JAMA子刊:“每日小酌”與“週末豪飲”,究竟哪個更致癌?_風聞
推医汇-汇聚健康行业资讯,推动学术交流。2021-08-24 17:35
胃腸道是最容易受酒精影響的器官之一,流行病學證據顯示,飲酒與食道、結直腸和肝臟癌症的風險有關,同時也與胃癌和胰腺癌的高風險有關。但有關飲酒與膽道癌的關係尚不清楚。

儘管飲酒方式因人而異,但飲酒模式與癌症風險之間的聯繫尚未得到評估。有些人每天喝1到2個單位的啤酒、葡萄酒或威士忌,而其他人只在週末在酒吧或聚會上喝幾杯。然而,大多數流行病學研究只關注總的酒精攝入,而缺乏關於飲酒模式的頻率和其他方面的數據。例如,1周內每天1個單位和1個晚上7個單位都會產生1周內每天1杯的平均消費量。

一項研究報告説,飲酒頻率的增加與男性結腸、口腔、咽、喉、肝和食道癌症的風險增加有關,但女性則相反。該研究還受限於較小的結果發生率,限制了對個別癌症的統計能力。因此,尚不清楚飲酒的頻率或每次飲酒的數量哪一個更重要。
為了評估飲酒頻率和每次飲酒量與消化道癌症發展的相對關係,來自韓國首爾大學的流行病學專家開展了相關研究,結果發表在JAMA Network Open雜誌上。

這是一項基於人口的回顧性隊列研究,使用了韓國國家健康保險系統數據庫的數據,這些數據來自2009年1月1日至2010年12月31日接受國家健康檢查計劃的11,737,467名無癌症參與者。參與者從健康篩查日期的第二年開始隨訪,直到他們消化道癌症的診斷、死亡或2017年12月31日。
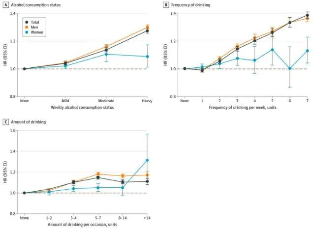
暴露因素是每週飲酒量(非飲酒者[0克/周],輕度飲酒者[0-104克/周],中度飲酒者[105-209克/周],和重度飲酒者[≥210克/周]),飲酒頻率和每次的量。隨訪時間的中位數是6.4年(四分位數範圍,6.4-7.4年)。

頻繁飲酒與偶發暴飲與胃腸道癌症風險的關係
在11,737,467名參與者中(6124776名女性[52.2%];平均[SD]年齡,54.6[10.4]歲),最終有319202人(2.7%)患消化道癌症。與不喝酒的人相比,輕度飲酒的人患消化道癌症的風險高4%(aHR=1.04;95% CI,1.03-1.05),中度、重度飲酒的人則分別高14%與28%(aHR=1.14,95% CI,1.12-1.15;aHR=1.28;95% CI,1.26-1.29)。
同時,胃腸道癌症的風險以劑量依賴的方式隨飲酒頻率線性增加,其中每天飲酒增加39%的風險(aHR=1.39;95% CI,1.36-1.41)。相比之下,消化道癌症的風險似乎隨着每次消費達到5至7個單位才增加15%(aHR=1.15;95% CI,1.14-1.16)。

根據酒精攝入量模式的胃腸道癌症風險
然後對於那些每次攝入量高於5至7個單位的人來説,風險沒有增加(每次8-14個單位:aHR=1.11;95% CI,1.09-1.12;每次>14個單位:aHR=1.11;95% CI,1.08-1.14)。在類似的每週飲酒水平下,消化道癌症的風險隨着飲酒頻率的增加而增加,且6種特定癌症的風險模式與所有消化道癌症的風險模式基本相似。
在這項隊列研究中,頻繁飲酒是發生消化道癌症的一個更重要的風險因素,而不是每次飲酒的量。
小酌怡情但也傷身,無論什麼酒,能少喝則少喝。
我國對居民飲酒量也有明確的推薦:日均酒精攝入量不宜超過25克,最好不超過15克。
參考文獻:
Association of the Frequency and Quantity of Alcohol Consumption With Gastrointestinal Cancer. JAMA Netw Open. 2021;4(8):e2120382. doi:10.1001/jamanetworkopen.2021.20382