用電磁軌道發顆衞星玩玩?_風聞
观察者网用户_244575-2021-03-31 08:44
電磁軌道炮原理
HowStuffWorks(知名科普網站)
電磁軌道炮使用洛倫茲力取代傳統的發射藥,產生巨大的動能將彈丸投射出去。現階段這種大殺器雖然還沒有正式列裝,但是中美兩國成功實驗的好消息不斷傳來。
聽説軌道炮炮口初速達到了驚人的3500 m/s,民間的科技小達人們突然來了精神,這不是已經接近第一宇宙速度的一半了,不如我們調整炮口,再加一把力,用來發衞星吧!

上海磁浮官網宣傳圖
電磁軌道炮,聽上去應該跟磁懸浮原理差不多。暢想一下,如果我們坐在舒適的車廂內,不用承受火箭發射時的劇烈顛簸,不用承擔火箭發射爆炸的風險…

2014年安塔瑞斯火箭發射失敗
Wikipedia
下面我們就來規劃一下實施細節。
首先,定一下發射場選址吧。考慮到軌道長度應該是幾千米量級,不如我們在珠穆朗瑪峯中心鑽個深井,這樣軌道就有良好的支撐,運氣好還能直接用上三峽的水電…

科拉超深井,12262米
未知來源
又或者我們修在馬裏亞納海溝,整個發射裝置浸泡在海水中,良好的冷卻…

美國海軍特種作戰中心於2008年1月試射電磁軌道炮
Wikipedia
考慮到在這兩個選址的高(深)度,我們的軌道長度定在8km比較合適。
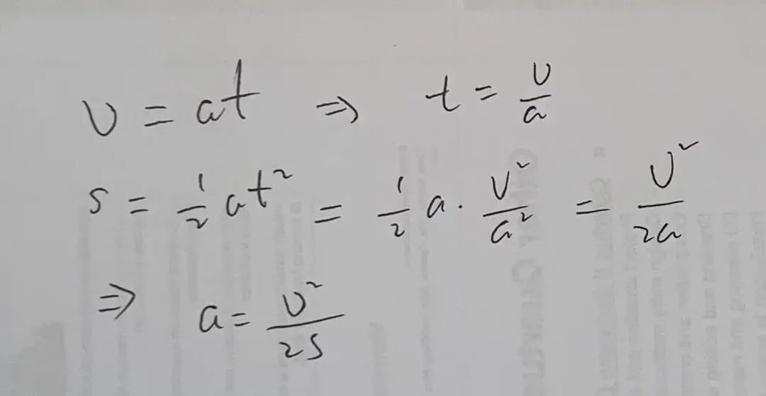
下面小編就用自己僅有的中學物理知識做點計算,看看這個軌道的可行性…

電磁軌道原理示意圖
HowStuffWorks
電磁軌道發射依靠的洛倫茲力,F = i * L * B;
No,這有點超綱了,我們還是把模型簡化,用牛二定律來計算,並且忽略效率,假設軌道是真空,假設衞星出了軌道以後的空氣阻力可以忽略,假設軌道內全程勻加速,假設….
總之就是一切從簡。


先來兩個基本公式,然後初速度u為0,化簡得到速度、加速度與軌道長度(加速距離)的關係:

還是手寫來的快
代入第一宇宙速度7.9km/s和軌道長度8km,得到加速度是驚人的:
3900.6 m/s^2
或許這個數字你還沒什麼感覺,但是想想重力加速度只有9.8 m/s^2,也就是説8km軌道里,衞星要持續承受400g的加速度。
要知道,一個出色的戰鬥機飛行員在下面這種特製抗荷服的輔助下,才能挺過10g的加速度。

航展上展出的殲擊機飛行員防護套裝
中航新聞網
能否承受加速度的問題先放在一邊,我們再計算一下產生如此巨大加速度所需要的功率。(同前,一切簡化)
一頓猛如虎的操作後,小編把幾個公式都列入Excel,這樣就可以迅速調整變量,快速計算了。

全都是中學物理簡化公式
計算所得,8km電磁軌道所需要的功率是驚人的:
15GW
這個單位(GW, 10^9瓦特)估計生活中很難遇到,經過查閲資料我們得知三峽的峯值發電功率是9.8GW。


三峽外景圖以及內部巨大的發電機(這大傢伙一共有32台)
有小夥伴説了,你忽略了地球自轉線速度。好,那我們就填入上述Excel計算器,計算得到加速度降為358g;持續功率降為13.2GW,節省了約1/4個三峽的電力。
又有小夥伴説了,不如把人浸入深海液體,用120g的加速度發射,代入上表計算得到:軌道長度需延長到24km,發射功率也下降到了4.4GW。
為什麼會有這麼驚人的加速度出現?通過計算我們會發現,受限於軌道長度,持續加速時間只有約2秒,而常規化學燃料火箭發射時推進器工作時間往往在2分鐘左右。
篇幅所限,本文就不展開討論為建成上述軌道炮,需要什麼樣的儲能裝置,多粗的軌道,甚至需要什麼樣的導線將他們連接起來。開過電動車的小夥伴們應該有印象,幾十kW的充電線已經像胳膊一樣粗了,15GW恐怕得幾十米直徑了..

美國海軍特種作戰中心於2008年1月試射電磁軌道炮
Wikipedia
最後來一張軌道炮發射時的實景,這場景恐怕誰也不想坐在彈頭裏吧。
本文創意源自某羣的一次討論,小編才疏學淺,錯誤紕漏在所難免。
『天文時刻』 牧夫出品
微信號:astronomycn

哈哈,我也不知道這個圖是啥意思,就是樂呵一下