雙減後第一次期末考,數學簡單的要死,所以不用搞計算了?_風聞
贼叉-贼叉官方账号-原浙江大学物理系博士后2022-01-27 07:57
首發於公眾號“賊叉”
昨天有個粉絲留言問我這麼個問題:

我是這樣回答的:

這個回答是不是很賊叉?然後他又接着問:

咱接着答:

講真,在數學教育這塊,我還是有這個自信的。不是説中小學數學教育我就最牛,而是在一些基本觀點上,我們這些專家都是一致的。計算能力要不要練這根本都不是一個問題,學數學不把計算搞好是不可能把數學學好的。
真的是天牛根本不用看任何公眾號進行學習,他們存在的意義就是讓其他人膜拜,給教育號提供素材。我的號也是給廣大的普娃家長看的,包括我所提到的一些打基本功的方法,都是適合天賦一般或者沒什麼天賦,但是又肯吃苦的娃的。沒天賦又不肯吃苦的麼誰也救不了,不放棄留着幹啥?
至於第二個問題更是讓我哭笑不得,育兒號麼你就學學孩子吃什麼穿什麼,怎麼換尿不濕就行了,跟着育兒號學數學你還不如跟着我學美術更靠譜一些:

是的,這是我的美術作品:雞。
專業的人幹專業的事情,在中小學數學教育方面,普娃看我的號就足夠了。怎麼打基本功,該掌握什麼數學思想,什麼是正確的學習方法,怎麼做規劃,往前翻翻,要多詳細有多詳細。其他的號可能有水平比我高的,但是目前來説我沒有發現,與其你自己去甄別,不如看我就行。至於學數學跑去看育兒號你真是想拜菩薩結果進了教堂。。。
回頭來説説雙減后帝都第一回數學期末考試的事情。數學卷子我看了, 確實很簡單,也沒什麼計算:
五年級壓軸:

四年級壓軸:

某種意義上來説,那個育兒號説的也對。就這種題要什麼計算?
如果你娃只需要讀到小學畢業,這話真的沒毛病。
什麼?你娃還要讀初中?那這個計算水平可能不太夠;還要讀高中,還想參加高考考大學?
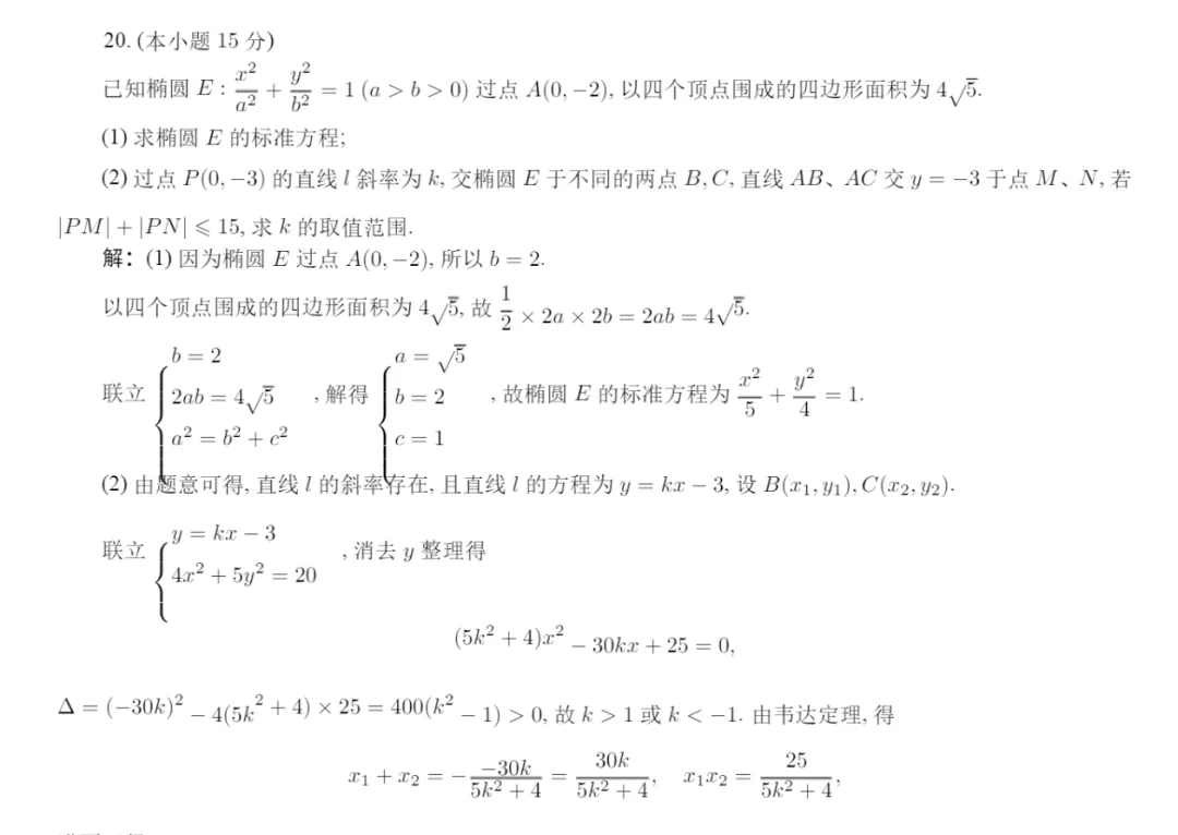
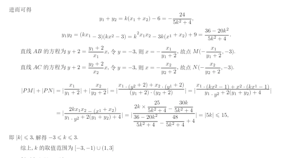
給你看看北京高考數學卷的壓軸題:




不好意思,這個題計算量不太大,我們來看計算量大的解析幾何:


一般來説,解析幾何題目的實際的運算過程至少是標準答案這些字的2倍以上,你就想你抄這些字需要多少時間?
要知道不光是解答題有計算量,選擇填空也是有相對比較麻煩的題的。到了中學沒有計算是寸步難行的事情,你哪怕有思路,但是算不出來那也是白搭。
畢竟作為國內數學教育的第一公眾號,我往往引領着潮流。我用個大號加粗紅字,你們看看有多少人跟着學?號有影響力了,自然也會有眼紅的,各種詆譭謾罵的,或者乾脆唱反調博出位,完全無視教學規律發奇談怪論的,講真多看這些玩意一眼都算我輸。
當然,你可以認為我自吹自擂,那是你的自由。就像我玩微博,很多當年被我拉黑的人換小號來跟我道歉,説當年是自己見識不夠錯怪了我。在中小學數學教育方面,我的水平真的比你想得要高的多的多,我説什麼你照做就完了。如果你一定要聽其他號的,別過個幾年再跑我這兒來哭,我是能原諒你,但是孩子耽誤的時間是補不回來的。