35歲就活成人生“巔峯”?日後痴呆症的風險也在一步一步加大..._風聞
中国生物技术网-中国生物技术网官方账号-2022-03-29 15:07

35歲,似乎是職場一個非常敏感的年齡標籤。普遍觀點認為人到了三十多歲以後,代謝等身體各項機能都開始下降,吃得沒以前多,但長得比以前胖。因此給人以“人到中年,大不如前”的感覺。
這種感覺也許是錯覺,因為此前發表在《Science》上的一項研究首次揭示了“代謝生命階段”的四個時間點,表明中年發福並非代謝的“鍋”。因此,健康的飲食和生活習慣依然可以使人在35歲時保持穩健的代謝率。

然而,如果你在35歲時已活成人生“巔峯”(過多的脂肪纏身和過高的血糖水平),那麼你真的要當心了。因為,你正在面臨未來患阿爾茲海默症的巨大風險。

相信大家對阿爾茲海默症(AD)已經比較瞭解。這是一種最常見的痴呆症形式,至今無藥可醫。這種疾病會導致認知功能迅速衰退,同時伴隨着記憶支離破碎,給患者及其家庭帶來巨大的痛苦。然而,全球還在以每3秒鐘產生1例新病例的速度不斷擴大患者人羣。預計到2050年,全世界阿爾茲海默症患者將增加至1.5億以上。
因此,早期預防和識別阿爾茲海默症已變得越來越重要。
近日,發表在《阿爾茨海默症與痴呆症:阿爾茨海默症協會雜誌》上的一項新研究中,來自美國波士頓大學醫學院(BUSM)領導的研究團隊將年僅35歲人羣的膽固醇水平和血糖水平與未來患阿爾茲海默症的風險聯繫了起來。該研究表明從35歲開始控制膽固醇和血糖水平可以最大限度地降低未來患阿爾茲海默症的風險。

由於阿爾茲海默症患者通常會表現出腦血管疾病特徵以及β-澱粉樣蛋白(Aβ)的沉積和Tau蛋白過度磷酸化神經病理學。因此,此前已有研究表明血液中的膽固醇和葡萄糖水平與未來患阿爾茨海默症的風險相關。但這項研究進一步證實這些風險因素帶來的影響比以前認為的要早得多。
膽固醇我們都知道,它是在血液中呈蠟狀存在的物質。根據對人體健康的影響不同,膽固醇可分為兩種:高密度脂蛋白膽固醇(HDL-C),即所謂的好膽固醇,以及非高密度脂蛋白膽固醇(non-HDL-C),non-HDL-C主要包括低密度脂蛋白膽固醇(LDL-C),即壞膽固醇。
此前廣泛的研究表明血管和代謝風險因素,包括高水平的壞膽固醇(LDL-C)與認知能力下降和阿爾茲海默症風險相關,但好膽固醇(HDL-C)與阿爾茲海默症之間的聯繫還沒有確定,這或許是因為大多數研究對象的基線年齡都在55歲及以上。
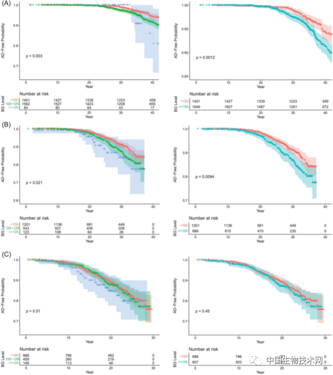
在這項新研究中,研究人員調查了來自弗雷明漢心臟研究中5124名5至70歲參與者的數據。從1971年至今,這些參與者平均每4年接受一次縱向檢查,總共進行了10 次。在每次檢查和成年後的三個年齡段(35-50歲、51-60歲、61-70歲),研究人員評估了阿爾茲海默症與多種已知心血管疾病和糖尿病風險因素(包括好膽固醇(HDL-C)、壞膽固醇(LDL-C)、甘油三酯、葡萄糖、血壓、吸煙和身體質量指數)之間的聯繫。
他們發現,成年早期(35-50歲)和中期(51-60歲)時的好膽固醇(HDL-C)水平可以作為阿爾茲海默症的預測因子。

具體而言,好膽固醇(HDL-C)每增加15mg/dL將成年早期和中期組的阿爾茲海默症風險分別降低了15.4%和17.9%。當調整血脂異常治療時,這種關聯在成年中期組中仍然顯着
此外,成年中期的血糖水平與阿爾茲海默症顯著相關,其影響幅度與好膽固醇水平幾乎相同,即每增加15mg/dL,患阿爾茲海默症的風險就會增加14.5%。(注:正常的空腹血糖為70-110mg/dL)
上述研究結果首次表明,包括好膽固醇(HDL-C)水平在內的心血管疾病風險因素一直沒有被認為是阿爾茲海默症的強風險因素,實際上,早在35歲時就這些因素就開始為未來發展成阿爾茲海默症作出貢獻了。
研究人員表示,因此,從成年早期開始就應該認真管理這些因素,通過有效的干預手段降低心血管疾病、糖尿病以及阿爾茨海默症的風險,以最大化地保障晚年的健康生活。
論文鏈接:
https://doi.org/10.1002/alz.12641
https://science.sciencemag.org/content/373/6556/808