個主要國家和地區的基尼係數分佈,可以看出近兩年發生重大社會動盪事件的國家/地區的基尼係數基本在0.5以上)。


圖三(上):基尼係數的定義;(下):不同類型星系和不同國家/地區的基尼係數的分佈。伴隨着基尼係數的增大,星系和社會都進入某種不良狀態:星系會逐漸喪失製造新的恆星的能力變成年老星系,社會則會因貧富差距導致階層固化,進入某種臨時性死亡狀態(社會動盪和變革)。
天文學家遂用基尼係數來描述星系的面亮度分佈不均(用星光替代社會學基尼係數定義中的人類財富):基尼係數越大,意味着亮度越集中分佈在少數區域,星系越傾向於為橢圓(年老)星系。年輕和年老星系的分界線就在0.5-0.6左右。換句話説,如果一個星系的亮度分佈不均勻程度超過0.5,則該星系很大概率近似橢圓星系,已經失去了製造新的恆星的能力了(變成年老星系)。基尼係數在區分不同類星系中的巨大成功使其被眾多天文學家廣為接受,成為今天研究星系星系形態的一個重要參數。這也成為自然科學成功藉助社會科學概念進行研究的一個典型例子。
3
星系的恆星形成率與人類社會的人口出生率
除了基尼係數以外,星系中的恆星分佈與恆星形成率密切相關的另一個表現是恆星分佈密度與恆星形成率的關係(圖四):恆星形成率低的星系(年老星系)的中心恆星密度普遍高於恆星形成率高的星系(年輕星系)。換句話説,如果星系中恆星分佈過於緻密,那這個星系很大概率也要死亡了(恆星形成率降低)。
相似的,人口密度過高會不會直接影響到人口出生率呢?同樣基於生活經驗,我們認為這是很有可能的(根據2010年我國人口普查數據,城市總和生育率為0.88,鎮的總和生育率為1.15,農村總和生育率為1.44)。筆者帶着這樣的疑問進一步搜索了相關文獻,發現的確有很多相關的研究證實了二者的負相關(圖四)。我們這裏引用了日本的例子。由於多年的經濟和社會穩定,日本的數據能夠很大程度上排除經濟發展、醫療進步、戰爭等其他因素對人口出生率的影響,因此得出的出生率與人口密度的負相關具有具有更好的説服力(圖四)。
圖四(左):星系的比恆星形成率與恆星密度的關係[6];(右):人口出生率與人口密度的關係[7]
這一簡單類比告訴我們,無論是對於有機生命體集合的人類,還是無機的恆星聚居體的星系而言,種羣密度過高都會導致其繁衍速度(新的恆星形成一定程度上可以認為是星系中恆星的繁衍)的下降。我們也有理由相信,呈現這種規律的複雜系統絕不限於星系和人類社會,它本身可能反映了複雜系統在資源有限的情況下的增長模式的一般規律。
當然這裏我們僅僅從星系和人類社會兩個複雜系統的特點總結出這條規律,要科學地證明這一點,最終還是需要研究更多的複雜系統,利用統計學分析證明這是否是普遍規律。我們也要再次明確,類比作為人類認知的核心手段,其本身並不是科學論證。但合理的類比能夠幫助我們舉一反三、抽絲剝繭,指明科學論證的方向。
我們還可以對星系和人類社會中呈現的上述共同特點展開進一步的討論:對於具有基尼係數較大、恆星密度較高的年老星系而言,其死亡幾乎是永久的;而人類社會因基尼係數過大、人口密度較高造成的某種意義上的死亡(社會動盪和政權更迭,人口出生率下降)則絕大多數情況下並非是永久的。我們可以從熱力學第二定律(熵增加原理[8])的角度來説明這一點。
星系從年輕(旋渦)星系到年老(橢圓)星系的轉變是有序到無序的過程。具體而言,旋渦星系中大部分恆星繞星系中心做有序的,規則的近似圓周運動,而橢圓星系中的恆星則大部分做無規則運動。因此該轉變過程中熵增加,是趨向於穩定態的、幾乎不可逆的轉變。與之相反,人類社會中無論是財富由大部分人集中到少數人手中,還是人羣的分佈由分散到集中,這些過程是從無序到有序,是熵減的過程(因此這些過程是不可能自發、孤立地發生的,其必定伴隨着從系統環境中汲取負熵的過程,從而使得在該轉變過程中整體的熵仍然增加)。如果着眼點僅僅集中在財富或者人口集中這一過程,因為熵減,所以實際上是趨向於非自然的、不穩定態的轉變。這樣的轉變發展到一定程度,必然會造成系統崩潰而重新洗牌(政權更迭,財富重新分配)。
簡而言之,這一過程是可逆的。人類社會“天下合久必分,分久必合“的歷史其實正是這種無序到有序再到無序演化的外在反映。老子曾經對這種自然界從有序到無序,而人類社會由無序到有序(再到無序)的發展有精彩的概括,“天之道,損有餘而補不足;人之道,損不足以奉有餘”,這句話在兩千年後的我們讀來,仍然回味無窮。
小
小結
當然,星系乃至宇宙這一複雜系統與人類社會的各種複雜系統之間的聯繫(享有某些類似的規律和特徵)遠遠不止這些。考慮到人類本身就是宇宙的一部分,這種普遍的相似性本身又反映出這些規律在更廣闊的尺度上的一致性。過去幾百年基於還原論的科學發展為我們提供了描述各種複雜系統的組成成分及它們之間相互作用的有效工具,但我們對作為整體而言的複雜系統的一般規律的認識才剛剛開始。幾百年前,牛頓因為堅信行星運動與樹上的蘋果受同樣的規律支配而發現了萬有引力定律,筆者也堅信未來通過更多對宇宙當中各種複雜系統的深入研究能夠揭示複雜系統運作的一般規律,從而最終能夠回答“世界為什麼是這個樣子”這一基本問題。
參考文獻:
[1] P. Anderson,1972,Science,177(4047): 393
[2]Poincaré, Henri (1892), “Sur les courbes définies par uneéquation différentielle”, Oeuvres, 1, Paris
[3]Zehavi, I., D. H. Weinberg, Z. Zheng, et al., 2004, ApJ, 608, 16
[4] Daniel Smith, 2012, http://physics.scsu.edu/~dms/cosmology/City-City_Intro.pdf
[5] Lotz, J., Primack, J., and Madau, P., 2004, AJ, 128, 163
[6] Whitaker, K., Bezanson, R., van Dokkum, P., et al., 2017, ApJ,838, 19
[7]Kondo Keisuke, 2014, https://www.rieti.go.jp/jp/special/special_report/074.html
[8] R. Clausius,The Mechanical Theory of Heat, London: John van Voorst, 1867. Ninth Memoir.
作者簡介
王濤,日本東京大學天文所特任研究員。主要研究方向為星系與星系團的形成與演化,及大質量黑洞與宿主星系的共同增長。是迄今已知宇宙中形成最早的X射線星系團的發現者。