日本女性人均壽命又全球第一,Nature調查:原來壽星佬兒的腸道能自產“抗菌劑”_風聞
中国生物技术网-中国生物技术网官方账号-2021-08-06 13:53

上週,日本厚生勞動省公佈的最新簡易生命表顯示,2020年日本人均壽命:女性87.74歲,男性81.64歲,均刷新了歷史最高紀錄。此次,日本女性平均壽命自2014年以來重回世界首位,男性位列世界第二。如果包含地區在內,中國香港連續兩年男女平均預期壽命分列世界第一,但由於世界衞生組織把統計標準變更為“國家”,因此,日本女性此次排名世界第一 。
與去年相比,日本女性平均壽命增加了0.30歲,男性增加0.22歲,均實現連續九年延長。而且,日本百歲老人在去年已經突破8萬人大關,達到80450人。其中,女性有70975人,佔到88%。
對人類而言,成為一個健康的百歲老人才算是真正意義上的人生贏家。那麼,到底是什麼不為人知的“秘密”讓這些人能活成“人生贏家”呢?
近日,發表在Nature 上的一項研究中,來自日本慶應大學和美國麻省理工學院-哈佛大學布羅德研究所領導的研究團隊調查了160名百歲老人後,發現了其中的“秘密”:能讓這些老人長命百歲的是他們獨特的腸道菌羣,產生了獨特的化合物,幫助抵禦感染和其他環境壓力並最終促進長壽。

普遍觀點認為,長壽的秘訣已“寫”在個體的基因裏。然而實際上,遺傳在長壽中所佔的比例不到30%,這就為許多其他隨時間變化的因素敞開了大門,包括飲食、生活習慣和人際關係等,現在看來,還包括腸道菌羣!腸道菌羣涉及人體健康的方方面面,因此,這種因果關係是合情合理的。
眾所周知,被稱為人類“第二大腦”的腸道微生物組(菌羣)與各種人類疾病如癌症、心血管疾病、2型糖尿病、肥胖症和高血壓,以及老年痴呆症和精神類疾病等密切相關。因為腸道菌羣直接影響腸道中引發疾病的促炎反應和對抗疾病的抗炎反應間的平衡。健康的腸道生態系統一定是平衡且互惠互利的狀態;反之,則會表現出各種健康問題。

研究腸道菌羣的魅力就在於,科學家們找到健康長壽的“樣板”菌羣后,摸清它們的組成與功能,然後去糾正那些失衡的菌羣,從而預防或治療疾病,並最終改善人體健康。
儘管這個想法聽起來非常吸引人,但俗話説:“機制不明,腸道菌羣”。腸道菌羣是一個巨大的生態系統,既非常複雜,又特別敏感。諸多研究表明,飲食的改變可以在幾天內迅速改變個體腸道菌羣的組成。或帶來疾病,或帶來健康。
一般來説,百歲老人不太容易患上與年齡有關的慢性疾病,而且在某種程度上他們也有能力抵禦傳染病。這或許就是他們的腸道菌羣幫助了他們。
與普通人相比,百歲老人是健康老齡化的一個極端例子,所以他們一定是做了正確的事情才有了不一樣的腸道菌羣,並最終成為“人生贏家”。
在這項研究中,研究人員從日本各地招募了160名平均年齡為107歲的百歲老人,將他們糞便樣本中的細菌羣落與另外112名85至89歲老人,以及47名較年輕參與者(21至55歲)的腸道細菌羣落進行了比較。
研究人員發現,雖然一些百歲老人表現出了典型的衰老跡象,比如輕微的炎症,但他們中的大多數人沒有肥胖、糖尿病、高血壓和癌症等慢性疾病。
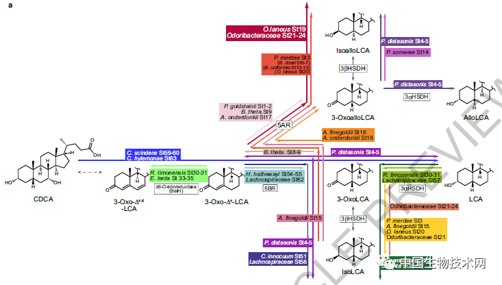
通過分析三組人的腸道菌羣組成後,研究人員注意到百歲老人腸道中含有一類能產生次級膽汁酸的獨特細菌尤為豐富,但在在其他兩組參與者中並不突出。

**這種細菌的一個重要特性是可以通過一條生物合成途徑,產生一組特有的次級膽汁酸,包括石膽酸(LCA)及其衍生物3-oxoLCA和isoalloLCA。**而且,isoalloLCA 的生物合成途徑以前從未被描述過。

通過從一位百歲老人的糞便菌種中篩選了68株細菌分離物,研究人員鑑定出腸道有益菌Odoribacteraceae。通過體內和體外試驗,他們發現Odoribacteraceae可以有效產生isoalloLCA 。
在1到2年的縱向樣本中,百歲老人糞便代謝的脂肪酸譜和腸道細菌類型是穩定的。
然而,這項研究沒有考慮老人們的生活方式因素,例如飲食,所以研究人員還不能確定到底是什麼導致了他們的腸道菌羣的獨特性。
在進一步的實驗中,研究人員證明了isoalloLCA****可以抑制實驗室培養的艱難梭菌的生長。
艱難梭菌(Clostridium difficile)是一種常見的腸道細菌,會導致嚴重的腹瀉和結腸炎症。研究人員用這種細菌感染小鼠後,在它們的飲食中僅添加0.1%的isoalloLCA,就能顯著減輕有害細菌造成的感染。

目前看來,IsoalloLCA****是對革蘭氏陽性細菌(包括耐多藥的病原體)具有選擇性的最有效抗菌劑之一。研究人員甚至建議,像Odoribacteraceae這種能產生IsoalloLCA的菌株,可以用來幫助我們保持良好的腸道健康,一直到老。
但他們也表示,還需要進一步的研究來驗證膽汁酸與長壽的關係。
論文鏈接:
https://www.nature.com/articles/s41586-021-03832-5