百草枯,被“喝”到禁售的農藥_風聞
雷斯林-雷斯林官方账号-2021-10-17 14:36
作者:烏卡 公眾號:為你寫一個故事 / raistlin2017
01
又有人喝百草枯了。
這次是河南一位13歲的女孩。

女孩十一放假在家,趕上田裏農活正忙的時候,女孩母親想叫女孩幫忙乾點活,孩子不願意,被家人攆回家去。家人也沒多在意,接着在田裏忙。

沒想到女孩回家後想不開,轉頭喝下了百草枯。

喝完農藥的女孩根本沒意識到自己究竟做了什麼。
她可能不知道百草枯是多麼可怕的劇毒,——這種被稱為“死亡之水”的除草劑曾讓許多人痛苦地離開。它給人後悔的時間,卻很少給人後悔的機會。
她拍下照片,發給同學,説“我在家喝藥了”。

收到照片的同學很快反應過來,第一時間通知了老師,隨後老師通知了家長。
家長立刻趕回家去,第一時間帶着孩子去了縣城,洗胃,並進行進一步檢查。
父親在接受採訪時,聲音都是哽咽的。

孩子的小姨説,“洗胃洗出來也全是黑色的”。

對百草枯中毒者來説,洗胃並不足以挽救性命,她需要立刻轉院至鄭州武警河南總隊醫院進行搶救。
時間在此刻尤為珍貴。
在沿途各個地市的民警的合力護送下,原來一個半小時的路程,縮減成三分之一。28分鐘後,女孩抵達武警河南總隊醫院,展開急救。

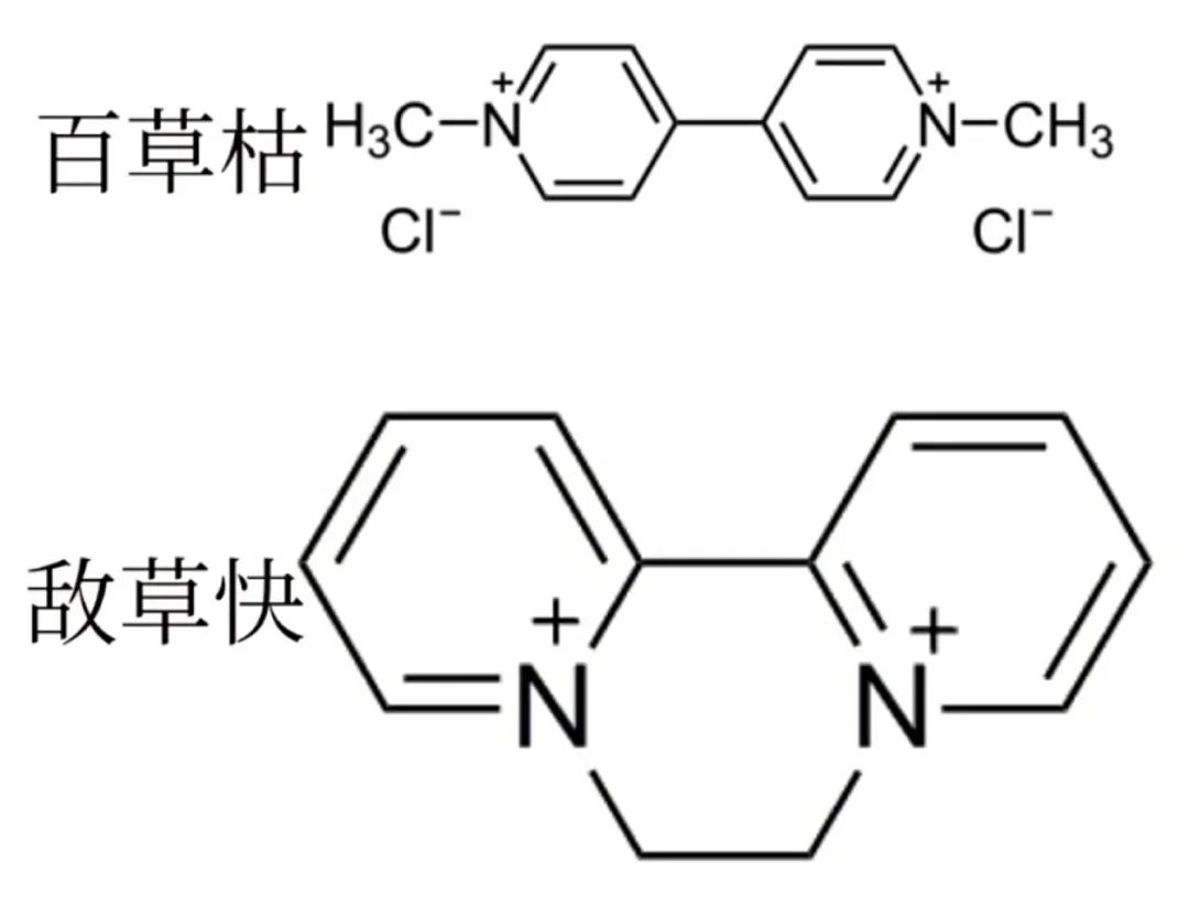
這則新聞剛被報道時,曾有網友指出新聞視頻中提供的藥瓶並不是百草枯,而是敵草快。

兩者雖然同為除草劑,但屬於不同的化合物。相較而言,如果攝入的是敵草快,中毒者生還的概率要比攝入百草枯大得多。

不少人因此抱有一絲僥倖心理,希望是媒體報道有偏差,誤將兩種除草劑混為一談。
遺憾的是,在女孩的血液和尿液裏,都檢測到了“百草枯”的成分。市面上也確有將百草枯混入敵草快裏一起賣的情況出現。

當時,參與會診的鄭大一附院急診內科全科醫學科主任、急診醫學部副主任高豔霞醫生曾表示,女孩的精神狀態還可以,臟器損傷暫時不嚴重。

沒過多久,又有悲傷的消息傳出。
從第四天(即10月5日)開始,女孩的情況突然惡化,尤其是肺部問題十分嚴重。
家屬們泣不成聲。

截止本文發出時,我們並沒有看到確切的最新報道,但依舊懷抱着最大的期待。
02
這顯然不是“百草枯”第一次公開亮相。
用這三個字當關鍵詞進行搜索,我們能找到無數慘痛的新聞事實。
22歲小夥與父親爭吵,當面喝百草枯搶救無效;

29歲男子欠賭債喝下百草枯;

32歲快遞小哥酒後喝下百草枯自殺;

小夥為逼母親回家喝百草枯,18天后離世……

百草枯似乎是一種“流行”的自殺手段。有報道稱,2001年至2008年,用百草枯自殺者近8000人。

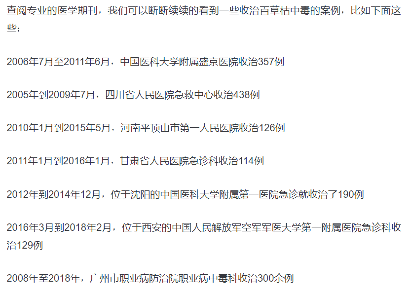
我還看到過這樣一個統計,過去幾年各大醫院收治的百草枯中毒案例都不在少數。

有人認為百草枯是無解的“死亡之水”,説喝下百草枯幾乎就等於宣判了生命的結束。
**這話當然不能這麼武斷,任何毒物都要配合劑量來談結果。**根據統計,濃度為20%的百草枯水溶液對成人的致死量約為5-15mL(1~3g)。如果服用劑量較小,再配合及時治療,還是有救回的可能。
在最近幾年服用百草枯自殺的案例中,有一個被成功救回的典型案例,——“殺魚弟”。
“殺魚弟”原名孟凡森,2010年因一段熟練殺魚的視頻在網絡上快速走紅。

2018年8月,由於和家人鬧矛盾,孟凡森服下百草枯,試圖自殺;治療約一週後,順利出院。
新聞報道里提到過,孟凡森在喝藥前食用了一碗炒麪和5個雞蛋,處於飽腹狀態,藥液吸收較慢;他喝下的百草枯是兑了冰紅茶以後的稀釋藥液,實際攝入量不大;服藥後15分鐘內趕到醫院進行洗胃。

多重因素疊加,才保住了一條性命。
這個案例從側面驗證了,“百草枯”對人毒性極大,且沒有特效解藥。
百草枯的毒性為什麼這麼強?
這得從它的原理説起。
“百草枯”的主要有效成分是“甲基紫精”,在化學上可以作為氧化還原指示劑,常常在實驗中作為電子供體。它可以抓取遊離的電子,並運輸到其它位置。

(**圖片內元素形象為便於理解進行了加工,****並不代表其真實形象與反應過程)**
換句話説,它很容易破壞正常的電子傳遞,擾亂人體內部規律的生物反應。
線粒體是人體內細胞進行有氧呼吸的主要場所,在反應過程中會產生遊離電子。電子在傳遞過程中釋放出能量被用於合成ATP,成為機體的能量來源。
當百草枯“抓住”這些遊離電子,電子傳遞鏈就會失效,ATP無法合成,機體失去能量供給。
打個粗略的比喻。
我們將人體內正常運轉的電子傳遞鏈(即呼吸鏈),視作一個完整的、可傳輸能量的環形鏈條。

(**圖片內元素形象為便於理解進行了加工,**並不代表其真實形象與反應過程)
百草枯抓取電子的過程,就好比拆卸掉了完整鏈條其中的一個鏈接,導致鏈條直接斷裂。
但這些被捕獲的電子依舊不是穩定狀態,它們蠢蠢欲動地想要去和身體內的其它物質產生反應。
這種非常態的反應就好比是在其它規律運轉的鏈條裏插入了一個新零件,鏈條自然“卡頓”了。
作用到人體內部導致的結果則是,某些細胞結構被改變,直接罷工,或造成更多破壞。

(**圖片內元素形象為便於理解進行了加工,**並不代表其真實形象與反應過程)
而且,這些被捕獲的電子釋放後,百草枯本身又恢復了原狀態,可以繼續捕獲電子,破壞平衡,形成一個極具破壞性的循環。
這就是百草枯與其它農藥最主要的區別。
其它農藥導致中毒通常是農藥本身與身體內的某些化合物進行反應,農藥在反應過程中會被消耗。
百草枯在人體內不會因為這些反應被消耗,它以類似催化劑的身份參與其中,能帶來持續性的破壞。
如果説其它毒藥是來勢洶洶的爆破者,百草枯則更像是一個不懷好意的搬運工。它把關鍵的機巧拆走了,搬去其它不需要的地方,好端端的工廠被迫罷工,只能歇業倒閉。
另外,人體肺部容易把百草枯中的甲基紫精分子誤認為是另一種內源性物質,將其吸收到肺泡細胞裏,導致百草枯在肺部組織中濃度異常高,引發肺部纖維化,影響氧氣跟二氧化碳的氣體交換。

百草枯中毒後的反應往往是持續升級的。
起初,只覺得胃部有輕微灼熱感,伴隨嘔吐與反胃,但體徵正常,很多人洗胃後就覺得沒事了。
一段時間後,呼吸困難、輕微乏力等症狀開始出現。慢慢地,身體器官開始潰爛,從舌頭開始,口腔、食道糜爛,肺部水腫、纖維化,喪失功能。
但百草枯對中樞神經損傷有限,中毒者會清醒地感受到從身體各處傳來的疼痛,卻無能為力。

他們逐漸説不出話來,只能拼命呼吸,但氧氣也已經無法進入到肺部。只剩徒勞的掙扎。
最終,他們往往死於呼吸衰竭或MODS(多器官功能障礙綜合徵),身心痛苦。
在可以查詢到的百草枯中毒案例中,我們能看到不少當事人給出的反應。
歷經兩個多星期離開人世的19歲少年謝雲濤,曾經表示,“感覺身體裏像有一條毒蛇,它肆無忌憚地、慢慢地吞噬自己的身體。”

剛剛畢業的大學生方亞南在喝下毒藥後,因太過痛苦主動求醫,但為時已晚,只能崩潰地喊“媽媽”。

在醫生面前,數着數走向死亡的28歲青年,能清醒地感覺到自己慢慢窒息。

“醫生説我的肺,就像兩個千瘡百孔的纖維袋子”。等待宣判的過程,自己如同一頭擱淺的鯨魚。

百草枯中毒者無法逃避自己的感受,——痛苦、痛苦,還是痛苦。
他們無法痛快地結束一切,而是清醒地掙扎着。人的生命力伴隨着痛苦的加劇一點點流逝,彷彿正在經歷一場殘酷的“活埋”,見證自己的“葬禮”。
03
為何毒性如此之強的百草枯,過去會在市面上大肆流通、任意買賣呢?——因為除了是毒藥,百草枯還是一種很好用的除草劑。
同樣的原理,在人體內作用時是催命符,在除草時用就成了高效的工具。
植物的生長發育離不開光合作用。光合作用的光反應階段,水被光解後會產生電子,當百草枯被噴灑在葉子上時,它會讓葉綠體無法產生糖類,並持續對植物細胞造成破壞。
陽光照射下,葉綠體的光合作用越是積極,就越容易給百草枯提供創造不穩定因子的環境,中斷植物的葉綠素合成。所以,被噴了百草枯的植物很快枯萎,達成除草的效果。
百草枯是一種廣譜除草劑,對多種雜草都能起到作用,見效快,還不會破壞土壤和植物根部,與土地接觸後會很快失去活性,所以除草之後不用重新耕地,可以直接投入種植。
農民樂於使用百草枯,因為它成本更低,使用方便。——熱銷時,百草枯年銷量能達到12萬噸。
百草枯的強毒性早就有所驗證,但百草枯發明者之一李德軍“沒想到會有人主動喝它。”
它被加入了警戒色、臭味劑和催吐劑,使原本無色無味的液體變成了有色、有刺激性氣味的液體,以避免誤服與投毒事件發生。
但百草枯致死事件依舊頻頻出現。
2012年,原農業部、工業和信息化部、原國家質檢總局就聯合頒佈了第1745號公告,對百草枯水劑採取限制性管理措施。

其中提到,自2014年7月1日起,撤銷百草枯水劑登記和生產許可、停止生產,保留母藥生產企業水劑出口境外使用登記、允許專供出口生產;2016年7月1日停止水劑在國內銷售和使用。
首條禁令推出後,有相關醫生表示,百草枯中毒事件在減少,但並未消失。

在很長一段時間裏,市面上依舊有各種渠道可以購買到這種被禁止銷售的產品。在對其它品牌進行抽檢時,也發現過百草枯的成分。

總有人趨於利益,暗中渾水摸魚。
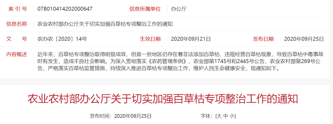
2020年9月25日,我國農業農村部再次提出《關於切實加強百草枯專項整治工作的通知》,此後我國市場上不再出現百草枯,無論水劑還是膠劑。
所有生產只能用於出口。

這則通知裏不僅提到要加強對其它除草劑產品的監督抽查,防止非法添加百草枯隱性成分,還強調了對生產原料的監管與信息監測。
然而,百草枯中毒事件依舊未從我們的視線中徹底消失,或許我們還需要更嚴格的監管與清查。
04
與此同時,我們不該把視線全部集中到百草枯身上,自殺事件頻發同樣是值得關注的議題。
就拿開頭的新聞來説,有人説孩子太脆弱了,一點點小事就接受不了,要死要活的,不珍惜生命。
我覺得這種説法有失偏頗。
暴露出來的小事往往只是導火索,在事情背後還有着經年累月積攢出的來龍去脈。
當孩子以這種衝動的、不理智的行為作為情緒出口時,似乎恰好説明雙方的溝通是長期缺失的。
這絕不是孩子單方面的問題。
我有一種感覺,整個社會的情緒價值被忽略了。
情緒,看不見摸不着,這種東西不像車子房子一樣可以明碼標價,但實實在在是生活的必需品。
情緒是一個人的根本。我們為什麼哭,為什麼笑,為什麼悲傷,為什麼快樂,都源於情緒。
人類對情緒的需求是始終存在的。他們渴望被關懷需要被重視,希望被温暖。
但當下,情緒已經變成了一種稀罕物品。
為什麼?因為可以被直觀看到的物質價值佔據了更多人的視線和大腦。
我們一直在為物質價值疲於奔命,用996的工作時間換一份可觀的工資,再用工資去換一套房子,再用房子去求一個小孩讀書的機會,反覆循環。
在循環中,情緒成為最不被需要的產物。它會影響工作效率,是我們把自我“工具化”的最大阻礙。
情緒的價值被輕視了,被打上了無用的標籤。
然而,當情緒缺失以後,我們才會意識到,這是不正常的。沒有情緒的人和機器有什麼區別呢?
機器只需要通好電、上好油就可以按照規劃的路徑完成任務,那麼人呢?也只能這樣嗎?
倘若如此,人又何以稱之為人呢?
相信很多人都聽過一句話,叫做有情飲水飽,我願意相信曾經這句話是可以實現的,那為什麼現在看來這就是個笑話。
因為生活成本在不斷提高,能夠滿足人們基本生活的底線和需求也在不斷提高,這種提高是不可自控的,是隨着時代發展變化的,能夠提供安全感的物質基礎要求也在升高。
安全感成為越來越奢侈的東西,所以人們的情緒出現了偏差和缺失,如果這種缺失和偏差一再放大就容易形成心理問題,導致很嚴重的後果。
為什麼現在這麼多殺豬盤案件,這麼多獨居老人被騙,其實也是利用了這種情緒缺失。
現代生活的壓力不斷上升,年輕人疲於工作,沒有生活,老年人獨守空房,沒有陪伴,而騙子恰好抓住了這個契機,給予老人們温暖和關懷,老人們當時容易上當受騙,把錢財拱手送上。
大家都忙忙碌碌,奔波於工作、房子,偏偏忽略了那些情緒上的東西。人和人之間需要互動、需要温度、需要關懷,需要重視情緒。
養育一個小孩,並不是只要供他衣食住行,也要讓他感受到陪伴,感受到情緒有意義、被重視。
但是,對於受到挫折的孩子們,以及大孩子們來説,就算一時之間沒有得到滿足或理解,我們也不應該用極端的方式來挑戰生命。
紀錄片《二十二》裏的韋紹蘭奶奶曾經説,“這世界真好,吃野東西都要留出這條命來看”。

就是這樣的。我們無法預測未來是怎樣的,但只要活着,就總會有希望吧。
或許也不會有什麼比現在更糟吧?——哪怕是懷抱着這樣的想法,也該熬一熬,撐下去。
想想沒有通關的遊戲,沒等到結局的小説,沒來得及和好的朋友,和等不到你的親人,撐下去。
畢竟生活多可貴啊,能珍惜就請珍惜吧。