看到有人説伯克利的數學考卷,我就找了兩份出來,和國內高校的對比一下_風聞
guan_15728514461402-2021-09-25 19:51
奧本大學那個帖子裏,轉載了一個截屏説要比較伯克利的。我就找了兩份出來。第一份份考卷的網址是https://math.berkeley.edu/~ogus/Math_1A/Exams/finalsols.pdf,是A. Ogus教授在自己個人網站上發佈的。2010年春季學期Ogus教授在伯克利講授Math 1A課程,考試之後,這位教授把答案公佈在了自己在伯克利的個人主頁上,所以可以下載到,看看伯克利的Math 1A是什麼考題。
在該校數學系網站上,可以看到這門課的大綱:

可以看到,這門課主要內容是一元函數微積分學,針對的學生是工程與物理科學類學生。如果通過了AP微積分考試的可以免修這一門課。但是這門課只講到了積分及其應用,而國內理工類大學高等數學(一)一般還會學積分技巧、級數、微分方程初步的內容。這些內容在伯克利是Math 1B這門課。
Mark Haiman教授18年春講授Math 1B之後也把期末考答案發在自己主頁上了:https://math.berkeley.edu/~mhaiman/math1B-spring18/final-sol.pdf
因此,我們可以看看伯克利這兩門理工科數學入門課的期末考試是什麼難度。
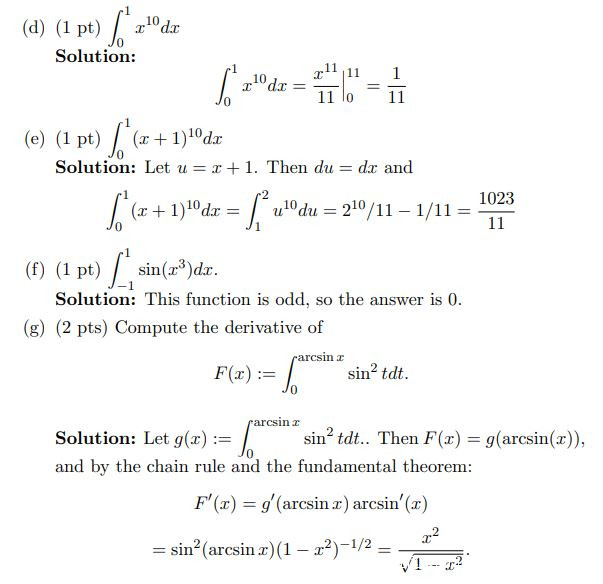
先看看Math 1A考試的積分題:

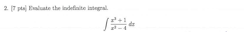
前面幾道都是基礎得不能再基礎的題。最後一個(g)小題看起來難一點也不難想到直接用基本定理即可得出。考慮到伯克利要再Math 1B才學習積分技巧,再看看Math 1B的期末考積分題。


一道三角函數積分,一道分式積分。都是常規題。作為對比,在豆丁網上找到一份世界一流大學建設高校裏排名最低的新疆大學在2012-2013學年第一學期期末考試:https://www.docin.com/p-2157468131.html

基本差不多,相比之下,新疆大學考的積分式還稍微複雜點,有理分式選得更復雜,三角函數的考了一個反三角函數,然後還考了一個分段函數定積分。
其他知識點,伯克利1B有級數,新疆大學高數上學期考卷看起來沒有級數收斂這個知識點。其他題目,難度看起來差距並不大。