對它唱首歌,它就“活”了!? | 正經玩_風聞
中科院物理所-中科院物理所官方账号-2021-01-23 15:35
不知道大家還記不記得《功夫》中包租婆的獅吼功
那一嗓子,分分鐘把樓都掀翻
害,誰不想有蓋世神功呢
奈何骨骼不夠清奇啊
不過,只要方法用對了
或許聲音真能有用武之地?
實驗器材
所標杯、金屬絲、紙杯、小風車、紙環

實驗過程
首先用金屬絲在紙杯下方扎個洞

然後在紙杯邊緣處扎個洞

將金屬絲彎一個直角
然後依次穿入紙杯的洞中

將紙環穿入金屬絲中

然後對着紙杯“高歌一曲”

發現紙環轉動了起來
用小風車會有什麼不同呢?

實驗過程
聲帶振動帶動了空氣振動,聲波被杯子聚攏,傳導到鐵絲又使得鐵絲振動。鐵絲振動的時候,會帶動沒有定死的小圓盤一起振動。
小圓盤的振動一開始是沒有規律的。當小圓盤振動的頻率和鐵絲振動的本徵頻率耦合時,會產生共振。對於這個頻率,小圓盤會做圓周運動。
大家可以嘗試一下,如果改變聲音的高低,即聲帶振動的頻率,鐵絲振動的頻率也會改變,這時耦合就會消失,小圓盤不在旋轉。
共振這一現象是我們在學習物理的過程中很早遇到的概念,當兩個頻率相同方向相同的振動相互疊加時,振動的幅度會最大。

共振
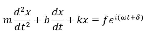
當一個物體受到某一頻率的外界力所驅動時,它的運動方程為:

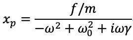
對於這一非齊次二階常微分方程,我們只考慮穩態:

其中,

為其共振頻率,

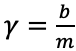
為其粘滯係數。
可以看出,當外部頻率接近共振頻率時,振幅會迅速增大。

對於轉動方程來説過程是一樣的。我們只需做一些簡單的替換,將質量改為轉動慣量,位移改為轉動角度,當外部驅動頻率接近共振頻率時,小風車便會快速的轉起來。
通常一個體系中的振動與轉動並非相互獨立的,它們會存在一些耦合作用。比如兩個彈簧連接的物體圍繞着他們的質心旋轉時,可能會產生旋轉聯振的情形,導致體系旋轉的的角速度發生振盪,所以直升機的設計中必須包含減震裝置,否則旋轉聯振會引起螺旋槳的速度振動導致災難的發生。
你,願意和小編產生共振嗎?

參考資料:
《Quartz Crystal Tuning Fork in Superfluid Helium》
Wikipedia