其實童年的你離造出火箭只有億點點距離_風聞
中科院物理所-中科院物理所官方账号-2021-09-05 16:16
原創:中科院物理所
新的一學期開始啦,連小編的摸魚軟件都出現了喜迎新學期的“青少年模式”。

bilibili的青少年模式提醒。來源:baijiahao
這讓小編不禁想起自己的童年似乎並沒有手機……那個沒有手機的童年裏,只有一架飛得沒有別人遠的紙飛機,還有一隻經常沒能被拴住口的**【暴走的氣球】**——

Tom在“臨死”前把自己吹成氣球,發現自己沒死時太過開心,導致氣球鬆口飛出。來源:好看視頻
不過,那時候光顧着追蹤氣球的飛行路徑了,對於在氣球裏發生的事情一無所知。沒想到,小小氣球裏,竟然發生着和火箭推進器裏一樣的事情!
話不多説,就讓我們開始今天的正題——為什麼説童年的我們離造火箭只差yi丟丟?

01
你推我,我推你:我們用了多大力
我們首先回顧一個很基本,但在太空又很麻煩的事情,叫做牛頓第三定律:作用力和反作用力總是成對出現的,大小相等,方向相反,還在一條線上。
這件事情意義非凡:你想有向前的動力,就必然有什麼東西受到向後的力。你在地面上向前加速走,受到地面的力,相應的地面也會受到你的作用,多出一個向後的加速度。只不過地球的質量非常大,一般我們也就認為這個速度可以忽略不計了。在水裏也一樣,你向後划水能得到向前的力;在高空,噴氣式飛機都有巨大的進氣道,吸進海量的氣體,通過燃燒加熱把它們排出,總的來説給了氣體向後的力,從而飛機獲得動力。但是在太空,似乎沒有誰能夠被你向後推了……是啊,在太空,你該怎麼辦?

在人類還不太會飛的時候,俄國的康斯坦丁·齊奧爾科夫斯基就開始思考這種問題,並且給出了明確的答案:你要扔垃圾消耗質量。在火箭裏,我們一般把這部分****用於消耗的質量稱為“工質”。自己帶一點工質,是什麼都可以,然後把它向後扔出去,它就受到了向後的力;然後,你就有動力了。這就是迄今為止所有能用的火箭的基本原理:工質反衝。

我推我自己?
我們可以簡單地估計一下火箭發動機的效率。
既然是扔東西,一個問題就是扔出去的東西(相對於你)飛得有多快——也就是工質的噴口速度****ve。出於種種歷史原因,工程師們更喜歡用“比衝”Isp來描述。對於火箭來説就是給噴口速度除上一個重力加速度g ,從而得到量綱為時間的量:Isp=ve /g。
另一方面是你在單位時間內扔出多少東西,也就是質量流R(單位時間裏扔出去的質量,單位:kg/s)。
把它們乘起來就得到了你扔東西的力,根據牛頓第三定律,它也就是東西對你的反作用力,或者説是火箭的推力:
要理解這個公式可以藉助“衝量”的概念。你在一段時間t內持續地扔東西,衝量就是Rvet,而我們知道,單位時間的衝量就是力。知道了推力,就可以用牛頓第二定律了。注意,由於一直在扔東西,你的質量是不斷變小的,所以質量是一個時間的函數。於是:
02
公式:齊奧爾科夫斯基
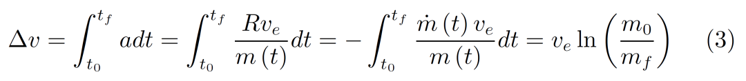
剩下的事情會需要一點點微積分。我們知道加速度是速度的變化率,那麼對時間積分,也就得到了速度的變化量:

其中t0 與tf分別是加速初始時間與結束時間,m0 與mf分別是初始質量與末質量。這就是大名鼎鼎的**【齊奧爾科夫斯基公式】**。事實上,他是那樣有名,以至於好多時候,**Δv 成了度量燃料量的標準:不管帶了幾噸燃料,我只關心我有多少Δv。**做飛行規劃,也更願意算一步步變軌需要多少Δv。事實上火箭的Δv決定了它能飛多遠,飛到哪裏,是火箭設計中至關重要的量.

太陽系的Δv地圖。去不同的地方需要不同的Δv,這就像去不同的車站需要的車票價位不同。右下角是太陽,從下往上離太陽越來越遠。來源:wiki
【齊奧爾科夫斯基公式】告訴我們,無論你飛行時發動機的工作過程是什麼樣的(對應於不同的R(t))——比如説可能一直最大油門,或者也許一直都小推力加速,甚至可能乾脆讓發動機大部分時間關掉——你的**可用的Δv都是一樣的,它正比於噴口速度ve(或者比衝Isp),也正比於初末質量比(m0/mf)的對數。**既然初末質量之差就是你用掉的燃料,便可知道火箭飛行需要的燃料要佔到總重中非常可觀的一部分。立在發射場上偌大的火箭,其實大部分都是待消耗的燃料(以及一些沒用的死重),真正運輸的貨物質量,可能不到總質量的2%。你想要更多的Δv,當然是要帶更多的燃料;但是Δv 隨燃料量大致是對數增長:**多帶的燃料固然可以提供加速,但隨之而來初始質量的增加,導致同樣推力下加速度變小,於是多出來這部分燃料提供的Δv就會變少,**加速效果自然會打折扣。(只有最後一滴油是最管用的,但是……
更加行之有效的辦法,當然是提高比衝。這就涉及到了具體的發動機設計,或者説怎麼扔掉工質。
03
化學推:看我大力出奇跡
那麼問題來了,工質應該怎麼扔?
如果像我們手扔東西一樣,推力肯定不夠。真正的火箭發動機,要比這強大得多才行。最經典的發動機利用的是**【化學推進】,靠化學反應釋放的能量來扔工質。和汽車燒油的概念略有不同,這裏火箭的燃料有“雙重身份”:一方面是提供能量去推動工質的燃料**,另一方面,化學反應產生的氣體,正好就是被推出去、從而提供反作用力的工質。

燃燒產生的氣體受熱之後,經過精心設計的燃燒室和噴管跑出來,就是我們看到的長長長長的尾焰。

尾焰示意圖。來源:360doc.com
一般的化學推進火箭噴口速率可以達到2km/s − 5km/s,也就是説比衝是200s − 500s。這樣大的比衝是什麼概念呢?我們知道第一宇宙速度是7.9km/s,但實際上想要入軌的話,還要考慮大氣阻力以及軌道高度等等——可以假定Δv要達到9km/s。如果噴口速度取4km/s(比衝為400s),按照【齊奧爾科夫斯基公式】,很容易算出m0/mf= 9.5。也就是説,**在這個比衝下,為了送1噸貨物上天,你需要至少9.5-1=8.5噸燃料……**但是這還沒完,燃料罐和發動機等的質量也不小,如果我們留1/10的火箭質量(除貨物以外)給這些死重,那麼初始質量和末質量分別是:
m0=m****貨物+m****火箭
mf=m****貨物+0.1m****火箭
再由m0/mf= 9.5,可以算出m火箭/m****貨物=170。折騰半天,居然****只有0.6%的質量是我們真正想要送上天的貨物……
(火箭:帶貨真不容易啊)
好在實際上有一種技巧叫做**【分級】,可以讓這個數字不那麼誇張。簡單地説,就是飛一飛,把用完的空燃料罐都扔掉。另外,火箭是越飛越輕**的,剛起飛的時候需要好大的推力,但是飛一飛輕了,按一般的發射程序也不一定需要推力高於重力了,因此需要的推力小了,還可以扔掉幾個發動機。扔掉它們一般來説不會貢獻多少Δv,但是可以避免你把剩下的燃料浪費在這些沒用的質量上。
雖説化學推的比衝看起來有點可憐,但它推力(Rve,其中質量流R較大)很大,便宜可靠(相比而言),可以輕鬆地帶着上千噸的火箭騰空而起。而入軌之後,並不經常需要用到發動機,做變軌或者維護軌道的時候開一開就可以了,因此還是很好用的。
04
核推:還沒上天彆着急
那麼有沒有比衝高一點的發動機呢?有!比如**【核推】。以“核熱火箭”為例,簡單地説,核燃料只負責反應釋放熱能,而工質吸收熱能噴出,只負責提供反作用力,工質與燃料分開,不再具備“雙重身份”。原則上用什麼工質都可以,但普遍看好氫氣**,因為它分子量小,加熱到同樣温度可以跑得更快,在上世紀已經實現了850s左右比衝(化學推的兩倍)、同時250kN左右推力。這個比衝已經較高,如果想讓它更高,就需要把反應堆燒的更熱——但温度總歸是有上限的,比如考慮反應堆材料熔點的制約。再考慮到核廢料的處理問題等等,目前階段,核推還沒有真的上天,只有地面測試。如果你要説自己見過更炫酷的,那一定是在夢科幻電影裏吧~

核推反應堆的鏈式反應,正在發生核裂變。來源:bilibili

內華達州試驗場-核火箭開發站。一號發動機試驗枱上發動機和反應堆的特寫圖。右邊的兩名技術人員提供比例尺。來源:wiki
05
電推:細水長流最省油
真正實用的還要數**【電力推進】。當然電力推進你依然可以故伎重演,用電加熱工質然後扔出去……但實際上更常用的電力推進,是用太陽能板捕獲的電能對工質進行離子化和加速**,以提供推動力。工質用什麼原則上都沒關係,但是考慮到電離工質挺麻煩的,好不容易電離出一個來,我會希望它提供儘可能大的動力,所以希望工質分子質量大一點,習慣上用氙氣(Xe,原子量131.2)。

NASA測試新型電力推進火箭。 來源:sohu
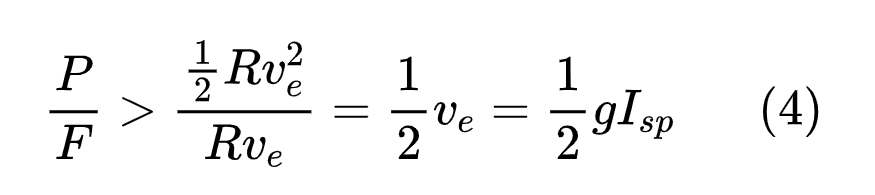
電推主要消耗電能和極少量惰性氣體,但它形成的噴射速度卻是驚人的——通常是運載火箭發動機的十倍,因此具有極高的比衝,可達4000s。但是,推力卻非常小,一般在1N數量級以下。為了解釋為什麼電推的推力都這麼可憐,考慮質量流為R,噴口速度為ve,還記得公式(2)得到的推力F=Rve,那麼在單位時間內把這些質量加速到ve,你的功率最起碼也應該是1/2Rve2,則產生單位推力需要的功率:

我們取Isp=2000s,發現每產生1N推力,至少需要10kW的功率——千瓦級的功率,靠太陽能還比較容易解決,功率再高就麻煩了,所以電推的推力一般也就停留在牛頓級別。相比較而言,化學推燃料自帶能量,增加質量流就能提高功率;核反應堆本身能量巨大,也沒有這個問題。所以對於電推來説,大推力任務是完成不了(比如起飛、快速變軌等),但像調整航天器朝向與姿態這種細活,或者為小衞星提供動力保持軌道,還是綽綽有餘的。就讓我們再看一次【齊奧爾科夫斯基公式】——ve越大(即大比衝),獲得同樣的Δv所需要的m0/mf就會大幅變小,而電推的比衝遠高於化學推、核推,真乃省油之必備!
目前,天宮空間站“天和”核心艙正在近地點352公里、遠地點385公里、軌道傾角41.47°的近地軌道上運行着,它的30台姿軌控發動機中有4台是【HET-80霍爾推力器】,單台推進器最大推力80mN(這樣大小的力如果放在地面上,僅能舉起8根頭髮),額定功率1.35kW。這4台霍爾推力器就是上面所講的電力推進器,是人類首次在載人航天領域應用電推進系統(此處應該有掌聲~)。天和核心艙集各種功能於一體,還能夠擁有高達****50立方米的活動空間,這四個推進器功不可沒——畢竟電推省工質省下來的質量真不少……

天和核心艙內部,超aoooo大!來源:企鵝號
寫在最後

再次打開了摸魚視頻軟件
湯姆被吹成了氣球
氣球的工質就是空氣
能量來自氣球皮的彈性勢能
氣球皮收縮擠壓裏面的空氣
就能使空氣向後噴湧而出
看湯姆橫衝直撞,所向披靡
再看看電推核推化學推…
咳咳
氣球和火箭
原來真就只差那麼億點點嘛
piu

新的學期已經開始啦
祝願讀者朋友及小朋友們
新的學期,蕪湖起飛
參考文獻
工質_百度百科 (baidu.com)
質量流量_百度百科 (baidu.com)
非傳統的幾種推進方式(核推、電推、離子推等)_嗶哩嗶哩_bilibili
火箭也要電氣化!NASA測試新型電力推進火箭_進行 (sohu.com)
推力只夠舉起8根頭髮,為啥霍爾推進器能使我國空間站叫板美國?(360doc.com)
空間站天和核心艙霍爾推進器 - 知乎 (zhihu.com)
天和核心艙有幾台發動機?兩位數規模,電推動力拿下一個人類首次 - 知乎 (zhihu.com)
表情包來源 | 網絡