衞生紙到底該朝內放還是朝外放?這個問題人們已經吵了幾十年了_風聞
把科学带回家-把科学带回家官方账号-专注于孩子的科普教育2022-03-14 14:23
撰文 Skin
如果有天你蹲坑的時候忘記帶手機了,不妨在百無聊賴的時候拿起衞生紙研究一下。

如果捲紙上有數獨就更好了。| Pixabay
可不要小看了放在放在衞生間的捲紙,我們或許能用衞生紙就學好數學。而更離譜的是,因為一卷衞生紙該怎麼擺放的問題,人們已經吵了幾十年了。
一卷衞生紙到底有多長?
如果你想知道一卷衞生紙到底有多長,你的辦法是什麼?除了用媽見打的方式把一卷衞生紙全部都拆開,或許下次你可以試試用算的。

想知道一卷衞生紙有多長,我be like↑| Giphy
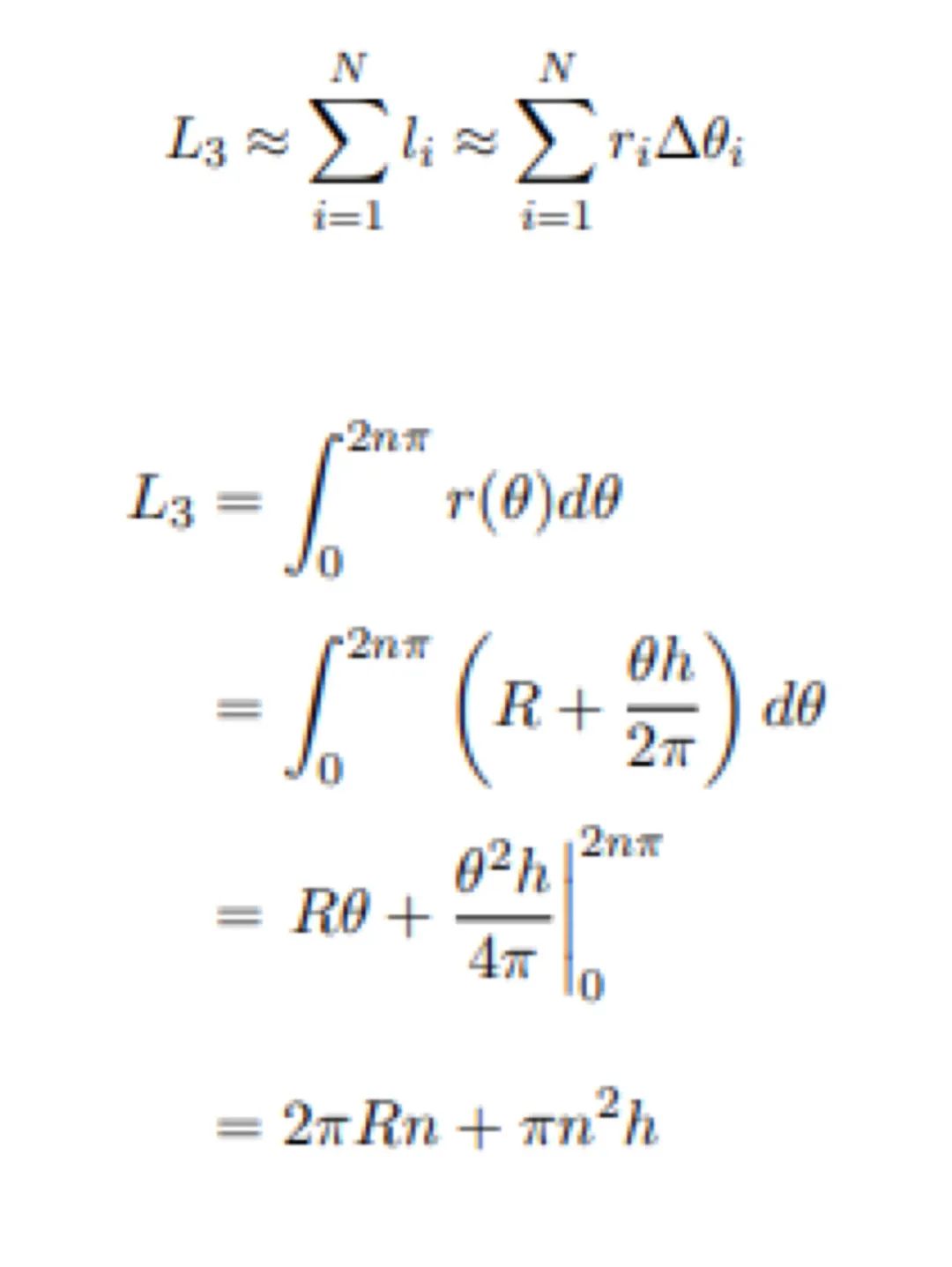
在數學老師眼裏,這只是一個簡單的微積分問題。學會算這個問題,下次蹲坑的時候你也可以輕鬆算出你家的衞生紙還剩多長。
從最基礎的開始算起,我們可以將衞生紙看作一個半徑為R的紙筒,上面一共纏了n層紙,就可以看成是套了n層圓環。紙的總厚度為D。而一張紙的厚度為h。

所以第一層的半徑就是R1=R,第二層R2=R+h,第三層R3=R+2h,第i層就變成了Ri=R+(i-1)h。
那麼,想要算出紙的總長度L1,我們只需要算出每一層圓的周長,再把它們加起來就行了。是不是非常簡單。

一個簡單的求和問題(省略了中間的計算過程)
不過,紙卷的情況要比這個更復雜,因為紙不斷纏繞的時候,圓環的半徑也在不斷增加。與其把它看成是一層一層的圓環,還不如直接看成一個螺旋,通過旋轉的角度來計算螺旋的總長度。然後再把紙巾轉過的所有角度都加起來就好了。
這時候,我們就得到了計算紙長度的公式,只需要把那些容易測量的數值都代進去就好了。

…………可以直接拉到下面看答案了(。
值得注意的是,如果你覺得算一張紙到底有多厚很有難度,可以把20張衞生紙疊在一起量,之後除以20就好了!

辦法總比困難多√!| Giphy
一卷標準的衞生紙(紙筒半徑55mm,紙張厚度20mm,單張紙厚度為0.36mm),紙張長度大約是22907mm。而你也可以帶着尺子去上廁所,算算你家的衞生紙長度。
這項估算結果的答案也得到了驗證。根據隔壁科學編輯人工手動數出來的結果,一卷衞生紙共有167格,這樣算下來的話,被虛線隔開的每一格都是13.7cm。

經過驗證,結果還真是分毫不差!| 把科學帶回家實拍
用衞生紙來學簡單建模和微積分是不是很有用?媽媽聽了都要連夜送你去上廁所。
你家的衞生紙卷怎麼放?
你家的衞生紙卷是朝裏放還是朝外放?為什麼?

1986年,專欄作家蘭德斯在雜誌上公開表示,衞生紙卷應該朝裏放。結果她的觀點受到了極大的爭議,蘭德斯那年一共收到了15000封信來討論這個問題。
而幾十年來,人們居然一直為這個問題爭論不休,而大家的理由也花樣百出,從美學到舒適度、便利性等都有自己的觀點。

打起來!打起來!
朝外放的人覺得,這樣更方便地取出自己想要的格數。而且如果紙卷朝內放,取的時候就很容易碰到牆壁,沾上細菌和灰塵。
而朝內放的人則認為,將衞生紙的末端隱藏起來會比較整潔,避免了孩子或者寵物把一整捲紙拉散。

表演一個捲紙消失術!| Giphy
在各種調查中,平均有30%左右的人選擇朝內放,約70%的人會選擇朝外放。
如果你剛好遇到一個和你意見相同的人,也許真的很幸運,因為這樣就會避免一些爭執。有調查就表明,關於廁紙到底朝向哪的爭吵,會出現在家庭、公司和公共場所中,也會真的影響心情。
調查發現夫妻情侶間真的會因為這個問題引發爭吵。而在阿蒙森-史考特南極站幾十個人住在一起時,人們也曾為衞生紙朝向哪裏的問題而提出投訴。

衞生紙:?關我啥事,勿cue | Pixabay
在700多個朝外放廁紙的人中,有24%的人會因為方向不正確而感到惱火,還有27%的人會在朋友家的衞生間糾正廁紙的朝向。
如果你覺得這個問題很無厘頭,那……不然呢?衞生紙究竟朝外放還是朝裏放,洗澡該先洗頭還是先洗澡,襪子該朝外卷還是朝內卷,似乎是很適合在上廁所的時候考慮的問題。
也正是因為如此,還催生了一些更貼心的設計。比如在廁所裏放兩個捲紙架,一個朝內一個朝外,互不影響。或是能旋轉的衞生紙架、自動出紙機等。

為了世界和平,只好放兩個衞生紙架了。| Wiki
每個人的取紙方式
居然是獨一無二的?
不得不承認,廁所與我們的健康密切相關,從廁所中就能看到一個人的飲食習慣、腸道健康和腎臟疾病等。所以未來,廁所可能是收集個人健康數據的重要場所。
但這也有一個問題:因為廁所往往是幾個人共用的公共場所,如果想要蒐集信息,用户識別就成為了一個重要的問題。

從廁所裏可以看出許多健康指標。| Pixabay
由於個人隱私,在廁所裏裝攝像頭和麥克風肯定行不通。每次上廁所時都手動輸入個人信息似乎也不太合理,科學家還提出可以從糞便中提取每個人的DNA,但這耗時又費錢,不是能輕易實現的。
就有日本科學家提出:我們可以通過扯衞生紙的方式來識別上廁所的人啊!

?
他們考慮到:在衞生間這樣的私密空間中,也許每個人都會有獨特的取紙方式。於是他們就將無線陀螺儀裝進了衞生紙架中,測量拉動衞生紙的角速度,通過大量數據訓練後,傳感器就能識別是誰上廁所了。
結果發現,按實際五人之家的場景中,這個陀螺儀傳感器的識別準確率是69.2%。不過這個數據量還是太小,如果經過更多數據訓練,這個裝置能識別得更準確。

從拉捲紙看出你是誰。| Giphy
雖然看着沒什麼大用,但上廁所可是一件正經事,捲紙也能算得上一項了不起的發明。古代人們如廁後,曾用樹葉、草、貝殼或苔蘚等各種材料清潔自己,直到19世紀捲紙才走上了流水線。人們也通過壓花、改善材料讓衞生紙更加舒適耐用也更加環保。
就算上廁所時沒有手機,你也可以多看捲紙一眼,説不定也能玩出花來呢。

真·玩出花。
一個冷知識:紙巾紙(各種抽紙面巾紙)和衞生紙(捲紙)是兩種紙。除了卷不卷的區別之外,其實兩種紙的衞生標準並不同。