疫苗對Delta毒株還有效嗎?美國CDC公開關鍵信息_風聞
医学界-医学界官方账号-为你提供可靠、有价值的内容是我们的存在方式。2021-07-31 21:42
完成疫苗接種後,感染Delta變異株的人羣,與沒有接種的感染者相比,病毒載量無明顯差異。
撰文 | 姜飛熊
當地時間7月30日,美國CDC(以下簡稱CDC)一份關於Delta變異株與疫苗有效性的文件被媒體曝光,隨後,CDC在官網公佈了這份文件的詳情,提示我們:Delta變異株傳播能力極強,突破美國現有疫苗的能力也較其它變異株更強,並且證實了一個讓人擔憂的事實——完成疫苗接種後,感染Delta變異株的人羣,與沒有接種的感染者相比,病毒載量無明顯差異。CDC指出,這些接種過疫苗的感染者同樣具備傳播疫情的能力,並且提出應當改變防疫策略,接種疫苗的人羣也應注意防護,戴上口罩。

美國CDC內部文件
一名Delta感染者可感染8-9人
CDC在文件中指出,目前Delta變異株的傳播能力和水痘差不多,一名感染者可以感染大約8-9人。

上圖中,縱座標代表致死性強度,橫座標代表傳播性強度。從圖中中可以看到,Delta變異株在傳播能力上已經完全與早期的野生型新冠病毒拉開差距,在致死性上,也比野生型有所提高——但是具體提高了多少,實際上仍然在研究當中。
Delta變異株的傳播性不僅強於野生型新冠,也強於SARS、MERS、Ebola、普通感冒、流感和天花。與它有類似傳播能力的水痘,致死性遠遠低於它。
比Alpha變異株更高的病毒載量和重複感染能力
報告中提到,接種完疫苗之後發生突破性感染的患者當中,感染Delta變異株的患者比感染Alpha變異株的患者病毒載量高10倍。且Delta具備比Alpha更高的反覆感染風險,大約為1.46 (95%置信區間:1.03-2.05)倍。
在重症方面,Delta變異株也比Alpha變異株造成更嚴重的後果。需要注意的是,Alpha變異株本身即比野生型變異株在傳播力和致命性上更強,只是對比其他主要變異株,它缺乏免疫逃逸能力。
CDC援引新加坡發佈的數據顯示,相比野生型,Alpha的吸氧(重型)、ICU(危重型)和死亡總風險為1.88(95%置信區間:0.30-14.76)倍,Delta為4.90(95%置信區間1.43-30.78)倍。

新加坡論文的研究數據
CDC援引的加拿大數據則是用Delta與其他N501Y變異株(包括Alpha/B1.1.17, Beta/B.1.351和Gamma/P.1 變異株)進行直接比較,結果依然不容樂觀——統計數據顯示Delta感染和其他三種變異株相比,入院風險是後者的1.55(95%置信區間:1.45-1.63)倍,ICU風險為2.01(95%置信區間:1.79-2.24)倍,死亡風險為1.59(95%置信區間:1.39-1.84)倍。

加拿大論文的研究數據
打疫苗的感染者和沒打疫苗的相比,
Delta病毒載量無差異
CDC內部文件中引爆輿論的最重要消息,恐怕就是打了疫苗之後感染Delta變異株的患者,病毒載量與沒打疫苗的感染者無差異。的確,文件中確實有這麼一段(見下圖),CDC甚至自己加粗了這個“無差異”。

CDC文件原文截圖
這一發現也讓CDC認為接種疫苗後感染Delta的患者,傳播疫情的能力,和未接種疫苗的感染者一樣強。

CDC文件原文截圖
因此,美國CDC提議接種疫苗後的人羣需要加強防疫,戴好口罩,同時從策略層面開始考慮其他防疫措施。
在獲悉這一消息之後,美國部分主流媒體、國際媒體和評論人提出一種擔憂:接種疫苗後的感染者是否會由於接種疫苗,導致無症狀時間更長,同時由於病毒載量並不下降,而更有可能傳染他人。這部分人在接種後放松警惕,也將導致疫情的傳播。
NEJM 發佈的一篇分析突破性感染的論文,也提出了這種觀點——接種者發生突破性感染後,可能在無自知的情況下傳染更多人,尤其是健康情況較脆弱的人。
麻省聚集性突破性感染暴發詳情,
住院病例80%完成接種
隨後,CDC公佈了這一聚集性突破性感染的詳情。

CDC官網文章標題
這一輪聚集性爆發發生在美國麻省Barnstable county,7月期間發生469例感染病例,分析認為與該地區出現的夏季集會有關。
據統計,麻省當地居民疫苗接種率為69%,在本次地方疫情中,469例患者中346例完成了全部接種,佔全部病例的74%。換言之,接種者可能比未接種者感染率更高,這可能是由於接種疫苗者更放鬆警惕導致的。
本次感染患者中,共5人住院,其中4人完成接種,截止7月27日,無死亡病例上報。完成疫苗接種的感染者當中,79%有症狀,CDC文章在討論中提到,可能由於檢測偏差,存在更多的無症狀感染者未被檢出。
CDC統計指出,大規模集會與感染數量上升有相當明顯的關聯,併發布了相應的統計圖表——

上圖中顯示,7月中上旬該地舉行了多起大型公共集會,至7月中旬開始,感染病例數量才逐漸開始升高,集會開始時間和感染數量大幅度上漲之間存在一定的時間差(在這個案例中大約為10天)。圖中淺色部分代表完成疫苗接種的病例數量,深色部分代表未完成接種、未接種或者接種情況不明的病例。
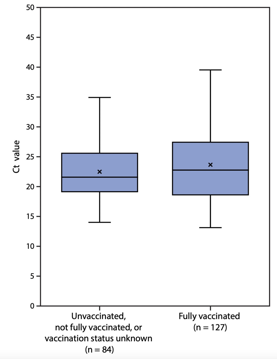
對127名完成接種的感染者和84名未完成接種、未接種(至少65人)和情況不明的感染者檢測發現,雙方的病毒載量無明顯差異。

雙方的循環閾值(Cycle threshold)無明顯差異性,即病毒在二者體內達到閾值的複製次數無差異
對於這種狀況,目前CDC未公佈同樣的病毒載量是否影響疾病發展或是否影響長期後遺症等,也未解釋為何接種疫苗後感染,與未接種者有同樣的病毒載量。並且認為這份報告暫時無法對疫苗是否能有效抗擊新冠病毒變異株(包括Delta)做出結論。
參考文獻:
[1].Outbreak of SARS-CoV-2 Infections, Including COVID-19 Vaccine Breakthrough Infections, Associated with Large Public Gatherings — Barnstable County, Massachusetts, July 2021U.S. Department of Health and Human Services Centers for Disease Control and Prevention
[2].Progressive Increase in Virulence of Novel SARS-CoV-2 Variants in Ontario, Canada doi:https://doi.org/10.1101/2021.07.05.21260050
[3].Clinical and Virological Features of SARS-CoV-2 Variants of Concern: A Retrospective Cohort Study Comparing B.1.1.7 (Alpha), B.1.315 (Beta), and B.1.617.2 (Delta) . https://dx.doi.org/10.2139/ssrn.3861566
[4].Covid-19 Breakthrough Infections in Vaccinated Health Care Workers. July 28, 2021. DOI: 10.1056/NEJMoa2109072