怎麼科學解讀閃電鞭?年輕人我勸你耗子尾汁,好好反思_風聞
中科院物理所-中科院物理所官方账号-2020-11-22 21:51

剛才有個師兄問我,kk發生腎麼事了,我一看,噢,原來是佐田,有兩個物理所小編,看了B站鬼畜區馬老師的視頻,塔悶説,kk你能不能教教我怎麼學習馬老師的絕活兒——五連鞭,我説你們光學這個沒用,他們説有用。然後,他們“啪”的一聲就站起來了,很快啊!一個半蹲,另一個開始甩手。
我們相視而笑,他們説他們學馬老師是亂甩的,我説馬老師可不是亂甩的!化勁兒、關節放鬆、筋、膜繃緊,可見是有bear而來。作為物理所小編,來騙!白嫖!馬老師的功夫,這合適嗎?要耗子尾汁,好好反思,看清“傳統武術”背後的“玄妙”。學物理要以和為貴,不要搞窩裏鬥!
今天小編就出一期教程給你講講馬老師“傳統功夫”背後的奧秘。
人體運動鏈模型
人體運動過程可以看成是**“人體運動鏈”的多關節活動,這是一個將人體的骨骼、肌肉和關節**組成的有機系統。騎自行車、跑步、游泳、打排球、踢足球和擲標槍等運動,無一例外地是人的肢體和各個關節地配合完成的,這其中也包括馬老師秘技——閃電五連鞭/song guo tan dou閃電鞭。

人體的各個關節可以看作是轉軸——點,肢節則可以簡化成剛體——線。於是很自然的我們在分析人體運動的時候就能夠搬出高中物理那一套,用足夠簡化的模型來研究人體運動了。然而,這只是剛開始。
上肢模型和相應的圖示及其關聯矩陣。分數中的分子表示肢節號碼,分母表示肢節級數,圓圈中的數字表示關節號碼。
對於運動力學專業,在此基礎上還可以利用Kane方程,來對關節和肢節的運動姿態加以描述,人體的運動過程能夠以矩陣運算的方法描述,從而對這條“人體運動鏈”的拿捏得死死的。在這個過程中,**不需要講武德,**五連鞭每一鞭的給敵人的衝擊力到底多少?每一塊筋、膜、關節的運動狀態,腎摸時候該松,腎摸時候該緊?以及該松的松該緊的緊,到底是腎摸緊,腎摸松?直觀地看出怎麼發出彈抖勁兒。
來源:見圖片
這個方法這麼難,其實小編不會,就是來**騙!**一下泥萌這些小同志。**今天只能定性地做一些分析。**感興趣的盆友,出門左拐自學。
人體鞭打模型中的甩鞭效應
“鞭打”模型實際上是體育運動中常見的技術動作模型,只不過通常運動中的鞭打動作是將胳膊向內收,類似於扇耳光的動作。

媽媽再打我一次 來源:kengdie.com
也可以參考羽毛球裏面的鞭打模型,基於**角動量守恆,**在一個旋轉體系裏,頭部產生角動量,並向尾端傳遞,尾端的旋轉速度會越來越快。

來源:zhihu
可以稱之為螺旋加速效應或甩鞭效應,以下原理圖也有助於理解這個過程。在羽毛球擊球點在速度最大的位置擊中羽毛球,是對對手打過來球最好的回敬。及時的“制動”(但不是停止運動),合適的發力時間,才能有效的把力量傳遞出去。

閃電鞭的威力真不一般
鞭打得好,還能產生超音速衝擊波,在2002年的一篇PRL上,發表了研究人員對鞭子音爆的產生原因的分析,研究顯示鞭鞘的速度能達到****2馬赫(2倍音速)。據作者計算,尖端的速度能夠達到鞭子初始速度的30倍以上。

鞭鞘產生衝擊波 來源:Smarter Every Day
閃電鞭的確和一般運動不一樣啊,它還是向外抽,這就有意思了,來分!析一下。
我們先用簡單的動量守恆(角動量守恆也行)來定性判斷一下在閃電鞭打出的這一下動量是怎麼傳遞的。仔細觀察馬老師出鞭時的手臂動作,做出一個簡單的假設,在出鞭最末態,小臂和大臂會產生一個制動。

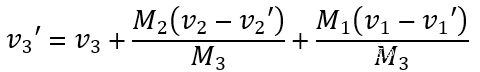
如暫時不考慮馬老師身體的作用,只考慮手臂三個肢節的運動,則有M3、M2、M1分別表示手掌,小臂和大臂的質量。v和v‘分別代表出鞭時,小臂和大臂制動前後的速度。

鞭打要讓最後的手掌的速度v3達到最大值,由上式有




©海賊王
所以要讓出鞭的最末態手掌速度達到最大(殘影效果最為明顯,也意味着對敵人極致的破壞力),首先需要讓質量比 M2/M3 和 M1/M3 儘可能大,那麼就需要讓身體更多的肢節和關節參與到這條“人體運動鏈”的活動中。於是你也就看到了,為什麼馬老師在每一次出鞭的同時身體還會劇烈地抽搐身體。因為要儘可能地增大能傳遞給手掌的動量啊!

怎央打好第五鞭
其次,以上分析可以看出,需要讓大臂和小臂的在出鞭末態有較大的速度變化,這就可以從兩方面考慮。我們以閃電鞭的**“第五鞭”為參考,一方面需要增加v,於是助跳、收臂增加運動程,再進行彈抖、筋、膜緊起來、關節松下去,增加初速度。另一方面,在出鞭末態及時“制動”讓產生的動量傳遞到手掌**,這就是為什麼閃電鞭要向外抽了,人體構造限制了肢節的活動範圍,如小臂和大臂只能在0-180°範圍內活動,這也為收臂提供了充足的制動力量,儘可能減小v‘。綜上(v-v’)得以最大化。

擲標槍 來源:網絡
不僅如此,蓄力過程就是生物力學中所謂的**“超等長收縮”。什麼意思呢,蓄力就是將出鞭時需要緊的肌肉,進行預拉伸,讓肌肉始終處於一個最為合適的初始長度。相當於提前儲存一些彈性勢能。這在擲標槍和擲鐵餅時尤為常見,運動員會在發力之前將身體擰**起來。
怎央打好五連鞭?
總結以上的鞭打過程,就是加速——(制動——傳遞——加速)n——高速,n取決於運動鏈的肢節數。五連鞭打得好要注意三點:
第一,該松的松該緊的緊,講的就是人體在鞭打時,傳遞動力矩的過程中還要不斷產生新的動力矩,需要讓力矩傳遞出去後有更小的損耗。
第二,丹田發力,根據馬老師的視頻可以看到,丹田發力也就是核心肌羣發力,讓身體更多的部分參與到鞭打的過程中,增加質量比,從而讓**“鞭尾”更加有殺傷力**。

怎央打好閃電鞭
第三,三位一體混元勁兒,小編想,講的就是讓手掌、小臂、大臂三個部位,時刻刻聯繫在一起,相互配合維持鞭打的姿態吧!所以如果想要維持鞭打形態,發力部位的次序千萬不能搞混,依次是腿部——髖部——丹田——肩部——肘部——手部,這樣更能發揮出六位一體混元勁兒,比三位一體更強****,馬老師也會直呼內行。
如果能再配上真正的閃電鞭,威力會更大。

真的閃電鞭 來源:網絡
我要為閃電鞭正名!
所以哈,根據小編上面的分析來推斷呢,這個被網友稱為松果痰抖閃電鞭的絕活,奧!原來是**“松活彈抖閃電鞭”**。不過小編把周圍能山東和河南師兄師姐都問遍了好像“活”字不大能被讀成視頻裏以 g 為聲母的字。
所以小編推測是**“松膕彈抖閃電鞭”,也有很大的可能。膕代表膕繩肌**,即大腿後側肌羣,包括半腱肌、半膜肌、股二頭肌。不信你看馬老師抽動的雙腿,膕繩肌果然很鬆啊!
可見尊重馬老師的最好的方式就是為馬老師的絕活兒正名(誤)謝謝盆友萌~
松活彈抖閃電鞭
武林秘笈
參考文獻:
[1] 蔣慧宇,張偉.鞭打動作在標槍運動中的應用[J].湖北體育科技,2017,36(05):430-432.
[2] 耿麗.人體運動鏈鞭打動作生物力學特徵分析[J].中學物理教學參考,2016,45(24):74-75.
[3] 徐磊. 人體上肢運動鏈基本動作的生物力學分析[D].河北師範大學,2014.
[4] 劉卉.上肢鞭打動作技術原理的生物力學研究[J].體育科學,2004(11):30-36.
[5] 潘慧炬,胡振浩.人體鞭打動作的力學模型[J].浙江體育科學,1990(06):17-21.
[6] 吳鴻春.人體“鞭打”動作的生物力學分析[J].貴州體育科技,1988(03):37-39.
[7] Alain Goriely, Tyler McMillen. Shape of a Cracking Whip[J]. Physical Review Letters, 2002,88(24),244301-1-4.
[8]True Cause of Whip’s Crack Uncovered-Scientificamerican
[9]揮拍秘籍之旋轉的秘密(螺旋加速)-知乎