諾獎得主Parisi在中科院理論物理所的一次合作_風聞
返朴-返朴官方账号-关注返朴(ID:fanpu2019),阅读更多!2021-10-19 11:51
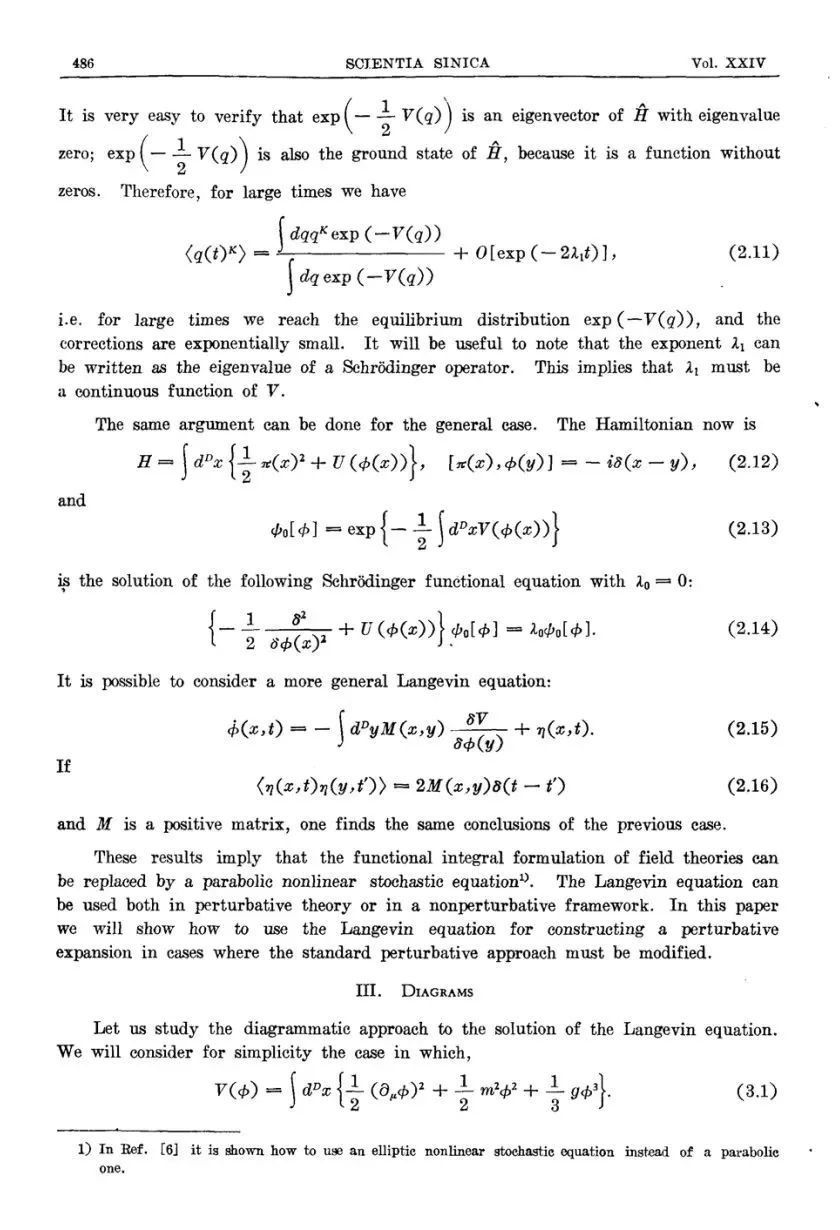
撰文 | 吳詠時(美國猶他大學終身教授、傑出理論物理教授)、莊辭(中國科學院理論物理研究所科研處處長)

瑞典時間10月5日下午宣佈的2021年諾貝爾物理學獎授予了美國物理學家Syukuro Manabe、德國物理學家Klaus Hasselmann和意大利理論物理學家Giorgio Parisi。其中,Giorgio Parisi獲得了一半的獎金,獲獎原因為“發現從原子到行星尺度的物理系統無序和漲落的相互影響”。
當天下午舉行的Nobel Prize Colloquium上,在介紹Giorgio Parisi的重要工作時,有一篇1981年發表在《中國科學》期刊上的論文引起了我們的注意。論文作者為Giorgio Parisi和Wu Yongshi(吳詠時),論文題目是《Perturbation Theory without Gauge Fixing(不用固定規範的微擾論)》,論文的第一完成單位為中國科學院理論物理研究所。











✦ 原文中文版 ▲ 【上下滑動查看全文】














✦ 原文英文版 ▲ 【上下滑動查看全文】
Parisi是意大利著名理論物理學家,早在70年代時,他在粒子物理方面的研究工作就已經為人熟知,為什麼這篇論文會以中科院理論物理所作為第一完成單位發表?又為何會發表在《中國科學》期刊上?這篇論文解決了什麼重要的科學問題,與諾獎的關係如何?吳詠時與Parisi的合作是怎樣完成的?帶着這些問題,我們聯繫了現在身在美國猶他大學的前中科院理論物理所副研究員吳詠時教授,經與吳教授連線訪談,我們瞭解到Parisi在四十多年前來理論物理所擔任客座訪問教授並與他合作發表這篇論文的來龍去脈。


Nobel Prize Colloquium上的介紹
吳詠時在訪談開始時就無限感慨地説:“我的人生際遇可以説與改革開放緊密地聯繫在一起。” 1965年,北京大學畢業的吳詠時被分配到中科院物理所工作,當了13年的實習研究員。1978年中科院理論物理所成立時,由於主要從事粒子理論研究,吳詠時隨物理所十三室一起調入理論物理所工作。在彭桓武、周光召及何祚庥等老一輩科學家的影響和領導下,理論物理所成立之初就十分注重開放交流。當時所裏的郝柏林老師和於淥老師在做統計物理、場論和重整化羣方面的研究,他們從法國請來了一位年青的同行專家Edouard Brezin。吳詠時參與了部分接待工作,他也因此與Brezin熟絡起來(Brezin後來成為法國科學院院長。他一直與理論物理所保持着非常不錯的合作關係,並於2005年接受邀請擔任理論物理所第一屆國際顧問委員會委員)。
改革開放以後,國際交流逐漸開展多了起來,除了請進來之外,也有了一些走出去的機會。1978年夏天,理論物理所收到了法國高等科學研究所(IHES,效仿美國普林斯頓高等研究院,由歐洲多國出資成立的專門從事數學和理論物理的研究機構,當時的所長Kuiper教授與中國數學家陳省身先生交情頗深)舉辦規範場論研討會的邀請,希望所裏能夠派一位研究人員參加。經討論,所裏決定由做規範場理論的吳詠時赴法參會。當時我國剛剛打開國門,許多手續的辦理還不是特別順暢,等簽證辦下來時,研討會已經結束。無奈之下,理論物理所通過國際長途與法國方面溝通,經雙方商議後仍然決定派吳詠時赴法交流。
1979年2 - 4月吳詠時來到地處巴黎郊區的IHES訪問。消息傳到了當時在巴黎高師任職的Brezin那裏,他非常高興地邀請吳詠時去巴黎高師參加那裏每週舉辦的理論物理研討班活動。恰巧,來自意大利的Parisi也在巴黎高師訪問,兩人通過Brezin的介紹相互認識,並在多次的討論中結下了深厚的友誼。除了研究工作上的探討和交流,Parisi也向吳詠時表達了自己對中國文化非常感興趣,希望能夠有機會去中國訪問的願望。回國後,吳詠時向當時理論物理所所長彭桓武先生、副所長何祚庥先生彙報了這件事情,得到了所裏非常快速的響應,立刻通過科學院發邀請給Parisi,邀請他第二年春天來所裏訪問。非常順利的,Parisi在1980年春天(4 - 5月)來到中科院理論物理所擔任客座訪問教授。吳詠時説,這件事情的順利程度是他始料未及的;可以説,沒有改革開放,這幾乎是不可能實現的。而理論物理所作為科學院第一批開放所,更是在當時走在了時代的前列。
因為之前在法國就有了很好的討論基礎,彼此有了一定的熟悉和了解,在短短兩個月的訪問期內,Parisi就與吳詠時合作完成了這篇在諾獎Colloquium上被提及的論文。Parisi執筆撰寫了英文第一稿,吳詠時將英文定稿翻譯為中文稿。説起這段合作的經歷,吳詠時用“非常默契和愉快”來形容。他説道,儘管之前就對Parisi在粒子物理、場論和統計物理方面的工作都有一定的瞭解,在Parisi來訪前他特意又花了兩週的時間,研讀他近期的研究工作。要知道,兩位從前不太熟悉的人,要想開始合作起來,一般是相當不容易的:兩個人的想法不是很容易合拍,要有相當的默契,交流、合作起來才能比較順利。那時候與國外科學家也沒有什麼交流經驗,因此,從某種意義上來説,這次合作的順暢對Parisi和吳詠時來説都是一種非常難得的運氣。
論文完成後,為了讓更多的人讀到這篇文章,吳詠時希望在國外期刊發表,並諮詢Parisi的意見。Parisi卻堅持要發表在中國的學術期刊上,他説,這是他第一次來中國訪問,他願意把文章發表在中國,以作為他訪問中國的紀念。當時,國內只有《中國科學》可以發表英文稿件,因此,這篇合作論文就很自然地投稿到《中國科學》。發表的過程也是非常順利的。那時國內有關領域(複雜系統和統計物理)的一些專家是身處國際前沿的,審稿人應該是對文章的內容頗為認可,因此很快就同意發表了。
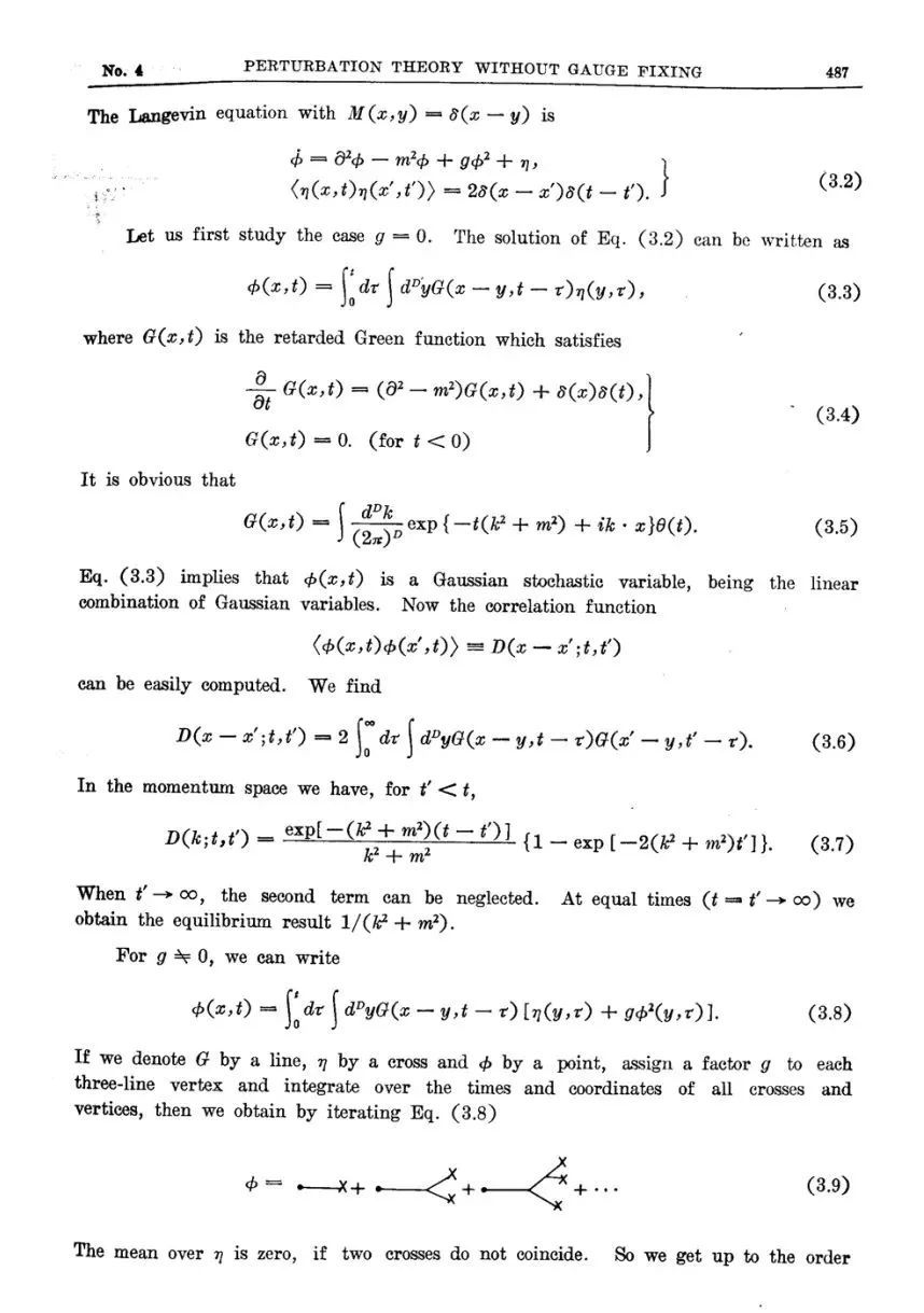
這篇論文的主要內容是從隨機過程的朗之萬方程出發,建立量子場論的微擾論展開。該方法可以應用於規範場理論,其獨特的優點是無需事先固定規範就能做量子場論的微擾論展開,正確計算規範不變的物理量。文章論及歐氏空間中量子場(特別是量子規範場)系統的漲落驅動其向平衡態的演化。而後者延拓到閔氏時空就得到物理的量子場系統的最低能量的基態。因為量子場論描述基礎理論中最為基本的系統,既可用以描寫基本粒子物理微觀現象,亦可描述凝聚態物質的宏觀量子效應,如量子拓撲物態等。所以本文出現後,引起了國際(特別是歐洲)粒子理論學界的重大反響。
在談到這篇文章的重要性時,吳詠時認為:”諾獎的頒獎詞強調Parisi在無序複雜系統中的一系列工作中,發現無序和漲落的關係或相互影響。Parisi的許多工作的思路,總結起來可以説,基本是用場論去做統計物理。我和Parisi的這篇文章也是討論統計物理方法和場論方法的關係問題。但我們的基本思路是用統計物理來做場論,而不是用場論來做統計物理。所以都是討論場論和統計物理的關係,但是做法和方向實際上是反着的。以前做量子場論有兩條思路,就是正則量子化和路徑積分量子化,而我們的思路是用統計物理來做量子場論,這是第三種場的量子化的辦法。所以Parisi和我的文章開闢了一條新路,就是把量子場論問題看作統計物理的問題來理解量子化和量子漲落,這是一個新的觀點,並且有一系列重要的優點。”後來在1982年的國際高能物理會議上,日本著名粒子物理學家南部陽一郎(2008年諾貝爾物理學獎得主)在總結講演中,把這套方案命名為隨機量子化,與正則量子化、路徑積分量子化並列。
吳詠時還詳細介紹了與Parisi的工作特點以及這次合作比較成功的經驗。他説道,Parisi在粒子物理、場論和統計物理方面都有非常出色的工作,可以説是一位天才物理學家。Parisi70年代中期在粒子物理方面的工作,是關於部分子分佈函數隨能量演化的方程,把QCD和部分子模型結合起來。這一工作使得實驗上能夠直接檢驗QCD漸近的自由理論,這是把QCD理論和實驗現象學結合起來的非常重要工作。此外,Parisi開始用用Monte Carlo方法來做低能QCD的計算模擬比美國Lattice QCD的工作要早1-2年。
在統計物理領域,Parisi在70年代末期得到了自旋玻璃模型(SK模型)的嚴格解(Parisi G. 1979. Infinite number of order parameters for spin-glasses Phys. Rev. Lett. 43, 1754),吳詠時當時就覺得這是一個未來可得諾貝爾獎的工作。這項工作是Parisi最有名的一個理論和計算的工作,也是此次獲得諾獎最主要和最直接的原因。這是一個公認的非常困難的理論物理問題,Parisi提出了複本對稱破缺的概念,並給出了對應的自由能。得出這個結果十多年之後,才有數學家給出了嚴格的證明。當時Parisi的這一套計算方法令人感到非常吃驚,也很難理解,裏面涉及許多隨機性的問題,但他卻把這個問題漂亮地解決了。Parisi來訪的初期,吳詠時希望能夠在自旋玻璃的問題上與Parisi合作繼續做一些工作,但Parisi卻認為這個工作已經基本上完成了,暫時沒有再繼續做下去的必要了。於是,吳詠時想到了另外一個比較重要的問題,是關於規範場論中的固定規範問題,這也是楊振寧先生在七十年代幾次回國一直在推動的規範場研究中的一個重要問題:從數學或者幾何上看,規範場就是所謂的“聯絡”,而數學或幾何上研究聯絡從來不需要“固定規範”。那物理上量子規範場論的微擾論也應該不需要非得固定規範不可。於是吳詠時就和Parisi在這個問題上開始着手合作研究。當時的理論物理所條件非常艱苦,沒有自己的辦公室;原先借用動物所的辦公場所(四個人合用一間辦公室),也退了回去。無奈之下,吳詠時只好隔三岔五地騎車去Parisi入住的友誼賓館,在賓館的房間裏討論和交流,就這樣在兩個月的時間裏,及時完成了這篇關於不需固定規範的微擾論的論文。
在談到與Parisi合作的經驗和對自己的影響時,吳詠時由衷地感嘆到,Parisi是有着非常鮮明的特點的天才物理學家,他在理論和計算機計算方面都有着相當深厚的功力,可以將解析的方法和數值的方法完美的結合起來。他的複本對稱性自發破缺的理論,一般很難理解;但他先通過計算機的模擬,得出新基態的能量低,而且熵是正的,這就表明他的想法確實是在正確的道路上。他的這個經驗充分證明了將解析的方法和數值的方法相結合的重要性;這是值得理論物理工作者學習的。如果只有理論,沒有數值作為支撐理論的依據,那麼理論的正確性就很難使人信服,從這個意義上來看,數值計算可以説是理論物理學家自己的實驗。吳詠時後來也是吸取了Parisi的經驗,在自己的研究工作中,除了理論方面的工作,也十分重視和計算物理學者的合作。他認為,這是物理學未來發展的一個趨勢。
吳詠時還談到了Parisi的一些有趣的特點,他作報告從來不用透明片或PPT,只講黑板,手推公式。Parisi參加學術活動從來都不聽完所有報告,只是選擇聽完幾個報告當天就離開。但他待人和藹,沒有架子,喜歡和人交朋友,這也是Parisi讓人印象最為深刻的地方。吳詠時特別談到,Parisi對中國的文化有極大的興趣。他來中國之前,已經自學了至少半年時間的中文,來中國後能夠簡單地用中文交流,可見Parisi對中國的感情。他堅持把和吳詠時合作的論文發表在《中國科學》期刊上,確實為《中國科學》大大地打了廣告。多年前,吳詠時就不時收到各國學者因為這篇文章問詢《中國科學》。現在互聯網發達了,這已不是一個問題。吳詠時聽説,因為發表論文的科學期刊的影響因子和分區是國內科研績效(包括提職升級)的主要指標,從而影響了國內年青學者投稿國內科學刊物的積極性。果真如此的話,以Parisi的堅持為典型,應該重視改革評價制度以鼓勵國內年青學者投稿,大力促進國內科學雜誌的成長和繁榮。
Parisi與理論物理所一直保持着聯繫,包括與郝柏林院士和於淥院士等。2006年,理論物理所成立了卡弗裏理論物理交流合作平台,2008年3月Parisi來卡弗裏所參加“信息系統的集體動力學”科研項目活動期間,為研究生講授統計物理系列課程。之後的幾年時間裏,應理論物理所科研人員邀請,Parisi也曾多次來理論物理所交流訪問。


Parisi在中科院理論物理所
基礎理論研究的重要性往往需要較長的時間才能得到證實和認可,這篇40年前完成的論文在中國的際遇,也是一個很好的例證。

Parisi和吳詠時(在Parisi 60歲生日會上)
吳詠時
美國猶他大學物理天文系終身教授,校級理論物理學傑出教授。美國物理學會Fellow。長期工作在理論物理(包括粒子物理、凝聚態物理、量子場論、弦論、多體統計、引力論和數學物理)國際研究前沿。主要興趣在於探討物理世界的基本規律及其數學(幾何、拓撲和代數)結構的研究,近年來特別關注量子(場和多體)理論的拓撲性質及其在拓撲物態、量子信息理論和處理中的應用。曾受邀在多個世界頂尖的理論物理研究中心進行多次講學和工作。包括美國普林斯頓高等研究院、加州大學聖塔芭芭娜分校Kavli理論物理研究所,法國巴黎高等師範學院理論物理研究所,中國北京清華大學高等研究院等。
本文經授權轉載自微信公眾號“中國科學院理論物理研究所 ”,原題目為《諾獎得主Parisi在中科院理論物理所的一次合作》。