某中二所の超空氣炮 | 正經玩_風聞
中科院物理所-中科院物理所官方账号-2020-11-28 17:51
最近
小編突(zhong)然(er)意(bing)識(fan)到(le)
雖然自稱中二所
卻一直沒有標誌性的必殺技
這是萬萬不行的!
看到旁邊的礦泉水瓶
頓時心生一計…

實驗器材
所標杯、礦泉水瓶

實驗過程
實驗危險
小朋友請在家長陪同下實驗
首先將瓶口擰緊的礦泉水瓶用力擠壓
然後趁水瓶不注意
突然擰鬆瓶蓋
會發現瓶蓋被彈飛
並且瓶口出現白煙
原理解説
本次實驗的原理非常簡單:
因為小編不講武德,去擠,去捏這個剛出廠的礦泉水瓶,把它氣得鼻孔冒煙了。
完。
別打了別打了
好啦好啦,講正經的
把水瓶扭一扭泡一泡之後,瓶內的氣壓增加了。
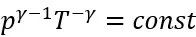
在實際研究中,熱力學可歸納為四個基本過程:等容過程、等壓過程、等温過程、絕熱過程。經過簡單的思考

對於這一實驗現象,瓶蓋突然釋放,系統狀態在短時間內發生劇烈變化,可近似看做與外界來不及進行熱交換,因此可以作為絕熱過程處理。對於絕熱過程,滿足

其中**γ=**Cp/CV。
當擰開瓶蓋時,裏面的氣體突然被釋放,壓力急劇減小。可以看出,温度隨之降低。瓶內水汽凝結,就形成了水霧。
上述實驗原理總結起來便是4個字:減壓制冷。雖然簡單,但是在科學中的應用十分廣泛,小到冰箱,大到稀釋製冷機,其中的原理都是相通的。想到這,原來中二所必殺技空氣炮不僅有飛出的瓶蓋這一物理攻擊,還自帶冰屬性的魔法buff!看來作為必殺技真是搓搓有餘了~
