小雨:一個與蛋有關的公式_風聞
熊猫儿-2021-09-12 21:00
一
蛋,是人類歷史上最傳統、最主要的營養來源之一。它有着自然界中最容易辨認的一種形狀,甚至被稱為是“最完美的形狀”。
一直以來,數學家、工程師和生物學家都希望能夠推導出一個通用的數學公式來描述所有的蛋的形狀,卻一直沒能成功。最近,在一項新的研究中,來自英國的一組研究人員完成了這一壯舉,他們推導出了一個普遍的數學公式,可以用它描述自然界中的任何鳥蛋的形狀。
二
其實,從蛋的形狀中,我們能夠看出生物對不同的環境和情況的適應。因為蛋所處的環境可以是非常多樣的,這種多樣性包括極端的温度和濕度,以及孵化過程是在有或是沒有體温的情況,巢內還是巢外的情況,清潔的環境還是高度感染的環境下進行的。
在如此多樣化的環境下,形狀的進化涉及到一些實際問題:首先這個形狀需要大到足以孵化出胚胎,但又足夠小到能夠以最有效的方式從母體中排出,且當它在離開母體“落地”之時不會一下就滾出好遠。
此外,這種結構需要能夠充分地承受重量,它承載着自恐龍之後倖存下來的10500多種物種的初期生命。近年來,人們認識到鳥類就是就是活的恐龍,這也為研究這種最著名的已滅絕的物種開闢了一條全新的道路。因此,蛋的形狀,最值得充分的數學分析和描述。

蛋的四種基本形狀:(A)球形,(B)橢球形,(C)卵球形,(D)梨狀。| 圖片來源:Narushin et. al. / Annals of the New York Academy of Sciences
從數學分析的角度,所有蛋的形狀可以歸類為四種幾何圖形:球形、橢球形、卵球形和梨形(錐形)。
為了識別一個特定的蛋可以被歸為哪一類形狀,許多研究人員發展出了各種參數指標來幫助他們更準確地定義形狀。比如蛋的最大寬度(B)與蛋的長度(L)等等。
目前,前三個形狀都已經有了明確的數學定義,它們每一個的數學表達式都是根據前一個的表達式推導而出的。然而迄今為止,梨形蛋的表達式卻一直沒有推導出來。
為了彌補這一點,在新的研究中,研究人員在卵球形的公式中引入了一個額外的函數,發展出了一個數學模型來擬合一個全新的幾何形狀。這種形狀適用於任何蛋的形狀,它像是從球形到橢球形演化過程的最後一個階段。

用數學公式來描述蛋的形狀。| 圖片來源:Narushin et. al. / Annals of the New York Academy of Sciences
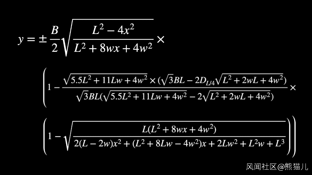
這個新的通用的數學公式基於4個參數提出的,它們是:蛋的長度(L)、最大寬度(B),縱軸的位移(w),在蛋長的1/4處的直徑(DL/4)。

新推導出的通用公式。| 圖片來源:Narushin et. al. / Annals of the New York Academy of Sciences
理論上,這個公式可以描述自然界中存在的任何鳥蛋,它就是眾多研究人員一直以來尋求的能夠描述所有蛋的形狀的普遍公式。
三
這是一個重大的突破,可以預見,這一公式在未來將可以應用於一系列研究和工程上。首先,在對生物體的科學描述中,它將能夠大大簡化生物系統學、技術參數優化、蛋的孵化和家禽的選擇等方面的工作。
其次,它也可以被用於對生物體的物理特性的準確測定,對於研究孵化、加工、儲存和分類雞蛋技術的研究人員和工程師來説,蛋的外部特性至關重要,因此他們必須用蛋的體積、表面積、曲率半徑等參數來描述蛋的輪廓,從而進行簡單的識別過程。
另外,它或許能對一些受生物學啓發的工程提供幫助,因為蛋是可用來研究工程設計和尖端技術的天然生物系統,它們的形狀的幾何學已經被廣泛地用於建築中,比如倫敦市政廳,因為它能夠在使用最少材料的情況下承受最大的負荷。
其實,在新的研究結果之前,對球形、橢球形和卵球形的數學描述就已經在許多學科中得到了廣泛的應用,比如食品研究、機械工程、農業、生物科學、建築學和航空學。因此研究人員毫不懷疑,新的公式將同樣能得到廣泛的應用。
此外,除了那些較為實際的應用,這一公式也為我們提高科學理論的理解提供了幫助,這不僅對於理解蛋的形狀本身具有重大意義,而且還有助於我們理解蛋的形狀是如何以及為何進化成現在的樣子的。換句話説,在未來,數學或許能夠描述許多的生物進化過程,並可能成為進化生物學研究的基礎。
參考來源:
https://www.kent.ac.uk/news/science/29620/research-finally-reveals-ancient-universal-equation-for-the-shape-of-an-egg
https://nyaspubs.onlinelibrary.wiley.com/doi/10.1111/nyas.14680