研究發現:平均每天閲讀30分鐘,能多活2年!_風聞
推医汇-汇聚健康行业资讯,推动学术交流。2021-08-27 17:40
“活到老,學到老。”這句朗朗上口的俗語出自於“雅典第一詩人”梭倫之口。在我們年輕時,學是為了理想,為了安定生活;到達中年時,學是為了補充空洞的心靈;老年垂暮時,學則是一種意境,慢慢品味,自樂其中。
學習自然少不了看書,古人云:“書山有路勤為徑,學海無涯苦作舟。”沒有止境地閲讀,是每一個向上者必要的。人要想不斷地進步,就得活到老學到老。知識就是力量,只要你堅持不懈地閲讀,你就越有知識,也就越有力量。

值得高興的是,科學家們發現,“閲讀更容易活到老”。當你平均每天閲讀30分鐘的書籍,就有機會多活2年!
一篇由耶魯大學公共衞生學院發表在《Social Science & Medicine》(社會科學與醫學)期刊上的文章“A chapter a day: Association of book reading with longevity”,長達12年的研究數據表明讀書有助於更長壽。

早在1996年,科學家們就想探究閲讀是否會降低死亡風險,然而一系列研究報道卻顯示出兩個極端的結果,一些人發現閲讀沒有降低死亡風險,後則有一些報道則説閲讀降低死亡風險。後來才發現這些結果受到“久坐行為”的影響,而“久坐行為”是老年人死亡的公認風險因素。
此項研究由國家老齡化研究所支持,美國密歇根大學社會研究所收集,研究隊列來自健康與退休研究(the Health and Retirement Study,HRS)項目。自1992年以來,HRS每兩年會50歲以上的成年人進行一次全國電話調查。
研究人員從2001年開始收集研究數據集至2012年12月31日,最終納入研究人羣包括3635位健康的50歲以上的老人,其中有62%的人羣是女性。
將納入研究的人員分為三個組,分別為:沒有閲讀,每週閲讀0.01-3.49小時,每週閲讀3.5小時以上。
為了避免跟先前的研究一樣受到各種混雜因素的干擾,研究納入了跟閲讀或者生存相關的協變量,包括個體患病情況(如癌症,心臟病,高血壓,糖尿病等)、財富、種族、性別,教育程度,抑鬱等。
經過矯正所有納入的協變量,最終結果發現閲讀書籍與生存優勢(survival advantage)顯著相關。與沒有閲讀的人相比,每週閲讀0.01-3.49小時的死亡率降低了17%!每週閲讀3.5小時以上的死亡率降低了23%!

與閲讀書籍相關的生存優勢
如果直接將人羣分為閲讀者和非閲讀者,在生存率為80%的界線可以看到,非閲讀者存活了7.08年(85個月),而閲讀者活了9年(108個月),閲讀者多出了近2年(23個月)的壽命!
讀書有助於長壽,原因是什麼?研究者認為“深度閲讀”能使讀者身臨其境,對外面的世界能夠更好的認知,以及書籍可以提高人的社會感知和情商等。愛好閲讀的人的這些認知過程促進更高的存活率。
為了驗證認知是否參與了閲讀對生存的影響,研究採用了中介分析(Mediation analysis)。

中介分析模型
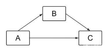
中介分析簡而言知就是研究某個變量是否在另外兩個變量中參與中間人的角色,我們可以將其想象為在租房過程中,中介(B)對於租客(A)和房東(C)的影響。
如果A對B有顯著性影響,同時B對C有顯著性影響,那麼就可以説A與C之間存在由B引起的中介效應。而根據A與C之間的直接路徑是否通順,中介效應又可以分為完全中介效應和部分中介效應。
那麼,認知是否影響讀書和生存的關係呢?我們把相關的變量替換,A——閲讀;B——認知;C——生存。閲讀對認知是有顯著的影響(a:β=0.48,P=0.01),而認知對生存也是有顯著影響(c:β=0.07,P<< span="">0.001),而調整認知後閲讀對生存的影響並不顯著(c’:β=0.21,P=0.1),説明認知在閲讀和生存之間存在顯著的完全中介效應,即閲讀必須通過認知的過程才能影響生存。

認知產生的中介效應模型
同樣是閲讀,閲讀期刊和閲讀書籍有什麼不同嗎?研究還探究了閲讀期刊(報紙和雜誌)是否對生存有影響。結果發現與閲讀期刊相比,閲讀書籍的生存優勢更強。這是因為在閲讀書籍時更容易呈現出人物和主題以及讓人更加投入。這表明並不是所有的閲讀都是具有生存優勢的。
隨着科技的發展,電子書廣泛普及,有聲讀物也非常普遍。閲讀這些是否也會促進生存呢?遺憾的是這些在本次研究中未涉及,研究人員表示這將是進一步的研究方向。
綜上,如果想要更長壽,趕緊把手中的書籍看起來。通過將更多閒暇的時間(看電視,玩遊戲等)轉向為閲讀書籍,將閲讀期刊的時間減少,閲讀書籍的時間增多,讓我們一起“活到老,學到老”吧!
參考資料:
https://www.sciencedirect.com/science/article/abs/pii/S0277953616303689