中國科大在宇宙起源和非線性原初引力波研究方面取得突破
None
中國科學技術大學網站12月15日消息,中國科大蔡一夫教授帶領國際合作團隊發現了嬰兒宇宙處在高能物理的“沙漠”能區時,存在原初引力波共振的非線性理論現象。原初引力波信號通過該現象過程,能給被共振放大4至6個數量級乃至更大,從而被原初引力波探測器檢出,可用於驗證某些傳統物理“不可觸及”的宇宙起源理論模型。這個新結果可以為國際上盛行的原初引力波探測實驗建設提供重要科學目標,也為搜尋超出粒子物理標準模型的高能新物理打開了一扇窗口。該成果以“Beating the Lyth bound by parametric resonance during inflation”為題,發表在國際知名學術期刊《物理評論快報》。

如果將現在的宇宙比喻為一名成長的孩童,那嬰兒時期的宇宙中,現在所有的物質和暗物質都曾經是以極為微小的基本粒子的形態存在。“嬰兒宇宙”温度極高,遠超現在高能物理實驗中能觸及的最高温度(能標)。這段時期的物理被稱為高能區新物理,因為超出當前探索能力,被稱為高能物理的“沙漠”區域。
當前探索宇宙起源的主要科技手段是去搜尋來自宇宙創生時期的時空漣漪,也就是原初引力波。它就像留聲機一樣忠實地記錄了宇宙在古早時期所發生的一切。然而,這些時空波動的幅度大小正是直接由嬰兒時期的宇宙能標所決定的。因此,能否捕獲到原初引力波幾乎成為了人類是否還有機會走出嬰兒宇宙的“沙漠”地帶,並尋找到超出粒子物理標準模型的高能區新物理的唯一關鍵線索。
“暴脹宇宙”是宇宙起源和高能區新物理的代表性假説,該觀點認為,宇宙在大爆炸創生之後約10^-30秒的一瞬間,體積急劇放大了約10^80倍。宇宙微波背景輻射天圖部分驗證該理論。但原初引力波作為暴脹學説另一重要預言,遲遲未被捕獲。原初引力波已成為國內外多個宇宙學實驗重點搜尋對象。一旦人類成功捕獲到原初引力波,宇宙是否發生過極早期的暴脹過程可以得到蓋棺定論的檢驗,高能區新物理能標也可精確測定。但如果暴脹恰好發生在嬰兒宇宙的高能物理“沙漠”能區(高於當前人類能觸及的最高能標,即對撞機實驗能標,但又遠低於相互作用大統一的理論能標),相應產生的原初引力波信號幅度會非常小,幾乎不能被宇宙學探測技術所察覺。傳統的學術觀點因此認為在這個能區範圍去搜尋原初引力波以及其相關新物理是“不可能完成的任務”。
在本研究中,蔡一夫團隊引入了一個具有參數共振演化行為的重場,使其與原初引力波發生非線性耦合,從而為原初引力波的共振增益提供了能量來源。並且暴脹背景演化的特殊動力學性質(專業術語為,慢滾暴脹)可使該重場和傳統的原初物質擾動之間幾乎互不干擾,從而確保暴脹學説與當前的宇宙學觀測能夠完美契合。
本研究通過構造一個具體的模型範例,精準地論證出:即便嬰兒宇宙是在超出粒子物理標準模型的“沙漠”能區經歷的暴脹過程,也能產生足夠大的原初引力波,從而理論上説明高能物理的“沙漠”也可能存在生機盎然的新物理“綠洲”。

圖1:高能區的物理沙漠中,存在着一小片新物理綠洲,由共振增益機制放大到可觀測的範圍,被原初引力波望遠鏡探測到。圖片來源:歐洲空間局/普朗克合作組
根據本研究預分析,這個通過非線性共振過程產生原初引力波的新理論起源機制有望在不久將來的宇宙微波背景輻射實驗中得以檢驗,例如國際的LiteBird小鳥太空望遠鏡,以及中國的阿里原初引力波實驗等。

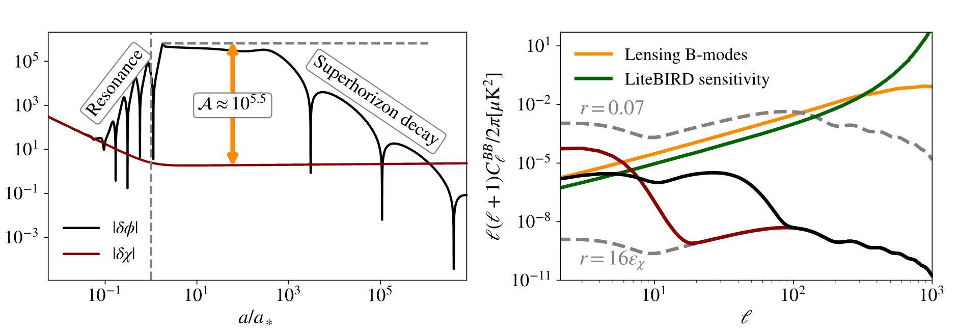
圖2:左:參數共振重場的幅度增益(黑線)以及與傳統原初物質擾動的比較(紅線);右:新提出的原初引力波共振產生機制所給出的理論預言信號(黑線、紅線)與國際LiteBird小鳥太空望遠鏡探測能力(綠線)的比較。
本工作國際合作團隊人員有:日本東京大學數物連攜研究所佐佐木節(Misao Sasaki)教授、博士後Valeri Vardanyan、中科大物理學院博士生江捷、本科畢業生周子涵(現美國普林斯頓大學物理系博士生)。
本研究獲得科學技術部國家重點研發計劃“引力波探測”重點專項、國家自然科學基金委應急管理項目、國際(地區)合作與交流項目、教育部中央高校基本科研專項、國家留學基金委創新型人才國際合作培養項目、中國科學院基礎研究領域優秀青年團隊、中科大國際化發展基金的資助。