省委常委羣體浮沉30年: 一份關鍵證據的剖析|文化縱橫_風聞
文化纵横-《文化纵横》杂志官方账号-2021-08-30 22:13

✪ 楊竺松 燕陽 張雪君 張君憶
【導讀】幹部選任是中國政治研究的重要議題。其中,省委常委作為“政治家集團”的後備力量,其選拔任用直接關涉國家治理全局。本文在定量分析1983年至2012年全國1563位省委常委的基礎上,發現一些規律性的選任特點:其一,擁有地市黨政一把手任職經歷,始終是一個關鍵因素,這側面印證了“治國先治省、治省先治市”的幹部培育模式。其二,在中央機關和國家部委官至副省級者,晉升幾率更大,這與中央和地方幹部交流制度化、常態化有密切聯繫。其三,擁有高校和科研院所經歷,對省委常委晉升的影響也十分突出,這很大程度上源於幹部知識化專業化的迫切需求。
而從30年跨度看,省委常委晉升的能力導向也發生了多重變化:1983-1992年間,擁有工科、經濟學等特定專業知識和下級地方治理經驗,是晉升能力導向的主要特徵;1993-2002年間,則強調擁有更強的專業知識和專業能力背景,以及更加全面和立體的履職能力結構;2003-2012年間,高度專業化的研究能力在省委常委晉升能力導向中的重要性變得更加突出,同時這一時期對幹部履職能力的結構和厚度提出更高要求。作者認為,儘管很多研究都試圖圍繞“關係”來解釋幹部選用邏輯,但從整體上看,以能力為導向,將個人努力和組織培養統一在“黨管幹部”的根本原則之下,是中國政治精英產生模式的一個重要特徵。
本文原載《政治學研究》2021年第3期,原題為《中國共產黨幹部選任的能力導向——來自省委常委的證據(1983-2012年)》,文章僅代表作者觀點,供諸君參考。
中國共產黨幹部選任的能力導向——來自省委常委的證據(1983-2012年)
幹部的選拔與任用是中國政治研究的核心議題之一。在實踐中,黨對領導幹部的考察十分重視其知識結構和崗位經歷。各省委書記赴任時,中央組織部有關負責同志在當地幹部大會上的講話中頻頻可見“經歷多崗位鍛鍊、領導經驗豐富”,“長期在中央部委工作、視野寬闊”,“具有很高的領導藝術和領導能力”等表述;研究文獻也多將幹部的專業背景、工作經歷視為其綜合能力的具體體現。那麼,如何理解黨的幹部選任的能力導向?黨更需要具備哪些專業背景和履歷積澱的幹部?這些導向和需求在不同時期的具體標準有無變動?
本研究蒐集整理了1983-2012年中國共產黨全國31個省、自治區和直轄市委員會常務委員(下稱“省委常委”)的職業生涯數據,嘗試通過構建離散選擇模型為黨的能力導向的幹部選任模式提供更多經驗證據,增進對改革開放以來我國幹部制度發展的理解。
▍文獻綜述
**長期以來,許多關注中國幹部制度的文獻都試圖利用“關係”來解釋其運行邏輯,諸如“庇護關係網絡”、“派系政治”、“非正式政治”等概念,普遍將獲得某一派系的支持視為領導幹部在政治上更進一步的關鍵。**之後,更多學者開始測量幹部體制中不同屬性的“關係”,並實證檢驗各種“關係”在幹部晉升中的作用。馮軍旗在對河南某縣的田野調查中發現,親屬、同事、同學、老鄉、戰友等關係結構已深深嵌入基層幹部的選拔實踐中,而國外學者利用同鄉、同學、同事三類關係構造的“趨同指數”,亦可用於預測省級官員向更高層級的晉升。不過,關係是否有助於官員晉升與關係的定義和測量方式有關,例如,有學者利用地級市委書記擔任省委書記秘書的工作經歷作為判定其是否擁有政治關係的標準,但實證結果並未顯示秘書經歷有助於市委書記的晉升。總體來看,關係論側重於利用中國官僚體系中廣泛存在的各種非正式網絡來解釋幹部選拔,卻對幹部管理的正式制度缺乏足夠關照。
與關係論相對,政績論則認為地方官員能否被優先提拔的關鍵在於履職績效。薄智躍利用1949-1994年中國2500多位省級幹部的職業生涯數據,證明了省級幹部的政治升遷與所在省域經濟增長密切相關。之後,周黎安進一步提出改革開放後地方官員晉升的錦標賽模式,不過這一理論亦受到質疑:一方面有研究發現,在重新選擇研究樣本、改變變量測量方式或計量模型後,經濟績效與官員晉升間的正向關係可能不再顯著;另一方面隨着中國改革開放的深入,經濟績效本身的相對重要性亦在下降,已有不少研究發現財政、民生以及環保等非經濟領域績效對於幹部的晉升也具有解釋力。**還有一些研究嘗試將“關係論”與“政績論”相結合以期提出更加符合現實的解釋。**例如賈瑞雪等發現,只有突出的經濟績效而沒有“關係”,或者只有“關係”而抓經濟工作乏善可陳,均不利於省級領導的晉升;另一項基於中國省市縣三級黨政一把手政治生涯數據的研究則表明,地方政府層級越低,關係對官員晉升的作用就越小,而經濟績效的作用會越大。總體上看,“政績論”的理論邏輯能夠較好解釋中國改革開放後一定時期內地方官員晉升的現實,但相關研究專注於檢驗各種政績變量的有效性,忽視了對幹部選任過程的深入討論,並且也無法對大量副職幹部的晉升給出有力解釋。
還有一些研究則嘗試跳出關係論和政績論,選擇其他視角來解釋中國共產黨的幹部選任模式。有學者認為,改革開放後幹部離退休制度的建立使**“年齡”成為官員選拔的重要指標。還有學者認為在正式制度安排下,中國政治精英若要完成從基層向國家領導崗位的身份轉變,還存在着所謂的“年齡悖論”,解決的辦法就是官員晉升的“小步快跑”模式,主要表現為共青團路徑、掛職鍛鍊和破格提拔三種方式。此外在基於人力資本視角的解讀中,貝淡寧提出“賢能政治”論,認為中國的幹部體制強調通過自下而上的幹部輸送和自上而下的組織考察將德才兼備的官員選拔出來**,只有那些通過了層層考察激烈競爭和逐級淘汰的幹部才能最終脱穎而出。一項基於勝任力的研究也發現,在共青團及省級政府部門的工作經歷有助於市委書記的晉升,而且這些變量的作用效果要比教育背景變量更顯著;另一項針對省級領導幹部晉升過程的事件史分析則發現,與人文社科專業背景相比,理工科背景對省級幹部晉升的積極作用主要表現在從廳局級副職向省部級副職晉升的過程中,而職業類型的多樣性則對所有縣處級以上幹部的晉升都具有顯著作用。不過,與高級領導幹部相比,有研究發現,縣級政府中的科級幹部進入科級時間早、停留時間長、輪換崗位多,將不利於其政治晉升;另一項針對縣級黨政正職領導幹部的研究也發現,具有較短基層工作經歷的幹部的晉升速度會更快。
綜上所述,黨的幹部選拔實證研究仍存在進一步拓展的空間:首先從研究內容上看,現有文獻尚未充分反映中國幹部選任的現實,對幹部專業背景、工作經歷等方面多元化差異的考慮還有待進一步深化。其次從研究對象上看,已有文獻對佔大多數的“副職幹部”關注甚少,更罕有文獻關注“省委常委”這一重要羣體,這與省委常委在地方治理中的地位並不相稱,亟待補強。最後從幹部管理制度的演進歷程來看,已有研究對於部選任政策的調整,特別是實際執行中具體導向、標準的變化,關注和發掘不足。由此出發,本研究基於1983-2012年間全國1563位省委常委構成的樣本庫開展實證研究,嘗試為中國共產黨以能力為導向的幹部選任模式提供一個更具整合性的解釋框架。
▍省委常委:中共“政治家集團”預備隊
中共十九屆四中全會通過的《中共中央關於堅持和完善中國特色社會主義制度推進國家治理體系和治理能力現代化若干重大問題的決定》,首次對省部級及以上幹部提出“政治家”標準要求,中共十六屆《“兩委”誕生記》則首次在公開報道中將中共中央委員會明確界定為“政治家集團”。而一名幹部進入一個省的核心領導集體即省委常委會,參與一省各方面的治理活動,事實上就相當於進入了中國“政治家集團”的“預備隊”,接受“治國”意義上的政治能力和行政能力培養;此外,也正是從(副)省級黨政負責人的台階開始,地方黨政領導幹部才真正有機會成為中共中央委員會委員或候補委員,從而躋身中國的“政治家集團”。
本研究統計發現:從第十六屆到第十八屆中央政治局,當屆當選前曾在3個省區市擔任省委常委的委員人數從3人增至7人;**從第十四屆到第十八屆中央政治局,委員人均擔任省委常委的省份數也從0.46省/人增至1.96省/人;第十八屆中央委員會中有近三分之二的非軍籍中央委員在當選前曾擔任過省委常委,平均每人曾在0.96個省份擔任省委常委。**這反映了省委常委任職經歷在中共政治家集團成員職業生涯中的重要性,而這種重要性又與省委常委班子在至少兩個方面的重要地位密不可分:
**一是“決策與執行的雙重職責”的功能特點。**省委常委會作為當代中共最高一級地方組織的領導核心,其構成與功能與中共中央政治局常委會相比有所不同。這是由於黨的地方省一級委員會只有常務委員會,而沒有為其“處理日常工作”的類似中央書記處性質的本級“辦事機關”。但同時,黨的地方省級委員會又同樣面臨着研究與決策、執行與落實兩方面的任務,這就要求省委常委會具備“決策與執行的雙重職責”的功能特點:**既要作出重大決策,實現中央政治局常委會之於全黨的功能;又要負責執行落實,實現中央書記處之於中央政治局及其常委會的功能。**這一特點的一個重要印證是省委常委會成員兼任的各項職務集合,與中央政治局常委會成員兼任職務和中央書記處成員兼任職務所構成的“並集”十分相似,而省委常委會的人員規模也比較接近於中央政治局常委會與中央書記處的人員規模之和。
**二是“察全局、謀大事”的決策作用。**省委常委會的領導核心作用還直接反映在其議事決策中。根據有限的文件和訪談獲得的信息,省委常委會所議之事通常是關係一省經濟社會發展、帶有根本性和全局性的大事,主要包括:傳達並根據本省實際情況貫徹落實中央路線方針和重大會議、重要文件精神;研究一省政治、經濟、文化、社會、生態文明建設和黨的建設中帶有全局性的重大問題,研究和審定與以上重大問題、與本省羣眾切身利益密切相關的重要政策文件與重大改革方案;研究決定省管幹部的選拔、任命、調動、免職事項,以及在本級紀律檢查部門權限內查辦重大職務犯罪案件有關事項;研究決定本級黨組織的宣傳、思想、統戰、政法、羣團等黨務工作以及民族宗教、社會穩定相關重大事項,處置應對本省重大突發性事件。
顯然,儘管省委常委在班子中分工不同,但由於常委會總攬全局、協調各方的關鍵作用,所有常委均有條件接觸、參與省域治理所涉及的各方面工作,在實踐中歷練提升推動發展、謀求良治的各項能力,成為勝任力更強的中共“政治家集團”後備軍。正因如此,本研究選取省委常委這一羣體研究其晉升影響因素,考察1983-2012年間中國共產黨高級領導幹部選任的能力導向特徵。
▍數據與實證
**本研究藉助各省黨的組織史資料,人民網和新華網等官方網站,以及部分研究者的線上公開資料收集了自1983年起至2012年黨的十八大召開前全國各省區市黨委集中換屆時止的黨委常委信息。**初步統計,三十年間除軍籍常委外先後有1615人就任省委常委,我們逐一檢索了其個人基本情況、教育背景及工作履歷,並基於其中信息較完整的1563人構建了數據庫,據此進行統計與實證分析。
(一)變量説明
解釋變量包含4大類(見表1),即個人基本信息變量、教育背景變量、工作履歷變量和省級宏觀指標變量,四個大類下分別設置變量及細項變量(斜體)。


表徵1563個樣本基本信息、受教育經歷和工作經歷的部分解釋變量的描述性統計特徵見表2。對於取值以離散數值來表徵的變量,未彙報其均值。

被解釋變量為樣本獲得正省級實際晉升的情況(0/1變量)。**對被解釋變量,其取值為1須同時滿足如下兩個條件:其一,副省級樣本獲得的是向正省級實職領導崗位的晉升。同樣是職級晉升(從副省級晉升為正省級),但晉升後去往崗位有着“實職”與“虛職”之別,據此可將職級晉升區分為“實職晉升”和“名義晉升”。**去往“虛職”的是“名義晉升”,即儘管職級上確有升遷,但從年齡(例如接近或超過65歲)、去往崗位性質(如全國/省區市人大或政協領導崗位、羣團組織領導崗位等)等情況來看,已退出中央機關、國家部委、地方省區市黨政一線領導崗位。**其二,樣本應是以省委常委的身份獲得晉升。**即當且僅當樣本在省委常委任內或離任省委常委時獲得晉升,該次晉升對應的被解釋變量才可能取值為1,其他情形均取值為0。
基於上述兩個條件的約束,我們對1563個樣本的晉升情況逐一進行判別並對被解釋變量被識別為1的晉升情形作了統計,結果顯示(見表3):自1983年的三十年間,共有294人從副省級省委常委晉升至正省級實職領導崗位,佔到樣本總數**(1563人)**的18.8%;樣本從首次成為副省級省委常委到晉升至正省級實職領導崗位平均需要6.98年,並在1.31個省份擔任過省委常委。

(二)實證模型
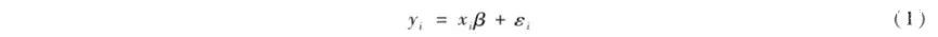
因為被解釋變量“是否得到晉升”(1=是,0=不是)呈典型的離散變量特徵,故藉助“離散選擇模型”進行實證建模。最簡單的模型為“線性概率模型”:

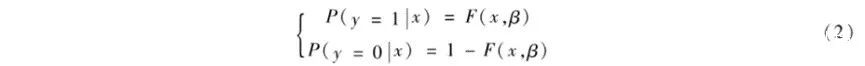
為保持預測值介於[0,1]之間,在給定x情況下,考慮y的兩點分佈概率:

其中,“連接函數”F(x,β)的選擇具有一定靈活性,最常見的是兩種模型:
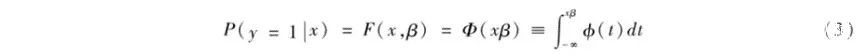
Probit模型,將連接而數視為標準正態的累積分佈函數,即:

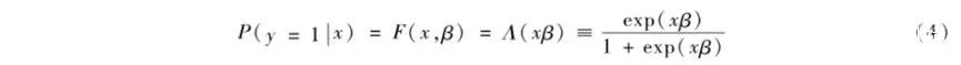
logit模型,將連接函數視為logistic分佈的累積分佈函數,即:

兩個模型雖然連接函數不同,但實證結果往往非常接近。我們採用Probit模型,具體的實證模型設定如下:

其中promotion為被解釋變量,Basic為個人基本信息,Education為教育背景信息,resume為工作履歷信息,X為其他控制變量即省級宏觀指標、時間和地區虛擬變量,ε為隨機誤差項。
(三)實證結果及其分析
(5)式的估計結果如表4、表6和表7所示。除了對全樣本進行估計外,我們還分別對1983-1992年、1993-2002年和2003-2012年三個時期進行部分樣本的分段估計,以考察影響省委常委晉升的特徵因素在不同時期的動態演進。所有結果都使用了穩健方差估計以克服異方差。**迴歸結果顯示,無論是全樣本還是分階段考慮,樣本任職省份經濟增速均與其晉升無顯著相關性,顯然,抓經濟只是省委常委班子成員諸多分工的一個方面,經濟增長績效這“一把尺子”,更適於用作主官以及分工與經濟工作直接相關的常委的晉升參考依據。**下面分別對經濟績效之外的其他因素進行考察:
**1.教育背景的影響。**表4表明樣本受到高等教育程度及類型對晉升影響的實證分析結果。**整個三十年間擁有非在職本科學歷對晉升具有1%顯著性水平上的正向影響,並且這一影響在1983-1992年間尤為突出。**與單獨用教育背景大類變量進行迴歸的結果相比,2003-2012年間擁有非在職碩士學歷所具有的正向影響顯著性水平減弱,而同期擁有在職博士學歷這一因素由不顯著轉為顯著正向影響。加入工作經歷細項變量後的迴歸結果也進一步顯示(見表7),非在職碩士學歷和非在職博士學歷對樣本晉升影響的顯著性得到加強。這表明,隨着幹部整體受教育水平的提高,學歷的競爭亦水漲船高,從是否擁有非在職本科學歷“上漲”至研究生學歷。


可資印證的是,本研究統計還發現(見表5),**在黨的十四大之後各個五年期間,全國各省委換屆當選的新一屆常委班子中,**擁有博士、非在職碩士學歷的幹部比例在不斷提升,但始終是少數。黨的十八大前全國集中換屆當選的省委常委班子成員中,有非在職碩士學歷的樣本僅佔11.1%,擁有在職碩士學歷的樣本接近七成;擁有非在職博士學位的樣本更是鳳毛麟角,僅為2.4%,即便是擁有在職博士學位的樣本比例也僅為五分之一左右。可見,省委常委這個羣體中的高層次知識化專業化樣本,在總量上是十分稀缺的;高學歷對樣本晉升的顯著促進作用也與優勢教育背景的這種稀缺性有關。

表6是將教育專業變量和工作經歷大類變量共同放入模型進行估計的結果。對全樣本而言(見“1983-2012年”一列)擁有工科或經濟類專業本科學歷能顯著增加晉升概率。


**2.工作履歷的影響。**表7是將工作經歷進一步細化並將樣本擔任省委常委時長放鬆為非線性的情況下進行迴歸的結果。



**首先,擁有地市黨政一把手任職經歷,在不同時期對樣本晉升均具有顯著正向影響。治國先治省、治省先治市,地市黨政領導崗位特別是主要領導崗位的礪煉是其他崗位任職經歷難以替代的。**本研究中有訪談對象將有地市黨委書記任職經歷的常委稱為“主幹線”上來的幹部,表明省委常委班子作為省委領導核心,儘管其內部有不同分工,但其成員關照各方面工作的全局視野和主政一方、推動經濟社會全面協調發展的能力始終備受看重。具備這種視野和能力的幹部越多,從他們當中“優中選優”“強中擇強”的基礎就越深厚,中共“政治家集團”也就擁有了更優秀的後備力量。**本研究統計發現,**地市領導任職經歷在樣本履歷中的重要性在不斷增加。根據表8統計,三十年間,全國各省換屆當選的省委常委班子成員中,有地市黨政負責人任職經歷和地市黨政一把手任職經歷的成員比例明顯提高,增幅分別為25.7和24.9個百分點。

**其次,**在中央機關和國家部委官至副省級的樣本,獲得晉升的幾率更大。**中央機關和國家部委工作經歷賦予幹部以專業化方面的更大優勢,加之樣本能夠獲得從中央機關和國家部委向地方調動的機會,這本身就意味着已經獲得了組織部門的更多關注。**表7還顯示,2003-2012年間,有顯著促進作用的中央機關和國家部委工作經歷級別還進一步下探到正廳級。這與中央和地方幹部交流的制度化、常態化以及正廳級幹部日益成為央地之間幹部交流任職的主體有關。前期研究就已發現,1983-2012年間全國各省黨委歷次換屆當選的常委班子中,從中央機關和國家部委“外放”或“空降”至地方出任省委常委的樣本比例逐漸增高,表明中央越來越重視省部級幹部的央地交流,並注重培養政治履歷豐富、具備複合型能力的幹部。
**最後,擁有高等院校和科研院所的工作經歷,對樣本晉升的正向影響亦十分突出。這在很大程度上來源於黨對幹部知識化專業化更加迫切的需求。**一方面,由於部屬高校行政級別的特點,許多高校和科研院所出身的幹部與其他部門工作的同級幹部相比更年輕,因而其政治生涯表現出更強的“後勁”。更重要的是,由於具有高校和科研院所工作經驗的樣本往往具有相對更高的全日制教育學歷,有的還是所在研究領域的專家學者,因而在知識化水平上具有優勢。**從特長來説,他們往往超越以前工程師出身的“技術官僚”,而升級為帶有更多“科學家”色彩的“科技官僚”。這一點在黨的十八大之後得到強化,**更多擁有高等院校和科研院所工作經歷的幹部躋身省委常委並被進一步委以要職,如多位原中航科技集團領導班子成員先後被任命為湖南、廣東、浙江省政府主要負責人。
實證結果還顯示,旨在表徵樣本社會關係情況的共青團工作背景和高級領導幹部秘書經歷這兩個變量對晉升未見顯著的影響。這就意味着至少在省委常委層面的數量分析中,尚難以觀察到具備這兩類經歷的副省級幹部擁有更大的向正省級實職崗位晉升機會的證據。最後,由於模型中加入了較多的控制變量,為避免多重共線性對結果造成干擾,本研究利用測算方差膨脹因子的方法估計模型中多重共線性的程度。通過從個人基本信息部分變量開始逐步加入教育背景、工作履歷和省級宏觀指標計算方差膨脹因子,發現各部分變量最大的方差膨脹因子均未超過10,因此確認文中模型受多重共線性的影響並不顯著。
▍結論與討論
1983-2012年是中國全速推進國家現代化建設的三十年。按照三個十年的縱向劃分加以總結,可以看到不同時期省級層面幹部晉升能力導向的特徵變化:
1983-1992年間,擁有特定專業領域的知識基礎和下級地方治理的實踐經驗是省委常委晉升能力導向的主要特徵。這一時期,本科專業具有工科和經濟學教育背景的常委晉升概率更大,這直接呼應了同時期中共高級領導幹部中技術官僚隊伍的崛起,也與同期社會主義市場經濟起步階段重新重視懂經濟的幹部有關。與此同時,擁有擔任地市黨政負責人經歷和農村工作經歷對晉升影響的正向顯著性,既是第二代中央領導集體着力推動自下而上“起用一代新人”的結果,也與中國農村人口長期佔多數,農村發展與治理佔據突出重要性的國情有着密切關係。
1993-2002年間,擁有更強的專業知識和專業能力背景,以及更加全面和立體的履職能力結構,成為省委常委晉升能力導向的突出特徵。這一時期,擁有工科專業的本科學歷因素仍然顯著,同時擁有理科專業碩士學歷對晉升的促進作用開始顯現。在系統的理工科專業訓練中獲得的對相關產業行業發展規律的深刻認識及科學推動其發展的能力,連同理工科專業所注重的科學素養、邏輯思維和求真務實作風,助力技術官僚崛起的勢頭得以延續;“文革”結束後我國高等教育快速發展帶來的幹部隊伍知識化水平提高,也開始反映在省部級領導班子中。**同時,這一時期幹部選拔的能力導向也隨着幹部培養機制的完善而強化,突出表現就是中央開始有意識、有組織地推動幹部在央地之間的交流,通過跨領域跨地區跨部門的調動,促使更多幹部既成為“條條”行家裏手、又熟悉“塊塊”運行方式,**由此造就一批履歷豐富、博專結合、視野開闊、能力全面,兼具較強專業化特徵、全局視野和治理經驗的幹部,這些幹部在省委常委晉升中表現出更強的競爭優勢。
2003-2012年間,高度專業化的研究能力在省委常委晉升能力導向中的重要性變得更加突出,同時這一時期對幹部履職能力的結構和厚度提出了更高的要求。這一時期在理工科全日制碩士學歷依然“管用”的同時,領導幹部受教育的水平整體得到提升,將對晉升有顯著助益的學歷標準推高到了博士學位,一批具有較高專業造詣和出色研究成果的學者型幹部脱穎而出。地市黨政一把手和央地間幹部交流的經歷仍然重要,同時作為黨的政治生活不斷趨於制度化、規範化的反映,資歷的積累對晉升的正向影響也更加顯著。根據迴歸結果的測算,擔任兩個省和十年以上副省級省委常委的樣本,獲得晉升的可能性顯著高於資歷達不到這一水平的樣本。
此外,這一結果也表明:進入21世紀後,隨着中國改革開放邁入第三個十年,國家治理所面臨的任務更為複雜多樣,為了推動科學發展,地方官員不僅要善於抓經濟,更要具備處理多方面挑戰的能力,而在多個省區的任職經歷則有助於錘鍊幹部適應新環境處理新問題、打開新局面的開拓創新能力,這些能力因而也成為這一時期中央選人用人的重要考量。
**建立以能力為導向的幹部選任機制,本質上是持續推進改革開放,實現中國共產黨長期執政的客觀要求。**中國共產黨建設一支高素質專業化幹部隊伍的目標,以及德才兼備、以德為先的幹部選任原則是一以貫之的,而不同歷史階段具體選任標準的變化、要求的升級,則與中國經濟社會發展從單向度向全向度、從數量型向質量型的嬗變相呼應,這本質上反映了中國國家現代化進程與幹部選任模式間的互動調適。20世紀80年代初,為了儘快改善幹部隊伍在年齡和知識結構上的不足,加快各項改革事業,黨中央及時提出了“幹部四化”的組織路線。隨着改革的深入,特別是我國進入經濟社會發展的轉型期,各種治理挑戰不斷湧現各地在發展經濟的同時還要關注民生改善、環境保護、鄉村振興、社會公平、行政體制改革等治理難題,這迫切需要地方官員特別是高級領導幹部擁有駕馭全局、解決複雜問題的能力。這決定了中國共產黨需要堅持和完善以能力為導向的選人用人機制,使幹部在走上高級領導崗位之前接受充分的歷練和考驗,在大風大浪、大是大非面前不斷錘鍊政治品質、提升領導能力,這也是中國政治精英產生模式相比西方模式的最重要優勢,即將個人努力和組織培養統一在“黨管幹部”的根本原則之下。
**習近平總書記深刻指出:“成長為一個好乾部,一靠自身努力,二靠組織培養”,好乾部“除了要加強學習,還要加強實踐”,好乾部“是選拔出來的,也是培育和管理出來的”。**那麼在幹部能力累積提升的過程中,“自身努力”與“組織培養”各自發揮了怎樣的作用?“學習”與“實踐”、“選拔”與“培育”和“管理”之間存在着怎樣的內在聯繫?這是兼具理論意義和實踐價值的重要問題,而針對官員公開學歷和履歷信息的定量研究並不易於對此給予有效回應。我們期待以本文研究為基礎,嘗試在此方向上做進一步的延伸和深化。
本文原載《政治學研究》2021年第3期,原題為《中國共產黨幹部選任的能力導向——來自省委常委的證據 (1983—2012年)》,文章僅代表作者觀點,供諸君參考。歡迎個人分享,媒體轉載請聯繫版權方。
