我們的祖先幾歲生娃?科學家用Neanderthal基因進行了研究
一項新的研究表明,在過去 4 萬年的人類進化過程中,代際間隔(generation interval)出現了波動,這和此前的認知假設不同。研究結果表明,人類的生活史可以因外部和文化因素而發生明顯的變化。





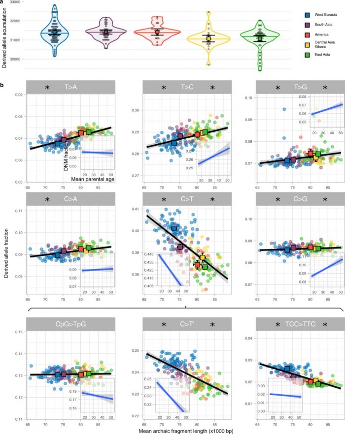
使用非洲基因組以外的尼安德特人片段作為分子鐘/基因鍾,來自丹麥奧胡斯大學和德國馬克斯·普朗克進化人類學研究所的科研團隊對歐亞和美洲人羣的世代間隔進行了預估。
該項目負責人 Mikkel Heide Schierup 教授説:“這種使用基因組數據的新方法使我們能夠檢索到埋藏在過去的關於我們人類生活特徵的信息,這補充了可以從考古學中瞭解到的我們的歷史”。
研究小組在 2021 年 9 月 7 日的《Nature Communications》上報告説,在過去的 4 萬年裏,歐洲人口的人類平均繁殖年齡比歐亞大陸東部和美洲的人口要小。
該研究的第一作者,博士生 Moisès Coll Macià 表示:“我們估計不同種羣之間的平均世代間隔相差 3 到 5 年。我們認為,這種差異可能是比較大的。例如,如果變化發生在過去的 1 萬年裏,那麼在我們研究的4萬年期間,我們可能稀釋了信號”。
Coll Macià 表示:“年長的父母比年輕的父母向他們的孩子傳遞不同的突變。在這項研究中,我們發現從尼安德特人的遺產中估計有年長父母的人羣也有暗示年長父母的突變。例如,我們看到東亞人口的父親往往比母親年齡大,而歐洲人口的父親和母親的年齡相近”。
那麼,為什麼歷史上世界各地的世代長度不同呢? 作者推測,這可能是對環境變化的一種反應。氣候的差異,以及人類社會的技術和文化發展,可能使生活條件更有利於或不利於繁殖,從而在決定哪個是擁有後代的最佳時間方面發揮了重要作用。
Schierup 教授建議説:“在未來,我們將能夠利用快速出現的大量古代和現代人類基因組序列,繪製出人類生殖年齡變化的精細地圖,我們可以將其與環境和文化條件聯繫起來”。