芯片工藝的5nm和7nm是怎麼來的?揭開芯片工藝和摩爾定律背後的“秘密”_風聞
歪睿老哥-芯片研发工程师-聚焦芯片行业的那些事,唯武侠与芯片不可辜负2021-11-16 10:36
1:摩爾定律
1965年,硅谷傳奇,仙童“八叛徒”之一,英特爾原首席執行官和榮譽主席,偉大的規律發現者戈登·摩爾正在準備一個關於計算機存儲器發展趨勢的報告。
在他開始繪製數據時,發現了一個驚人的趨勢。
每個新的芯片大體上包含其前任兩倍的容量,每個芯片產生的時間都是在前一個芯片產生後的18~24個月內,如果這個趨勢繼續,計算能力相對於時間週期將呈指數式的上升。
這個就是大名鼎鼎的摩爾定律, 其對集成電路產業的發展描述,異乎尋常的正確。
總結來説:
1:集成電路芯片(wafer)上所集成的電路的數目,每隔18個月就翻一番。
2、微處理器的性能每隔18個月提高一倍,而價格下降一半。
3、用一美元所能買到的計算機性能,每隔18個月翻兩番。
你可能覺得摩爾定律平平無奇,只不過是一個總結?
其實這可以推導出了一個公式,那就是每18個月,在芯片規模不變的情況下,芯片面積減半。
這樣相同的大小的wafer,可以生產出多一倍的芯片。
如果上一代工藝芯片面積是1mm2,在新工藝上,面積就是新工藝的一半,也就是0.5mm2。
我們假設兩代工藝wafer成本一樣(一般新工藝會貴一些),那麼採用新工藝,其成本是原來工藝成本的一半。
這個就是摩爾定律揭示的現實:
那就是,採用新工藝的芯片,面積更小,功耗更優,頻率更高,成本還更低。
這個就是新工藝對老工藝降維式的打擊!
這些優點和好處就是驅動芯片工藝不斷進步的發動機。
也就是摩爾定律的內涵。
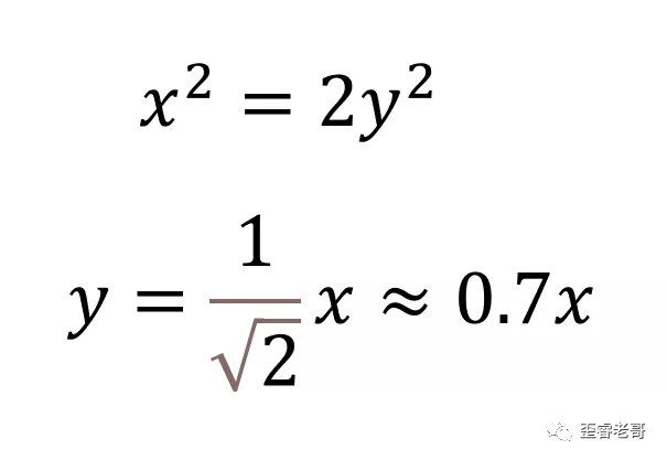
那如果芯片工藝進步,每個晶體管的尺寸就會縮小,那到底縮小多少?

如上圖所示,晶體管數量保持不變的情況下, 下一代新工藝的芯片面積是上一代的一半。
那麼X和Y什麼關係。
如果我們按照正方形來計算的話?

那麼新工藝大約是老工藝晶體管尺寸的0.7倍。
也就是晶體管會縮小0.7倍。
那根據摩爾定律,我們利用初中數學知識,就能算出每一代工藝的進步,從800nm開始(這個80586的工藝節點)。

而芯片工藝的發展也印證了這一點:
從0.8 μ m、0.5 μ m、0.35 μ m、0.25 μ m、0 .18 μm、0.13 μ m、90nm、65nm、45nm、32nm、22nm、16nm、10nm、7nm,5nm。
實際的工藝節點,符合了這個要求。
摩爾定律和現在芯片製程完全吻合。
神奇!
2:半節點
可能有些工藝製程知識的同學會説:
有點不對勁,
這個圖裏,製程很火的40nm,28nm,14nm跑哪裏去了。
對,這就涉及到一個芯片製造廠常用的手段。
shrink。
我們都知道,一個工藝節點研發成功後,其研發成本是很高的。
如果可以在這個工藝節點上持續優化,面積,功耗等等。
也是一種最大化利用原有投入的方式。
就像intel就在14nm上做的一樣。
14nm+++
持續優化。

而我們今天講的shrink,也是一種優化。
它本質上是利用光照(MASK)等比例縮放後。晶體管尺寸縮小一點,芯片仍然能夠正常工作,從而減少芯片面積,降低成本。
那麼shrink的比例是多少?
Shrink 一般可以將晶體管的尺寸縮小0.9倍。

大約每個邊長縮放為0.9;整體面積縮小0.81;
這個過程又稱為,芯片收縮(die shrink)。
然而,按比例縮小可能引入新的問題,例如漏電流增大,但是通過工藝參數可以來調節漏電,shrink在不改變工藝特性的基礎上,修修補補,也能挖掘這個工藝節點的潛力。
這些shrink後的工藝節點,也被人稱為半節點。
例如:
40nm是45nm shrink後的半節點。
28nm是32nm shrink後的半節點。
20nm是22nm shrink後的半節點。
14nm也可以看作16nm shrink後的半節點。
把前面的工藝,乘以0.9就可以了。
DIE shrink是芯片製造廠家來做的,和芯片設計公司沒有關係。
工程師設計完成的版圖都是 pre shrink的,而到了廠家生產的時候,直接進行shrink,生成的die的面積比版本等比例縮小。
所以我們現在芯片設計工程師,做40nm或者28nm等半節點工藝時,都有一個shrink的流程。
會發現,芯片的版圖比實際的DIE的面積要大。
如果我們計算最後的DIE(芯片)面積,實際上要算shrink之後的,而不是版圖的面積。
EDA工具標註的都是shrink前(pre shrink)的面積。
那就是設計公司給了芯片製造廠一張10X10的設計圖紙,而芯片廠生產的尺寸卻是9x9。
具體DIE,WAFER等定義,不熟悉的同學,可以參見老哥原來寫的的《人類高質量芯片工程師的那些“黑話”》
這些優化後的,40nm,28nm等等,成為了更成熟和長壽的工藝。
而原有的45nm,32nm等,與優化後的40nm,28nm相比,不再具有優勢,廠家不再推這些工藝工藝。
事實上,業界通常把45nm/40nm, 32nm/28nm, 22nm/20nm, 16nm/14nm 這些工藝節點,看作同一個工藝節點,是一代,只是廠家通過shrink這種手段,進行的優化。
加上shrink以後,我們看到目前的28nm,14nm,10nm,7nm,5nm都可以用摩爾定律上一節的初中數學知識算出來。
嚴絲合縫,理論和實際吻合的很好。
戈登.摩爾,真神人也!
3:柵極長度
但是,事實果真如此嗎?
這些數字裏面隱藏着一個極大的隱情。
我們來看一張圖:

大約從20世紀60年代到90年代末,節點的命名是基於它們的柵極長度命名的。IEEE的此圖表顯示了以下關係。
柵極長度(gate length)和半節距(芯片上兩個相同特徵之間的距離的一半)匹配工藝節點名稱,這個其實0.5um,0.35um,0.25um的一些命名的原因。

但是在28nm以下,由於採用finfet這些新的技術,這些和實際的節點和柵極長度,以及半節距(half-pitch)就匹配不上了

如果保持節點名稱和實際特徵尺寸同步,就會如紅線所示。
2015年前,芯片製造的最小工藝尺寸就會跌破1nm。
而實際上,廠家暗渡陳倉了,
而實際上,整個工藝曲線更接近藍線所示。
你以為的7nm,5nm,早已不是原來指的柵極長度(gate length),或者(half-pitch)半節距。
那這個7nm,5nm怎麼來的。
畫大餅來的!
畫大餅,這個你是不是比較熟。
公司的老闆最擅長搞這個,畫大餅,或者叫畫路線圖(roadmap)。
老闆説:未來三年每年增長一倍,今年銷售額1億,10年後就成為銷售千億公司。
關鍵是,這玩意不能這麼算,按照這麼算,幾十年後,地球都成為你們公司的,你們銷售額也完不成。
那麼芯片製造的大餅,或者(roadmap)是怎麼畫出來的?
由於半導體制造涉及巨大的資本支出和大量的長期研究。從論文中引入新技術方法到大規模商業製造的平均時間約為10-15年。
幾十年前,半導體行業認識到,如果有一個節點介紹的總體路線圖以及這些節點將針對的功能尺寸,這將對參與芯片流程的每個單位都用導引作用。
也就是説,比如,2025年,我們畫個大餅要搞1nm,那麼,這個時候所需要光刻設備廠家,刻蝕設備廠家,材料廠家,研究機構等等,都要瞄準這個目標來做。
這個路線圖,主要是“為大學、財團和行業研究人員提供未來的主要參考,以刺激各個技術領域的創新”。
也就是説,要給芯片製造從業者畫一個大餅。
多年來,國際半導體技術路線圖(ITRS)發佈了該行業的總體路線圖。這些路線圖延續了15年,為半導體市場設定了總體目標。
ITRS就是畫大餅的人!
那如何畫這個大餅(roadmap)?
當然是摩爾定律,也就是本文第一部分介紹的那樣。
摩爾定律這個就是這麼粗暴。
一直從幾百nm,幹到5nm或者3nm。
關鍵是,數學可以這麼算,物理能這麼搞嗎?
這麼搞,是不是有點太草率了。
4:營銷手段:寶馬5系和5nm
不久之後, ITRS(國際半導體技術路線圖)這個組織也明白了,這麼搞是不行的。
不能把柵極長度(gate length)或半節距(half-pitch)與節點大小聯繫起來的原因是:
因此這些尺寸要麼停止縮放,要麼縮放得更慢了。
粗暴的乘以0.7還能指望晶體管能工作。
這種晶體管,工業界製造不出來。
於是,在2010年,ITRS將每個節點上的技術,統稱為“等效縮放”。
也就是説,不用實際對應上,你覺得差不過就行。
也就是説,7nm,5nm,早已不是原來指的柵極長度(gate length),或者(half-pitch)半節距。
這種改變,反應了芯片製造業的現狀:
台積電的Philip Wong在Hot Chips 31主旨演講中説:“它過去是技術節點,節點編號,意味着一些東西,晶圓上的一些功能。”。
但是:“今天,這些數字只是數字。它們就像汽車模型——就像寶馬5系或馬自達6。數字是什麼並不重要,它只是下一項技術的目的地,它的名稱。因此,我們不要把節點的名稱與技術實際提供的相混淆。”

畫重點:不要把節點的名稱和技術實際相混淆
5nm,7nm這些和寶馬5,馬自達6沒有什麼區別。
這些只是營銷的手段而已。
不是大眾要把這個名字相混淆。
而是這些芯片製造廠商,搞這些營銷詞彙,不就是想混淆工藝製程的節點和晶體管的實際尺寸嗎?
雖然摩爾定律這艘大船進入淺水區,快擱淺了。
讓我們一起晃動這艘大船,假裝摩爾定律啓示的那樣繼續前進,
所以英特爾就有人提出來了。
不要扯,5nm,7nm了,直接比拼一下單位面積晶體管的數量好了。
下面就是這個公式:

英特爾的芯片製造專家Mark Bohr提出來的, 它認為每個芯片製造商在提及工藝節點時,都應披露其邏輯晶體管密度,單位為MTr/mm2(每平方毫米數百萬個晶體管)
這個也就是解釋了,為什麼英特爾的10nm和台積電的7nm,雖然看起來是兩代,但是二者的晶體管密度基本一樣。

但是,這個公式太複雜了。
怎麼可能有7nm,5nm對大眾的宣傳效果好。
但是,實話實説,英特爾本身自己在命名方案裏面,也沒有真正遵循柵極長度(gate length)的模型。
從下表來看,隨着工藝的進步,玩家越來越少了。

高端玩家就剩下了台積電和三星,還有一直要追趕的英特爾。
明年,三星和台積電的3nm都號稱要量產。
但是這一次,我們應該知道,這個只是一代工藝代號而已,和3nm本身沒有太大的關係了。
從7nm,5nm,到3nm。
摩爾定律不死。
只是,
步履蹣跚,垂垂老矣。
引用文獻:
1:Technology Node - WikiChip
2:How Are Process Nodes Defined? - ExtremeTech
3: TSMC’s 7nm, 5nm, and 3nm “are just numbers… it doesn’t matter what the number is” | PCGamesN