石豪:空天飛機、高音速武器或太空戰鬥機?別再迷信美國X-37B了
【文/觀察者網專欄作者 石豪】
9月4日,我國在酒泉衞星發射中心成功,利用長征二號F運載火箭,成功發射一型可重複使用的試驗航天器。在經歷了兩天的在軌飛行後,該航天器於9月6日成功返回預定着陸場,試驗取得圓滿成功。
許多朋友紛紛猜測這是中國版的“X-37B”,一時間這種美國發展的小型航天飛機獲得了空前的關注度。

X-37B與火箭整流罩 | 圖片來源:美國空軍
有説法稱,“X-37B”是一種空天飛機。
有説法稱,“X-37B”是一種高超音速武器,最大速度超過25馬赫。
還有説法稱,“X-37B”是一種太空戰鬥機/太空轟炸機,可以自由變軌,可以快速響應,將核彈頭出其不意扔到敵國。
那麼,X-37B真能擔得起這些美譽嗎?
問:X-37B真是空天飛機嗎?
要回答這個問題,我們可以看一看“航天飛機(Space Shuttle)”是如何定義的。
根據《中國大百科全書(第二版)·航空航天卷》,航天飛機是這麼定義的:
“有人駕駛,可以重複使用、往返於地面和近地軌道之間運送人和有效載荷的飛行器,兼具載人航天器和運載器功能,並按飛機方式着陸的航天系統。美國空間運輸系統的簡稱。”
注意,美國空間運輸系統Space Transportation System (簡稱STS),不止我們一般認知中的“航天飛機”,還包含航天飛機的外掛燃料貯箱和兩個固體火箭推進器,也就是航天飛機發射升空時的樣子。

航天飛機首次發射任務STS-1 | 圖片來源:NASA
至於空天飛機,由於目前尚未出現投入使用的型號,所以現有的《中國大百科全書》並未收錄詞條。根據另外一部權威辭書《大辭海·天文學地球科學卷》,空天飛機是這樣定義的:
“亦稱‘航空航天飛機’。兼具航空飛行器、宇航運載器和宇航器功能的可完全重複使用的高超聲速載人航空航天飛行器。安裝有衝壓空氣噴氣發動機和運載火箭發動機。能像飛機一樣在普通機場跑道水平起降。在30千米以上高空,能以5~15倍聲速像飛機一樣在大氣層中飛行;待到達大氣層邊緣時,運載火箭發動機點火,像宇航器在空間軌道上運行。完成任務後返回地面,經維護後重新使用。”
儘管學者對空天飛機的定義可能不同,但有幾個關鍵點是明確的:空天飛機應該是水平起飛,並且有從大氣層內飛入太空的能力。
因此,從任何一個角度來看,由火箭垂直髮射的X-37B也不是“空天飛機”,説是“無人航天飛機”或者“可重複使用的無人航天器”更為準確。

X-37B(OTV-6任務)發射 | 圖片來源:ULA
問:X-37B真是高超音速武器嗎?
根據筆者的考證與猜測,這個問題的提出是源於X-37B的前身——X-37驗證機的一個技術指標:“X-37能夠在25倍音速(25馬赫)的環境下運行,並在太空和再入大氣層的惡劣環境中測試技術”。
這是NASA馬歇爾中心在2003年發佈的一份資料中表述的。
也許在2003年以後,人們就已經對X-37系列航天器的真實用途展開了猜測,相關的描述也確實令人浮想聯翩。尤其是在最近幾年我國高超音速武器獲得重大進展後,人們可能會結合25馬赫這個指標,把X-37B和美國DARPA的Falcon系列高超音速飛行器聯繫起來。

Falcon高超音速驗證機系列 | 圖片來源:DARPA
但很遺憾的是,這是一種誤讀。NASA的説法很明白,X-37驗證機要經受的環境是軌道飛行和再入大氣層。
軌道飛行是指飛行高度高於100~120千米的馮卡門線,在馮卡門線以上的高度,空氣極為稀薄,馬赫數這個概念當然不適用,對航天器的影響主要是長時間的阻力累積。
再入大氣層很好理解,返回式衞星、載人飛船、航天飛機在回到地面前都要經歷這個過程,X-37B也不例外。但是這個過程是“一錘子買賣”,並不是像高超音速武器那樣有一個“拉起”,或者“打水漂”的過程。

美國HTV-2高超音速飛行器飛行流程 | 圖片來源:DARPA
迄今為止,X-37B總共執行了6次任務,全部是軌道飛行任務,時長從半年到兩年不等。從X-37B的別稱“軌道測試飛行器”(Orbital Test Vehicle, OTV)也能看出端倪——X-37B是為軌道飛行準備的,而非臨近空間高超音速飛行。
最後,從波音X-37B的總工程師Arthur Grantz於2011年發表的文章來看,X-37B及其原型機的設計初衷,是由於航天飛機的軌道飛行時間只有10天左右,無法完成許多需要長時間留軌並返回地面的試驗。隨着航天飛機退役,聯盟號飛船在搭載宇航員後的額外運載能力有限,這種能力缺口變得尤為明顯。
在X-37B的設計中,研究人員也將其與航天飛機,而不是高超音速飛行器對比:

X-37B是一種很好的熱防護驗證平台 | 圖片來源:Arthur Grantz@Boeing
因此可以説,X-37B確實不是一種高超音速武器。
問:X-37B真是太空戰鬥機嗎?
要回答這個問題,我們先要看一看太空戰鬥機與大氣層內戰鬥機的區別。
説起戰鬥機,我們首先想到的,可能是殲-20或者F-22這樣的飛機,它們擁有卓越的氣動設計,澎湃的動力,先進的飛控,強大的雷達,還能夠像鬼魅般在敵方雷達體系中潛行。

F-22戰鬥機 | 圖片來源:Rob Shenk
這樣的戰鬥機,能夠輕易改變自己的飛行軌跡和飛行姿態,在戰鬥中搶佔先機。
但太空戰,是一個完全不同的領域。
在地球軌道上,任何物體的軌道都可以大體看做與地球引力中心的“二體問題”,會有各種小擾動,但是大差不差。航天器的地球軌道可以用六個軌道根數完全表徵,又叫軌道六要素。

圖片來源:彭成榮@中國空間技術研究院
看起來很複雜,其實對太空戰鬥機來説,核心只有一個:太空作戰有自己的軌道,活動範圍在幾千到幾萬千米,想要改變軌道就要付出很大的代價。
與此相比,大氣層內戰鬥機的活動範圍只有幾十到幾百千米,還可以充分利用大氣層產生升力。
大氣層內戰鬥機是戰術武器,而太空戰鬥機的活動範圍,是戰略級別的。
自由是要付出代價的。
物理定律將太空戰鬥機自由機動、自由改變每一個軌道根數的代價都標好了價格。
這個價格就是ΔV——速度增量。每一次獲得速度增量,都會根據太空戰鬥機的質量轉化為推進劑消耗,並最終累加到發射成本上。
對於改變軌道高度,改變在軌道面內位置等常規操作而言,太空戰鬥機和普通衞星並沒有差別。
而對於改變軌道面與地球赤道面夾角——軌道傾角,則需要很大的速度增量,只能在大氣層外飛行的普通衞星就要消耗巨量的推進劑。
也許太空戰鬥機可以飛入大氣層,巧妙利用大氣阻力完成軌道傾角的轉變?
我國科學家曾經專門對此進行了模擬仿真,用的就是X-37B的氣動模型。

圖片來源:左光(等)@北京空間技術研製試驗中心
結果,大氣變軌所需的速度增量反而比普通衞星還多。

圖片來源:左光(等)@北京空間技術研製試驗中心
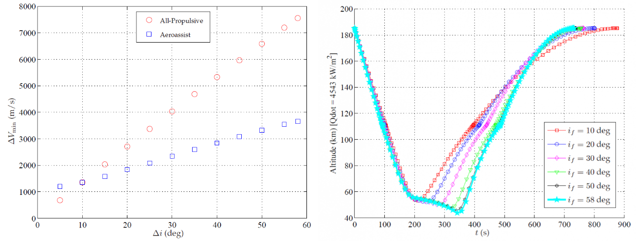
當然,根據美國的文獻,在傾角改變量大於10度時,氣動變軌是可以優於傳統衞星的衝量變軌的。

圖片來源:Anil V. Rao(等)@University of Florida
但仔細一看,氣動變軌所需的速度增量依然在1000m/s以上,這對於X-37B的小身板來説,實在是太難為它了。
問:X-37B是不是太空轟炸機,往其他國家扔核彈頭?
X-37B確實像航天飛機一樣,有一個貨艙,可以帶一些設備,比如太陽帆板、機械臂之類。

X-37B的貨艙 | 圖片來源:NASA馬歇爾中心
甚至,X-37B在試驗任務中,也確實在軌釋放過若干小衞星。
但X-37B還是需要傳統的運載火箭發射,發射準備時間是以天為單位的,既不能與大洋深處潛伏的潛射洲際導彈相比,也不能與大山深處神出鬼沒的陸基機動洲際導彈相比——它們的準備時間是以小時,甚至分鐘計算的。

DF-41洲際導彈 | 圖片來源:張豪夫@新華社
退一步説,X-37B從整備到發射入軌,再到飛越敵國進行打擊,所需時間有多長姑且不論,其隱蔽性是非常差的。
舉個例子,美國保密程度極高的鎖眼系列偵察衞星,就曾經被有心的天文觀測者拍攝下來:

天文望遠鏡捕捉的KH-12衞星 | 圖片來源:Ralf Vandebergh
一般的天文觀測者都可以做到,更何況航天大國。
只要X-37B入軌,它的軌道就能被確定下來,它可以隨便變軌,但是想重新確定它的軌道也不是什麼難事。在現代天文跟蹤觀測體系下,直徑10釐米的空間碎片都能被準確跟蹤編目,更不用説X-37B了。
對了,發現就意味着摧毀。
説句有冒犯性的話,打X-37B軌道的目標,連印度都能做到。

2019年印度反衞星試驗 | 圖片來源:印度政府
再退一步,就算X-37B入軌後就能直接對別國進行打擊,那為什麼不用洲際導彈呢?洲際導彈在中段的可偵測性很低,目前中段反導依然是世界性難題。
再退一步,如果美國就想發展一個“軌道轟炸機”,能夠在軌飛行,並且在飛越敵國時發射核彈頭。那為什麼不用大型衞星平台,或者彈道導彈的多彈頭載具平台呢?何必多此一舉,讓“軌道轟炸機”還能返回地面,額外付出再入大氣層所需的防熱代價。
綜上所述,不管是“太空戰鬥機”,還是“太空轟戰機”,對於X-37B而言,都是一種雞肋的屬性。
可以,但沒必要。
X-37B對於中國的啓示
航天飛機曾經是美國航空航天技術的驕傲,是美國的國家象徵。美國開闢了“航天飛機”這個領域,並常年領跑。
但是,技術上的偉大成就無法掩蓋航天飛機沒有達到“降低進入太空成本”這一初衷的尷尬。而14名宇航員的犧牲,更是全人類航天事業的災難。
作為旁觀者,我們對航天飛機的功過成敗有科學、客觀的理解。
作為追趕着,我們對航天飛機及相關技術的先進性也同樣有深刻的認知。
從某種程度上,X-37B可以説是航天飛機的精神續作。
但就像對航天飛機一樣,我們不應該對X-37B有着超越其本身能力的,不切實際的崇拜——就算有,在科學的分析論證下,也會不攻自破。
而在科學技術層面,我們也應當充分認識到中國基礎的薄弱性。
基礎的薄弱是從舊中國繼承而來的,我們沒有辦法改變歷史。
但這也意味着我們應當付出更多的努力,追趕基礎好的“世界領先水平”。
別人掌握的,我們也要掌握。別人已經發展成熟的,我們要更快地追上去,抹平差距。
沒有技術,和有技術不用,不是一回事。
而更進一步,別人沒有掌握的,我們通過創新,也可以掌握,別人沒有的,我們也可以有。
我們也一定會有。

DF-17導彈 | 圖片來源:中央廣播電視總枱
參考文獻
[1].中國大百科全書總委員會《航空航天卷》委員會. 中國大百科全書-第2版[M]. 中國大百科全書出版社, 2009.
[2].夏徵農. 大辭海: 天文學·地球科學卷[M]. 上海辭書出版社, 2005.
[3].George C. X-37 Demonstrator to test future launch technologies in orbit and reentry environments[R]. NASA FS-2003-05-65-MSFC, 2003.
[4].Grantz A. X-37B orbital test vehicle and derivatives[C]//AIAA Space 2011 Conference & Exposition. 2011: 7315.
[5].彭成榮. 航天器總體設計[M]. 中國科學技術出版社, 2011.
[6].左光, 和宇碩, 石泳, 等. 類 X-37B 飛行器氣動力輔助異面變軌性能研究[J]. 航天返回與遙感, 2017, 38(4): 36-46.
[7].Walberg G D. A survey of aeroassisted orbit transfer[J]. Journal of Spacecraft and Rockets, 1985, 22(1): 3-18.
[8].Rao A V, Scherich A E, Cox S, et al. A concept for operationally responsive space mission planning using aeroassisted orbital transfer[C]//2008 Responsive Space Conference. 2008.
本文系觀察者網獨家稿件,文章內容純屬作者個人觀點,不代表平台觀點,未經授權,不得轉載,否則將追究法律責任。關注觀察者網微信guanchacn,每日閲讀趣味文章。