2020上半年浪潮AI服務器市佔率53.5%
北京2020年10月29日 /美通社/ -- 日前,IDC發佈最新一期《2020H1中國AI加速計算報告》。報告顯示,2020年上半年,浪潮AI服務器銷售額達6.88億美元,市場份額佔比達53.5%,同比2019上半年提升3.3個百分點。

日前,IDC發佈最新一期《2020H1中國AI加速計算報告》。報告顯示,2020年上半年,浪潮AI服務器銷售額達6.88億美元,市場份額佔比達53.5%,同比2019上半年提升3.3個百分點。
在線經濟爆發,產業AI化進程加速
AI算力的提升一直是驅動人工智能快速發展的重要因素。報告指出,用於AI算力的投資仍將是各個公司發展AI的首要支出。IDC預測,2020年中國AI整體市場規模將達 62.7美元,同比增長37.2%。其中AI基礎設施(含服務器、存儲、網絡)市場規模達到39.3億美元,同比增長26.8%,在總體份額中的佔比將超過6成。
從行業維度看,互聯網仍然是最大的細分市場。由於疫情期間在線教育、在線辦公、無接觸物流、短視頻等應用場景的爆發式增長,2020年上半年互聯網市場同比增幅高達105.1%,整體份額佔比大幅提升14.5個百分點達57.9%。除互聯網以外,2020年上半年規模前五的行業分別為政府(12.6%)、服務(9.0%)、通信(4.8%)和教科研(4.4%)。而從增速來看,增速最快的5個行業分別為交通(962.1%)、公共事業(342.1%)、媒體(105.9%)、互聯網(105.1%)和通信(90.4%)。
目前,AI行業應用落地趨勢正在逐步加速,特別是自去年底以來,受新冠疫情的影響,很多傳統行業更加深刻地意識到人工智能、大數據、5G等技術的重要性,促使各企業加大對於IT基礎架構的投資。此外,在國家產業政策層面,政府倡導的新基建拉開序幕,人工智能、5G、大數據等業務板塊又迎來新風口,智算中心的產業投資,這將給各廠商帶來更多的發展機會。
浪潮AI算力全面創新,全棧AI優勢明顯
針對智慧時代算力需求和最新發展趨勢,浪潮前瞻提出智算中心,並圍繞智算中心生產算力、聚合算力、調度算力、釋放算力這四大關鍵作業環節持續創新:在生產算力層面持續打造業內最強最全的AI算力機組;在聚合算力方面打造更高效率更低延遲硬件加速設備與優化軟件棧;在AI算力調度層面通過高效AIstation算力調度平台加速AI創新與生產交付;在釋放算力層面通過AutoML Suite為人工智能客户與開發者提供快速高效開發AI模型的能力。
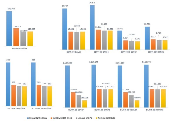
作為全球領先的AI算力供應商,浪潮擁有業內最強最全的AI計算產品陣列:其中浪潮NF5488A5是全球首款在4U空間內支持8塊安培架構A100芯片實現NVLink高速互聯的AI服務器,在全球權威AI基準測試MLPerf中,一舉創造18項全球性能紀錄,在Resnet50推理任務測試中,以54.9萬/每秒的全球服務器最好成績,同比19年紀錄提升3倍;此前,NF5488A5在今年7月公佈的MLPerf訓練榜單中,在Resnet50訓練任務中,僅用時33.37分鐘就完成了ResNet50模型基於ImageNet 數據集的訓練任務,單服務器性能成績高居榜首。同時,在推動算力多元化層面,率先推出MX1全球首個AI開放加速系統,可支持多家不同型號的AI芯片直接更換。


各服務器MLPerf AI推理性能對比
同時,AI生產調度過程中,算力資源調度管理和AI算法優化能力同樣重要。在AI資源管理調度層面,浪潮AIStation企業級人工智能開發平台,全面支持訓練與推理兩大環節,實現從模型開發、訓練、部署、測試、發佈的全流程一站式高效交付,幫助用户獲得300%的開發效率提升;在自動機器學習領域,浪潮AutoML Suite可實現企業級一站式模型自動構建,支持本地化和雲端部署、並行高效模型搜索,全面支持圖像分類/迴歸/目標檢測CV場景應用,模型大小與計算量極致壓縮。經過AutoML Suite自動生成的AI算法模型,實戰表現超出專家模型水平。此外,在AI算法創新層面,最新研發成功的AI大模型計算框架LMS,可將NLP智能語言模型參數規模突破73億,相比業界主流水平提升20倍以上。
元腦生態多點開花,加速產業AI普惠
在生態力佈局上,浪潮與具備AI功能開發核心能力的科技公司,以及具備實施AI整體解決方案能力的SI、ISV共建“元腦生態”,聚合了最強的AI算力平台、最領先的AI算法模型能力和最優質的集成部署和服務能力,有力支撐和加速各產業與人工智能的快速融合,使之具備可感知、自學習、可進化的能力,最終幫助產業用户完成業務智能轉型升級。
目前,浪潮攜手元腦左右手夥伴已經在金融、鐵路、電力、交通、智慧城市、石油石化等行業領域實現了產業AI化落地,大大促進了各行業的產業AI化轉型升級。
消息來源: 浪潮