這道小學生都能看懂的題目,竟然沒人會做!_風聞
中科院物理所-中科院物理所官方账号-2020-11-03 15:33
這是一個非常詭異的數學猜想,因為它的表述異常簡單並且非常容易理解,而且問題的形式看起來那麼富有吸引力。
但是即使是最頂尖的數學家,也沒能給出一個證明!!
不要試圖自己解決這個問題!
雖然我已經發出了警告,但你一定還是會被這個問題所蠱惑,因為它的表述是那麼簡單,那麼容易理解,而且問題的形式看起來那麼富有吸引力。
任意選擇一個整數,如果它是偶數,就將它除以二;如果它是奇數,就把它乘以三再加一。對於新產生的數,我們對它進行上一步的操作,依次類推。
如果你這樣一直做下去,你一定會陷入一個循環中。至少我們猜想會是這樣。
接下來以10為例來説明這個問題:
10是偶數,所以我們將它除以2然後得到5;又因為5是奇數,所以用3乘以5再加1得到16;16是偶數,16除以2得8,接下來可以得到4,然後是2,再接下來是1。因為1是奇數,3乘以1加1是4,最後進入了4-2-1-4-2-1.…..的循環中。
如果以11為例,我們可以得到以下過程:11-34-17-52-26-13-40-20-10-5-16-8-4-2-1-4-2-1.…最終我們還是掉入了相同的循環中。
這個“臭名昭著”的考拉茲猜想講的是,如果從一個正整數開始,你最終一定會陷入循環中。也許你會不顧我的警告而嘗試去解決它:因為它看起來很簡單也很容易理解。事實上,多數數學家都曾在這個問題上花過功夫。
我第一次在學校學習到這個猜想時就被它吸引了。我和我的朋友花了很長時間來思考這個問題,但是這並沒有讓我們得到答案。
考拉茲猜想之所以臭名昭著的原因是:即使你可以證明你見過的所有數字都滿足這個猜想,那你也不能證明它一定是對的。所以,它至今只是個猜想。
看似簡單 · 實則極難
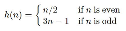
為了理解考拉茲猜想,我們從下面這個函數開始:
你也許還記得學校裏教的“分段函數”:上面的函數里包含一個作為自變量的正整數n,並且有兩種對它進行操作的規則,我們需要根據n的奇偶性來選擇兩個規則中的一個。
函數f代表我們對n進行操作的規則,例如:f(10)=10/2=5,f(5)=3*5+1=16。根據函數f對輸入的奇數的操作,考拉茲猜想也被成為3n+1猜想。
考拉茲猜想處理的是函數f的“軌跡”問題。軌跡指的是如果你從一個正整數開始計算函數值,並將上算出的值重新代入到函數中得到新的函數值。我們稱這種操作為函數的“迭代”。我們已經計算過了輸入為10時函數f的軌跡:
f (10) = 10/2 = 5
f (5) = 3 × 5 + 1 = 16
f (16) = 16/2 = 8
f (8) = 8/2 = 4
更方便的表達函數軌跡的方法如下:
10 → 5 → 16 → 8 → 4 → 2 → 1 → 4 → 2 → 1 → …
在軌跡的尾部我們可以看到1 → 4 → 2 → 1 的循環。
類似地,對於11有:
11 → 34 → 17 → 52 → 26 → 13 → 40 → 20 → 10 → 5 → 16 → 8 → 4 → 2 → 1 → 4 → ….
我們同樣陷入了相同的循環中。在嘗試其他的例子後,我們會發現軌道最終總是會陷入到循環4 → 2 → 1 → … 中去。
考拉茲猜想聲稱,任意正整數的軌跡最終都會經過1。儘管沒有人能證明這個猜想,但是已經有人證明了,任何小於2^68的正整數都符合考拉茲猜想。所以,如果你想找一個反例的話,你要到大於300000000000000000000的整數里去找。
很容易證明某個數是否符合考拉茲猜想:只要計算相應的軌跡直到得到數字1。但是如果想要知道這個猜想為什麼這麼難證明,讓我們先研究一個稍微簡單一點的函數,g(n)。
函數g和f類似,但是對於奇數,函數g只是讓數字加1。由於函數f和g不同,數字在函數g中的軌跡和在f中的不同。例如,g中10和11的軌跡分別是:
10 → 5 → 6 → 3 → 4 → 2 → 1 → 2 → 1 → 2 → …
11 → 12 → 6 → 3 → 4 → 2 → 1 → 2 → 1→ 2 → …
可以看到,g中11的軌跡更快到達1。同樣的,27的軌跡在g中也更快的到達1.
27 → 28 → 14 → 7 → 8 → 4 → 2 → 1 → 2 → …
在這些例子中,g中的軌跡也會陷入循環中,但是它比f中的循環更加簡單:
→ 2 → 1 → 2 → 1 → ….
我們可以猜想,g中的軌跡最終也會到達1。我可以把它稱作“諾拉茲”猜想,但是我還是想叫它n+1猜想。我們會通過檢驗更多的數的軌跡來研究它,即便是證明了很多數都滿足這個猜想,我們也不能認定所有的數都滿足這個猜想。幸運的是,諾拉茲猜想可以被證明,方法如下:
首先,我們知道一個正整數的一半總是小於這個數字自身。因此如果n是正偶數, g(n) = n/2 當n>1,總有n/2 + 1/2
這些性質告訴我們,當g中的軌道到達了一個大於1的奇數,我們總是可以在兩步之後獲得一個更小的數。
現在我們可以給出證明諾拉茲猜想的思路了:在軌跡中的某一個點,無論它是偶數還是奇數,那麼之後的點總是會逐漸變小,最終,軌跡會到達1。然後它就陷入了循環中,就像我們猜想的那樣。
問題在哪?
可以用類似的方法證明考拉茲猜想嗎?讓我們回到最初的函數形式。
就像函數g那樣,函數f會讓一個偶數變小,也會讓一個奇數變成偶數,接下來再讓新的得到的偶數減半。而一個奇數的軌道如下:
… → n → 3n + 1 → (3n+1)/2 → …
而這裏正是我們的策略會失敗的地方。和前面的例子不同的是,(3n+1)/2 >n。證明諾拉茲猜想的關鍵是奇數在被函數g作用兩次之後會變小,但是這在考拉茲猜想中是不適用的。所以我們的策略失敗了。
那考拉茲猜想是不是錯的呢?畢竟軌道上的數似乎一直在變大,那它怎麼可能慢慢變成1呢?這就要考察接下來會發生什麼了,接下來發生的事情會解釋考拉茲猜想為什麼這麼難證明:因為我們不能確定(3n+1)/2 是奇數還是偶數。
我們知道3n+1是偶數。如果3n+1可以被4整除,那麼(3n+1)/2是偶數,軌跡上的數會變小。如果3n+1不能被4整除,那麼(3n+1)/2是奇數,接下來軌跡上的數會變大。我們不能預測接下來的情況是什麼,所以證明諾拉茲猜想的方法在這裏失效了。
但是,這種方法並不是毫無用處。因為有一半的整數是偶數,所以 (3n+1)/2有一半的可能性是偶數,這樣下一個數就是(3n+1)/4。
對於n>1,(3n+1/)4所以從平均的意義上講,所有軌跡都必須減少。雖然這在概率論中説得通,但沒有人能夠完整證明考拉茲猜想。
還是有一點進展…
然而,幾位數學家已經證明考拉茲猜想“幾乎總是”正確的。這意味着他們已經證明,相對於他們知道的滿足考拉茲猜想的正整數,還沒有被證明的數字的個數可以忽略不計。1976年,愛沙尼亞裔美國數學家Riho Terras證明,在反覆應用考拉茲函數之後,幾乎所有的數字最終都會低於最初的值。正如我們在上面看到的,表明軌跡上的數字會不斷變小是證明它們最終會達到1的一條途徑。
2019年,著名數學家陶哲軒改進了這一結果。當Terras證明了幾乎所有的數n的考拉茲軌道最終都會變小後,陶哲軒證明了對於幾乎所有的數,n的考拉茲軌跡最終小得多:低於n/2,低於√n,低於lnn。但是陶哲軒説,這個結果是“在沒有真正解決它的情況下,最接近完全證明它的工作。”
儘管如此,這個猜想會繼續吸引大量的數學家和愛好者的注意。所以你可以選擇一個數字嘗試一下。記住,有人警告過你:不要陷入無休止的循環中。
下面給大家幾個小練習
向上滑動查看答案
1. 證明有無窮多個數可以讓考拉茲軌跡經過1
舉個例子,我們很容易注意到:
24 → 23 → 22 → 2 → 1 → …
既然2的冪可以寫出無窮多個,那麼很顯然有無窮多個數的考拉茲軌跡經過1。
向上滑動查看答案
2.讓n的考拉茲軌跡到達1的最小的操作次數被稱為“停止時間”。例如,10的停止時間是6,11的停止時間是14。找出兩個停止時間是5的數。
很容易注意到, 25 的停止時間是5,因為 25 →24 → 23 → 22 → 2 → 1 → ….
而 24 的停止時間是4,那麼從24 開始往外數一步的數的停止時間都是5,比如5 → 16 → 8 → 4 → 2 → 1
大家可以想想還有其他思路麼?
向上滑動查看答案
3.在最近的報告中,陶哲軒提到一個和考拉茲函數相似的函數:

他提出,除了循環 1 → 2 → 1 → 2 → 1…,還存在其他兩種循環,你可以找到它們嗎?
另外的兩個循環是:
5 → 14 → 7 → 20 → 10 → 5 → …
17 → 50 → 25 → 74 → 37 → 110 → 55 → 164 → 82 → 41 → 122 → 61 → 182 → 91 → 272 → 136 → 68 → 34 → 17 → ….
你是如何找到的呢?
作者:Patrick Honner
翻譯:Nothing
審校:Dannis
原文鏈接:
https://www.quantamagazine.org/why-mathematicians-still-cant-solve-the-collatz-conjecture-20200922/