1097坨粑粑告訴你,西南山地的猛獸誰最猛!_風聞
猫盟CFCA-猫盟CFCA官方账号-民间野生猫科动物保护联盟2021-09-25 07:49
前兩天北大的李晟和姚蒙老師合作在期刊Current Biology上發了一篇文章:Prey partitioning and livestock consumption in the world’s richest large carnivore assemblage,中文就是:世界上最豐富的大型食肉動物羣落中的獵物分化和牲畜消耗(取食)。

文章發表於Current Biology
這個題目比較拗口,內容基本上就是:西南山地是中國乃至世界食肉動物種類最豐富的區域(想想新龍七貓之地),這些食肉動物與其分佈區域內的其他食草動物等構成的動物羣落非常複雜。
從棕熊到豹貓,體型各異的食肉動物是如何通過獵物的區分從而形成不同的生態位,並因此達成共存的態勢?
它們是否會以家畜為食,又會多大程度上依賴來自於家畜的食物補充?
這就是這篇論文希望去探索的問題。
這些問題不但有助於我們去了解這些野生動物,以及它們在生態系統裏所起到的作用,對制定保護策略的提出也非常有意義。
一
撿了1097份動物糞便
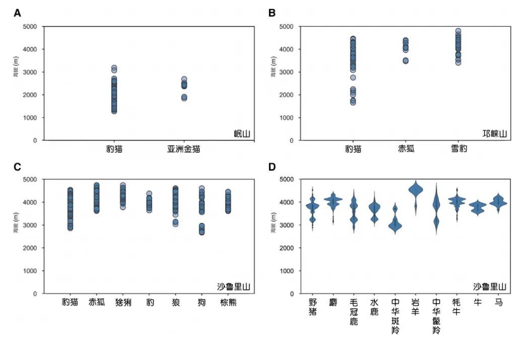
這個研究的區域位於中國西南山地,有三個具體的採樣區域:岷山、邛崍山、沙魯裏山。
如果大家對於這些山脈不大瞭解,那麼可以具象化到幾個熟悉的地方:唐家河屬於岷山,卧龍屬於邛崍山,這兩個山脈都是大熊貓的棲息地,海拔1000-5000+米,植被類型以森林為主,也有高海拔景觀。
新龍屬於沙魯裏山,海拔大於3000米,森林和高山景觀基本各佔一半。
多年調查的結果顯示,西南山地是全球生物多樣性熱點區,擁有世界上最豐富的大型食肉動物多樣性。

世界生物多樣性熱點區域,中國西南山地是其中之一 圖源網絡
除去黃鼬、香鼬等小型食肉動物,這裏的大中型食肉動物包括:豹、雪豹、金貓、猞猁、豹貓、兔猻、荒漠貓、狼、豺、赤狐、棕熊、黑熊、黃喉貂、石貂、豬獾、狗獾、水獺、果子狸等至少18種,如果再加上大熊貓和小熊貓(但它們主要吃竹子)和藏狐等,大中型食肉目的種類將超過20種。
這個研究的方法主要就是撿屎,以及對屎進行DNA測序。

研究區域和取樣地點
任何一件事情當你認真做到極致,就很了不得。
這項研究使用了多少糞便呢?
用於分析的食肉動物樣品一共1097份!如果算上野外採集的各種動物的糞便總數,更是高達1706份!
每個糞便樣品都記錄了地理信息,比如海拔、座標等,以便和紅外相機獲得的數據加以對照。
而對糞便的分析使用了新一代高通量測序的DNA宏條形碼(DNA meta-barcoding)技術(看名字就覺得很高大上是不是?)。

是的,我們經常撿屎 ©一晴
比起使用體視鏡、顯微鏡觀察糞便內容物形態的傳統方法,這個技術能夠獲取更多的有效信息,其優勢在於:
1.檢測更加靈敏,物種識別更為準確;
2.一次分析可覆蓋多個類羣(例如小獸、鳥類、兩爬等),不需要基於形態分類的多個類羣的分類專家共同參加;
3.相比傳統方法(費時費力且嚴重依賴分類專家),也更經濟,平均下來的樣品處理和測序費用並不高;
4.數據更加量化。

水鹿:我的便便裏就只有植物
用了這種方法,就可以更加精確地知道糞便的主人都吃了些什麼,比如肌肉、內臟這些不留殘渣的食物,或者不留什麼毛髮骨骼的獵物,用傳統的觀察方法是看不出來的。
具體分析的方法我也看不懂,直接看結果吧。這一千多坨屎得出了什麼結論呢?
二
首次揭示大型食肉動物的食物網結構
這些分析意味着一件非常牛X的事兒:這是全球首次在擁有多種大型食肉動物的陸地生態系統裏,構建出量化的多食肉動物-獵物食物網結構。
以往的相關研究主要基於野外觀察,而通過DNA測序得到這種包含多種大型食肉動物的高度量化、精確的食物網結構,並用其闡述物種間關係,印度沒做過,非洲沒做過,南美也沒做過,中國西南山地的研究是頭一份。
“This study represents a number of ‘firsts’ in the community-level analysis of mammalian carnivore diets(這項研究在哺乳動物中食肉動物食性的羣落級分析中代表了許多‘首次’).”
“That would be the first examination of entire carnivore communities to my knowledge(據我所知,這將是對整個食肉動物羣落的第一次核驗).”
這是這篇論文的兩個審稿人給出的評論。

中國西南山地的奧秘,藉助動物便便揭開
該項研究結果首次提供了中國西南山地大型食肉動物的全面食性記錄,也是世界上多物種大型食肉動物羣落最詳細的食性組成數據集之一:通過高通量測序獲得了7.44億條序列數據,數據總量103.9GB。
經過質量過濾和生物信息學處理,將獨特的序列與基因庫進行比較,並與當地物種本底調查記錄進行細化比對,一共鑑定出整個研究區域的95種獵物分子分類單元,分屬於脊椎動物14個目,包括64種哺乳動物,27種鳥類,1種爬行動物和3種魚。
這就是當地主要大中型食肉動物的食譜。

3個研究區肉食動物種類的食物網數量與食物多樣性
讓我們來具體看一下。
論文中以豹貓、金貓、狼、狗、豹、雪豹、猞猁、赤狐、棕熊為代表,對它們的食性進行了分析。
其中以體重15kg為界,以上為大型捕食者,包括狼、狗、豹、雪豹、猞猁、棕熊;小於15kg為中型捕食者,包括豹貓、金貓、赤狐。

研究區域的食肉動物們 供圖:李晟
大體上這些食肉動物的食性呈現出如下規律:
1.食肉動物與其獵物的體重之間存在正相關性,體型相近的食肉動物之間具有更高程度的獵物類型重疊;
就比如説,豹貓、赤狐、金貓等中型捕食者都會以齧齒類、鳥類等小型獵物為主,豹、雪豹、狼等大型食肉動物則會選擇捕獵體型更大的獵物。
這符合最優覓食理論的預測,食肉動物和獵物體重之間的相關性實際上代表着食肉動物需要從每次捕食中獲得的能量最大化,這樣才能保證自己沒有白忙活。
豹子如果選擇以松鼠為主食,那麼它可能一天到晚都要捉松鼠,而這些松鼠還不足以彌補它捕獵所消耗的能量。

不同食肉動物標本的海拔分佈及其與獵物的體重指數
2.大型食肉動物集中捕食體型較大的類羣**(如偶蹄目)****,而中小型食肉動物的獵物種類更為多樣,表現為其食物物種多樣性和系統發育多樣性更高。**
從生態系統的角度來看,食物鏈金字塔越往下,物種的種類和數量就越多。
岷山(大型食肉動物功能性缺失)的豹貓、金貓的食物中,小型哺乳動物佔據獵物總量的83.9%(包括齧齒動物、鼠兔和鼩鼱),鳥類為10.5%(雉類和雀形目),而有蹄類動物(野生的和家畜)僅佔獵物總數的4.3%。
而在有雪豹這種大型食肉動物的邛崍山,小型哺乳動物仍在整個食物構成中佔顯著地位(66.0%),是中型食肉動物(豹貓和赤狐)的主要食物來源。
但有蹄類也在獵物總數中佔到相當大的比例(26.4%),是雪豹的主要食物(在該物種食性組成中佔比為93.4%;主要是岩羊)。

岩羊,雪豹的主要口糧
3.在大型食肉動物最為豐富的沙魯裏山系,不同大型食肉動物取食不同體型的獵物的頻率不同;
我們一直很想知道新龍的7種貓、2種熊、2-4種犬、還有6-8種鼬,究竟是如何在食物上形成分化,並各自佔領了一個微妙的生態位的。
沙魯裏山脈食肉動物眾多,這項研究表明,沙魯裏山的有蹄類動物佔食肉動物獵物總數的41.0%,其中四種大型食肉動物主要以有蹄類動物為食:豹79.8%(其中家畜3.3%)、狼80.8%(家畜64.7%)、狗88.8%(家畜65.5%)、棕熊71.9%(家畜50.1%)。
由於在沙魯裏山並未獲取足夠的雪豹糞便,因此沒有納入統計。
但在沙魯裏山的大型食肉動物裏,猞猁卻依然是以小型獵物,特別是野兔為主要食物的。
而沙魯裏山的豹貓和赤狐依然以齧齒類等小型獵物為主食,這類獵物佔沙魯裏山總獵物的51.9%。

沙魯裏山大型食肉動物對主要有蹄類獵物的選擇偏好,藍色代表偏好,紅色代表迴避
其中棕熊是個有趣的例子:儘管棕熊是沙魯裏山體型最大的食肉動物,但根據捕食者與獵物體重之間的關係,分析顯示其實際捕食的獵物的平均體重低於預期,也就是説跟其他共存的大型食肉動物相比,棕熊捕食的小獵物更多。
很顯然沙魯裏山的棕熊和世界上其他地方的棕熊一樣,採取了一種比較佛系和躺平主義的獵食策略,除了吃隨處可見的鼠兔、旱獺等小型獵物外,一些非脊椎動物的食物(如昆蟲等無脊椎動物、植物、蘑菇等)也會成為它的食物。
在這樣一種強者如雲競爭激烈的環境裏,這種策略可以進一步減少物種之間的食性重疊和競爭。
當然,棕熊擁有強大的殺傷力,一有機會殺死並吃掉家畜也是它們的選擇。

喜歡啥都吃一點的棕熊
4.有蹄類家畜在狼和棕熊食性中佔據重要比例。
從捕食者和獵物的列表中我們可以看出,在幾種大型食肉動物中,貓科動物明顯更傾向於捕獵野生獵物。
比如豹,顯示出對毛冠鹿的偏愛,野豬、鬣羚、斑羚也是它捕獵比較多的物種,而對家畜它們非常回避。
相反,狼則對家畜顯示出非常濃厚的興趣——這在很大程度上解釋了我的一個疑問:在新龍總有牧民説豹子吃了他家的牛,然而究竟如何確定是豹子而不是狼呢?
實際上除了少數目擊記錄外,大多數家畜被捕食的事件中我們並不能確定兇手是誰。
而這項研究很充分地表明:狼會更加偏向於捕獵家畜。

新龍的狼
雖然我國西部地區藏族傳統文化提升了當地居民對於食肉動物捕食家畜的耐受力,一定程度上緩解了人獸衝突的激烈程度,但人獸衝突正在成為青藏高原生態保護必須去面對和解決的問題。
知道人獸衝突產生的機制,將有利於我們去跟牧民講道理,並且針對不同食肉動物的習性而採取一些相應的措施。
三
大型食肉動物無可取代
在一個理想的、完整的生態系統裏,我們希望看到豺狼虎豹熊等大型食肉動物與形形色色的食草動物、食蟲動物各居一方,而人類可能也和它們生活在一起。
這種景象在100年前的中國隨處可見;在強調生態恢復的今天,這般景象正在成為生態保護的目標。
然而要重現這一幕,需要我們深入瞭解強者們的世界,如此才有可能去重建和管理這個複雜的生態系統。

豹:當大哥是有責任的
今天我們知道,大型食肉動物強烈依賴於其獵物的數量和分佈,食物可能是最重要的生態位維度,最終形成了大型食肉動物的相互作用和羣落結構。
通過本文所介紹的這項研究,以及其他很多的研究,我們正在對一些典型的大中型食肉動物的生存之道形成更加清晰的認識:
相對於它們自身的體重,狼的捕獵對象的體重高於預期值,這可能是由於它們所採取的羣體捕獵策略,提高了它們殺死大型獵物的成功率。
而在家畜豐富的地方,狼會更加傾向於捕食家畜並且放棄野生有蹄類,這將為人獸衝突管理提供非常重要的參考依據。
相反,即便是在有很多家畜的地方,豹依然會傾向於捕獵野生獵物,主要是一些中型有蹄類,如毛冠鹿、野豬。

看腦袋上這簇黑毛就知道是毛冠鹿
糞便分析的結果可以與紅外相機數據相印證,而這與我們通常的認知也較為符合:無論在山西、寧夏還是新龍,豹實際上並未造成大量的家畜損失(但在當地居民心理上的影響卻很大)。
這也為保護和擴大豹的種羣提供了依據:人們並不需要擔心豹子,它們對家畜興趣不大,並且會盡量避開人類。
無論在哪裏,豹貓、赤狐都會傾向於捕獵小型獵物,無論是否有大型食肉動物與它們同域分佈。
這也解釋了一個現象:當岷山、西雙版納、德宏等地的虎、豹、豺都大量消失以後,金貓、豹貓卻依然存在,因為它們在食物網營養級中的位置比大型食肉動物低,受到盜獵的間接影響(人類捕獵有蹄類導致大型食肉動物食物短缺)也相對小一些。

新龍的金貓
而狗的食物中有大量的野生動物,這個發現意味着要對靠近荒野地帶的犬隻飼養加以管理,避免出現大量流浪狗,防止它們通過捕食、資源競爭和疾病傳播對野生動物產生不利影響。
總的來説,不同的食肉動物由於其食性差異而顯示出在營養生態位上的互補性,可以發揮種間互補的生態效應。
因此,保護整個食肉動物羣落的完整性,對於確保它們在形成獵物羣落結構和食物網營養級方面的完整生態系統功能是至關重要的。

同域食肉動物的飲食生態位劃分
比如説,金貓的主要獵物是齧齒類、雉類、小型有蹄類,以及少量猴子和其他小型動物。
當一個生態系統中的大型猛獸如豹、狼消失,我們並不能期待金貓這樣的中型食肉動物能夠取代大型食肉動物的生態功能。
豺狼虎豹是無可替代的,大型有蹄類只能通過大型食肉動物來進行自然調節。

體型龐大的野豬,只有大型捕食者才能制服
從生態修復的角度來看,由於岷山和邛崍山曾經生活過的大型食肉動物種羣目前大多被滅絕,與沙魯裏山相比,其營養級複雜性大大降低,這可能會增加這些生態系統對環境擾動的敏感性,從而降低生態系統的恢復力。
由於自然恢復已經不太可能或耗時漫長,應該仔細評估重新引入本土大型食肉動物以恢復生態功能的可行性。
同樣的道理可能適用於中國很多地方。

新龍的雪豹
科學研究其實藴含着很多有趣的動物故事,我們還將繼續跟蹤這些有趣的研究,並把晦澀難懂的論文翻譯成説人話的推文貢獻給大家。
下一篇我們將繼續跟蹤李晟和姚蒙兩位老師的另一項研究:通過全國各地不同地區採集的豹貓糞便,來看看哪裏的豹貓生活最富裕。
感謝李晟老師和姚蒙老師對本文提供的指導和修訂。