Cell重磅!斯坦福團隊開出基於發酵食品的“保健處方”_風聞
中国生物技术网-中国生物技术网官方账号-2021-07-13 14:19

常言道:人如其食。越來越多的研究證實腸道微生物組(即腸道菌羣)無時無刻都在塑造我們的身體,進而影響免疫系統和整體健康。這就是在告訴我們:吃得健康,人就健康;反之亦然。已知飲食可以在短期內引起腸道菌羣發生巨大改變,而特定類型的飲食會對腸道菌羣的組成產生可以預見的有益或有害影響。那麼,針對菌羣的飲食策略是否可以成為對抗慢性炎症疾病的一種方法呢?
北京時間7月13日,發表在Cell 上的一項最新研究中,來自美國斯坦福醫學院領導的研究團隊通過兩種飲食干預臨牀試驗以及廣泛的免疫分析發現,富含發酵食品的飲食具有增強腸道菌羣多樣性以及減少炎症標誌物的潛力。這項研究強調了將飲食干預與免疫和微生物組分析相結合,以提供個性化策略的見解。該研究還表明發酵食品可能是人體微生物組免疫系統的強大調節劑,並可能為對抗非傳染性慢性病提供一條途徑。

研究通訊作者、微生物和免疫學副教授Justin Sonnenburg博士説:“這是一個驚人的發現,它提供了第一個例子,證明簡單改變飲食就可以重塑健康人的腸道菌羣。”
在這項研究中,研究人員把重點放在高纖維和發酵飲食上,因為廣泛的研究都證實這兩種飲食具有潛在的健康益處:高纖維飲食與較低的死亡率有關;而發酵食物有助於保持體重,並可能降低罹患糖尿病、癌症和心血管疾病的風險。

為此,研究人員招募了36名39歲到61歲的健康志願者參與了一項為期17周的臨牀試驗,其中73%為女性,89%的人具有大學以上學歷。他們被隨機分為兩組:一組為高纖維飲食組,一組為發酵飲食組。
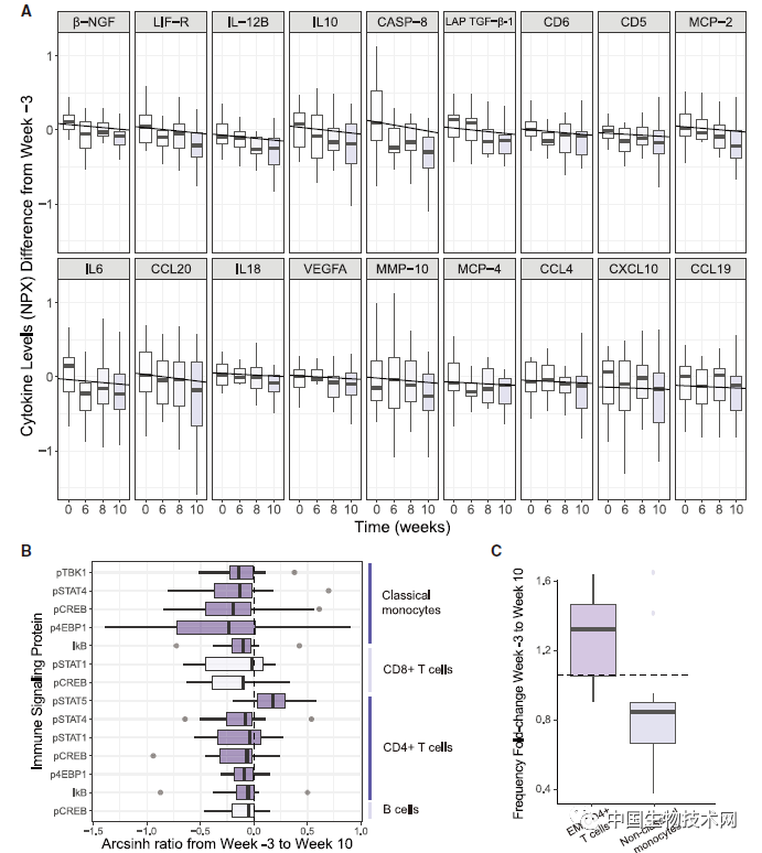
研究人員在為期3周的干預前階段(基線)採集了參與者的血液和糞便樣本;在為期4周的適應期階段,參與者逐漸增加各自飲食的攝入量;然後是6周的維持期,他們保持攝入高水平的纖維或發酵飲食;最後4周的選擇期,參與者可以選擇他們想要吃的食物類型。隨後,研究人員評估糞便樣本的微生物組成、功能和代謝情況。在基線時,兩組參與者腸道菌羣沒有差異。

研究人員根據從參與者的食物日誌中提取的宏量營養素和微量營養素數據確定,兩組均成功增加了纖維或發酵食品的攝入量。重要的是,直到試驗結束,高纖維飲食組的參與者並沒有增加發酵食品的攝入量;發酵飲食組的參與者也沒有增加纖維攝入量。

研究人員分析發現,食用諸如酸奶、發酵乾酪、泡菜、蔬菜鹽水飲料等發酵食物的發酵飲食組參與者雖然每天消耗的發酵食物總份數與alpha多樣性呈正相關,但酸奶和植物鹽水飲料的份數與個體更密切相關。也就是説,與其他類型的發酵食物相比,酸奶和植物鹽水飲料的攝入量更高,可能導致了更強的相關性。與食用高纖維飲食的參與者不同,在發酵飲食組中未觀察到每克糞便中微生物蛋白質的相對丰度增加。

此外,研究人員還確定了19種細胞因子、趨化因子和其他炎症血清蛋白在發酵食品干預期間降低,包括IL-6、IL-10 和 IL-12b以及其他炎症因子。白細胞介素6(IL-6)是慢性炎症的關鍵蛋白,在幾種慢性炎症條件下升高,如類風濕性關節炎、2型糖尿病和慢性壓力等,它是一種常用的炎症標誌物。

研究共同通訊作者、斯坦福預防研究中心營養研究主任Christopher Gardner博士説:“針對腸道菌羣的飲食可以改變免疫狀態,為健康成年人減少炎症提供了一條有效途徑。這一發現在所有被分配到高發酵食物組的研究參與者中都是一致的。”
相比之下,在被分配到富含豆類、種子、全穀物、堅果、蔬菜和水果的高纖維飲食的參與者中,這19種細胞因子均未降低。平均而言,參與者的alpha多樣性也保持穩定。
研究人員表示,高纖維飲食具有更普遍的益處,可以增加腸道菌羣的多樣性。然而這項實驗的數據表明,僅在短時間內增加纖維攝入量不足以增加腸道菌羣的多樣性。
這些發現顯示出飲食對腸道微生物和免疫狀態影響的細微差別。一方面,那些增加發酵食品攝入量的參與者對其微生物多樣性和炎症標誌物表現出了類似的影響,這與之前的研究一致,即飲食的短期變化可以迅速改變腸道微生物組。另一方面,高纖維飲食組參與者腸道菌羣的有限變化與之前關於人類微生物組在短時間內具有普遍恢復力的研究相吻合。
研究結果還顯示,更多的纖維攝入會導致糞便樣本中的碳水化合物更多,這表明腸道微生物未能充分降解纖維。這些發現也與其他研究一致,生活在工業化社會的人的微生物組已經不再有降解纖維的微生物。
研究人員表示,有可能更長的干預時間會讓腸道菌羣充分適應纖維的增加。另外,可能需要特別引入能消耗纖維的微生物來增加菌羣分解碳水化合物的能力。
除了探索這些可能性之外,研究人員還將計劃在小鼠身上進行研究,調查飲食改變腸道菌羣和減少炎症標誌物的分子機制,以測試高纖維和發酵飲食是否會協同影響人的微生物組和免疫系統。他們的另一個目標是研究食用發酵食品是否會減少炎症或改善免疫和代謝疾病患者的其他健康指標,以及孕婦和老年人的健康指標。
Sonnenburg説:“針對腸道菌羣的飲食和補充劑方法還有很多,我們希望繼續研究不同的飲食、益生菌和益生元如何影響不同羣體的微生物組和健康。”
論文鏈接:
https://doi.org/10.1016/j.cell.2021.06.019