兩種細菌蛋白對新冠等有廣譜抗病毒活性,清華等團隊最新發現
None
清華大學、軍事醫學科學院微生物流行病研究所、廣東省深圳疾控中心、美國康涅狄格大學醫學院的研究團隊對具有抗病毒活性的色素桿菌分泌型蛋白進行功能篩選,鑑定出兩個具有脂酶活性的廣譜抗病毒細菌蛋白。這兩種細菌蛋白對登革病毒(DENV)、Zika病毒(ZIKV)、嚴重急性呼吸系統綜合症冠狀病毒2 (SARS-CoV-2)、人類免疫缺陷病毒(HIV)和單純皰疹病毒(HSV),都具有廣譜抗病毒活性。
當地時間5月22日,研究團隊在預印本網站bioRxiv在線發表了上述研究,題為“Broad-spectrum virucidal activity of bacterial secreted lipases against flaviviruses, SARS-CoV-2 and other enveloped viruses”。論文的通訊作者為清華大學醫學院程功教授。

論文指出,病毒是急性和慢性嚴重人類疾病的主要病原,給全球公共衞生和經濟造成巨大負擔。據統計,每年有數十億的病毒感染報告,其中數百萬患者臨牀症狀嚴重,甚至死亡。然而,對於大多數病毒,目前都缺乏有效的預防和治療措施,尤其是缺乏廣譜抗病毒藥物。
此前的一項研究發現,從野外捕獲的埃及伊蚊的中腸中鑑定出的一種名為色素桿菌Csp_P的土壤細菌顯示出對登革病毒具有強大的抗病毒活性。在這項研究中,研究團隊首先從在他們的昆蟲設施中飼養的埃及伊蚊的腸道中發現了一種色素桿菌,將這種細菌命名為Csp_BJ。研究人員對Csp_BJ細菌基因組進行測序,並已將數據上傳至NCBI數據庫(NCBI分類號:2735795)。

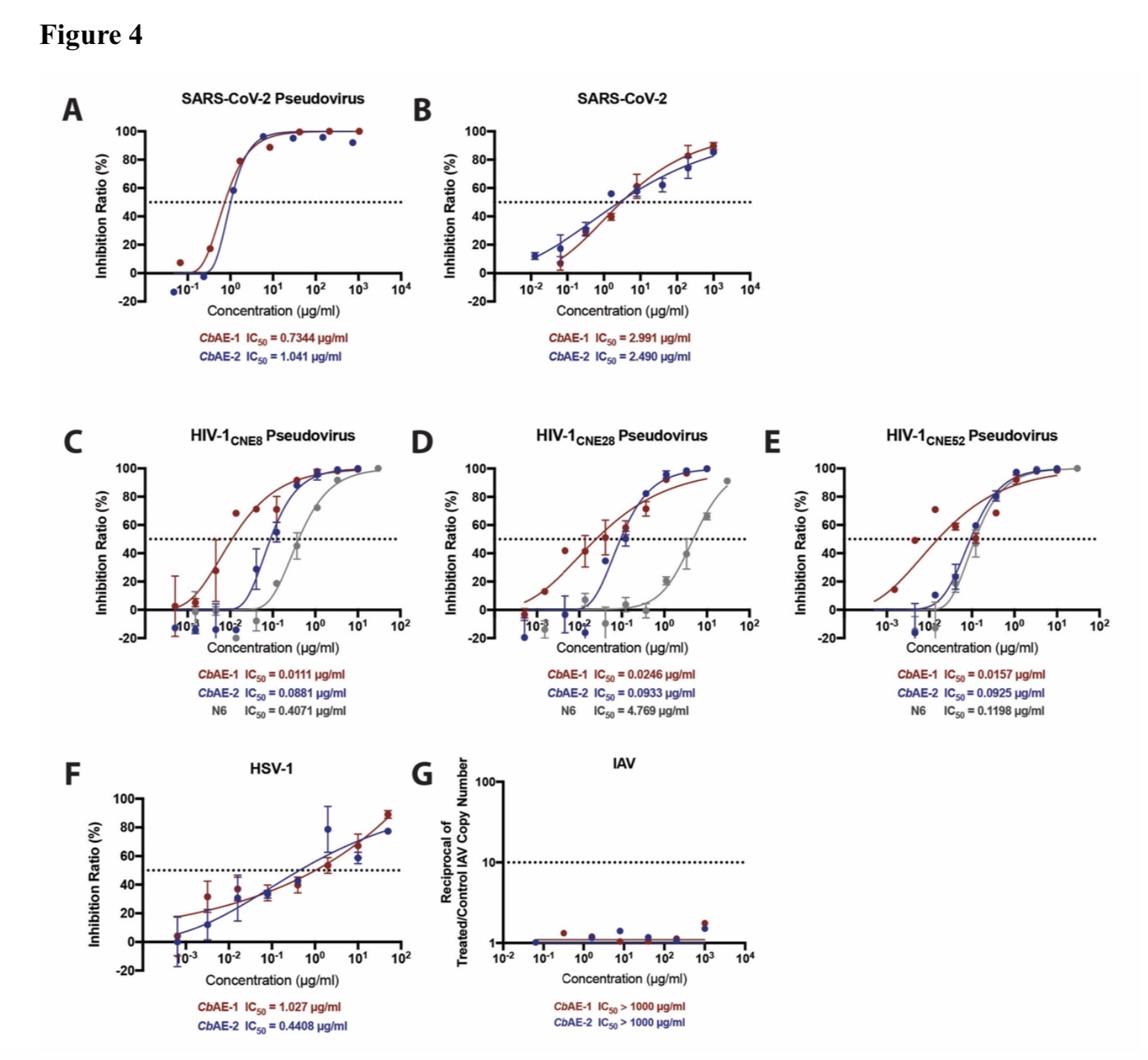
隨後,他們從色素桿菌Csp_BJ中篩選鑑定出兩種具有脂酶活性的抗病毒效應因子CbAE-1和CbAE-2。這兩種CbAE均表現出對包括DENV、ZIKV、SARS-CoV-2、HIV-1和HSV-1在內的多種包膜病毒強大的抗病毒活性。
值得注意的是,兩種CbAEs對甲型流感病毒(IAV)均無影響。
而毒性評估則表明,無論是對人類細胞還是小鼠,CbAE-2都比CbAE-1安全得多。
事實上,越來越多的證據表明,某些脂酶具有強大的抗病毒活性。2010年的一項研究即指出,人肝癌細胞(Huh7.5)中,脂蛋白脂肪酶或肝甘油三酯脂肪酶都能通過降解病毒相關的脂蛋白,影響丙型肝炎病毒(HCV)感染。
2017年的一項研究也發現,從印度眼鏡蛇的蛇毒中分離到的一種分泌型磷脂酶A2(PLA2)對HCV、DENV和流行性乙型腦炎(JEV)具有強大的抗病毒活性。不過,這種蛋白對辛德畢斯病毒(SINV)、IAV、MERS或HSV-1均未表現出顯著的抗病毒活性。
研究團隊分析,CbAEs可能通過其脂酶活性滅活病毒,同時也會破壞細胞膜。他們同時指出,CbAEs對病毒包膜的特異性和親和力還有待提高,從而進一步降低其細胞毒性,提高抗病毒效果。
研究團隊提到一點,SARS-CoV-2表面刺突蛋白(S蛋白)與人類ACE2有高親和力結合,因此可以嘗試利用融合ACE2對CbAEs進行工程設計,大大增強其對病毒包膜的親和力和特異性。他們提出: 一種ACE2-CbAE結構可能會提高阻斷SARS-CoV-2感染的功效。
研究團隊最後強調,廣譜抗病毒藥物對於及時預防新出現病毒疾病的廣泛傳播可能是至關重要的,而CbAE-2具有廣泛的抗病毒作用和對宿主的低毒性,可能是一個潛在的選擇。“我們的研究為開發廣譜抗病毒藥物提供了一個途徑,減少由新出現病毒導致的疾病引起的臨牀負擔。”