中山大學物理學院在光學能脊態方面取得重要進展_風聞
中国基建报-《中国基建报》官方账号-中国基建报:中国基建领域标杆性报纸。2022-05-29 00:38

中山大學物理學院、光電材料與技術國家重點實驗室董建文教授研究團隊用簡單的全介質一維光子晶體實現了複雜的節線環簡併和能脊態,並實驗證實了能脊光子晶體帶隙中的表面態。該工作以“Ideal Nodal Rings of One-Dimensional Photonic Crystals in the Visible Region”為題,於近日發表在光學領域高水平期刊《Light: Science & Applications》上。
光學狄拉克錐是一種特殊的線性能帶簡併態,普遍存在於各種二維光子晶體中。通過引入空間反演對稱性破缺,光學狄拉克錐會發生退簡併從而過渡至能谷態。相對應的,光學節線環是一種存在於三維繫統的能帶簡併態,它在能帶中表現為一個閉合的圓環。通過引入對稱性破缺,節線環可以過渡至能脊態。能脊態具有豐富的光學行為,如電磁波負折射、表面結構依賴的古斯–漢森位移等。然而,複雜的三維結構不利於上述行為在更高光頻段實現,甚至進一步獲得新型功能性光子器件。為此,如何用簡單的光學結構來實現能脊態,成為該領域迫切需要解決的問題。
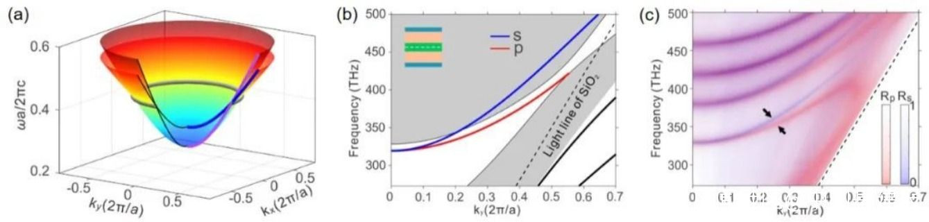
針對上述問題,研究團隊創造性地將一維光子晶體非週期方向的動量考慮進來,巧妙地利用面內的旋轉對稱性,最終設計出理想的節線環能帶。研究團隊使用電感耦合等離子體增強化學氣相沉積方法(ICP-CVD)製備了樣品,測量出500-1100 nm波段的角分辨反射譜,證實了節線環的存在。進一步,研究團隊打破光子晶體的空間反演對稱性,使得節線環簡併過渡到有帶隙的能脊態,並通過計算拓撲不變量預言該帶隙中存在受拓撲保護的界面態。結合前期開發的低損耗富硅氮化硅薄膜生長工藝,研究團隊製備出樣品,並測量600-1100 nm波段的角分辨反射譜,在實驗上觀測到界面態。此外,研究團隊還發現節線環和光學Tamm態之間存在密切的聯繫。光學Tamm態是在一維光子晶體和金屬的界面處可能存在的一種表面態。研究團隊發現金屬和節線環光子晶體的界面處必然會存在光學Tamm態,該結論為確定性指出並設計光學Tamm態提供了理論指導。研究團隊使用電子束蒸發方法在一維節線環光子晶體表面鍍上一層銀膜,通過測量600-1000 nm波段的角分辨反射譜證實了光學Tamm態的存在。
該工作為在光學波段實現表面態的負折射、表面結構依賴的古斯–漢森位移等光學現象提供了基礎。此外,通過引入其他類型的對稱性破缺,節線環也可以過渡至外爾點簡併。因此,該工作也為探索外爾點及其相關的拓撲表面態在微納光學中的應用提供了可能。

(a)節線環簡併能帶圖;(b)和(c):節線環解簡併後帶隙中表面態色散曲線的(b)模擬和(c)實驗測量結果
該工作由中山大學獨立完成(唯一署名單位),鄧偉民博士後為第一作者,陳文傑教授和董建文教授為共同通訊作者。上述工作得到了國家自然科學基金重點項目、廣東省傑青等省市項目,以及光電材料與技術國家重點實驗室和物理學院的大力支持。
撰文:鄧偉民