每日飲用2-3杯咖啡+茶可降低32%中風風險和28%痴呆風險_風聞
推医汇-汇聚健康行业资讯,推动学术交流。2022-05-30 14:38
2019年《柳葉刀》上發表了一項針對1990年-2017年中國居民死亡原因的分析研究,發現死亡率第一的竟是中風。同樣,《中國卒中報告2019》的數據顯示,僅2018年我國就有157萬人死於中風,佔我國居民總死亡率的22.3%。
咖啡和茶是全世界消費最廣泛的飲料之二,上午咖啡下午茶,構成很多打工人的一天。咖啡含咖啡因,是抗氧化劑和生物活性化合物的豐富來源。而含有咖啡因、兒茶素多酚和黃酮類化合物的茶,具有神經保護作用,如抗氧化應激、抗炎症、抗凋亡等。此前很多研究單一性地針對咖啡或者茶,探究兩者單獨的健康效應,卻鮮有研究討論兩者的聯合作用。事實上,咖啡與茶葉的消費密切相關,大約有70%的人同時引用咖啡和茶。但沒想到的是,咖啡與茶一起飲用,竟有預防中風的作用!

圖源:攝圖網
來自天津醫科大學的團隊就“咖啡+茶”的聯合效應進行研究,結果顯示咖啡和茶不管是單獨飲用還是一起飲用都具有降低中風、痴呆風險的作用,每日飲用2-3杯咖啡+2-3杯茶可以降低32%的中風風險和28%的痴呆風險。該研究發表在PLOS Medicine上。

圖源:PLOS Medicine
本項前瞻性隊列研究包括來自英國生物銀行(UK Biobank)的365,682名參與者,研究學者對參與者進行了長達10-14年的隨訪。在36.5萬名參與者中,男性佔45.7%,年齡涵蓋50到74歲,平均60.4±5.1歲。
在中位時間為11.35年的隨訪過程中,有10,051名(2.8%)的參與者發生了中風,5,079名(1.4%)得了痴呆症。
在全部參與者中,16.29%報告每天喝0.5-1杯咖啡和≥4杯茶,佔比最大;其次有13.68%參與者報告他們每天喝0杯咖啡和≥4杯茶。此外,44868名(12.27%)參與者報告説,他們每天喝2-3杯咖啡和2-3杯茶。
同時數據分析顯示,咖啡攝入量(杯/天)與茶攝入量有關(r = +0.337,P <0.001)。

圖源:PLOS Medicine
基線特徵顯示,與不喝咖啡也不喝茶的參與者相比,同時飲用這兩種飲料的參與者更有可能是老年人、男性、白人、前吸煙者、現有飲酒者、擁有大學學位,並且收入很高。



圖源:PLOS Medicine
研究學者發現,飲用咖啡、茶、咖啡+茶與中風、痴呆和中風後痴呆症均有關。
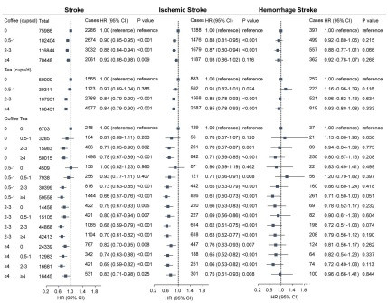
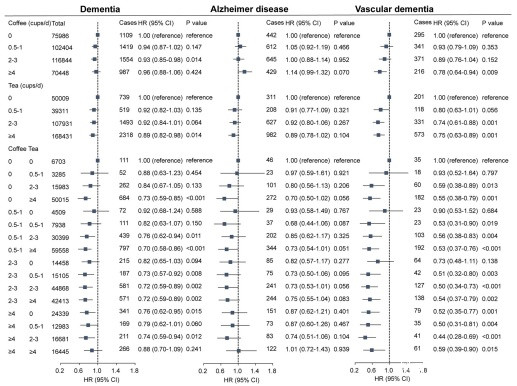
在多調整模型中,咖啡和茶與中風、痴呆症的關聯是U型的(非線性P<0.001)。數據顯示,咖啡攝入量為2-3杯/天,或茶攝入量為3-5杯/天,或咖啡和茶攝入量為4-6杯/天,與中風和痴呆症的最低危險比率(HR)有關,多喝或少喝都有益而無害。

圖源:PLOS Medicine
此外,研究學者還發現,咖啡和茶組合飲用比只喝其中一種降低疾病風險的效果更好。
降低中風風險:每天喝2-4杯咖啡可使中風風險降低8-12%,喝2-4杯茶可使中風風險降低16%,而每天2-3杯咖啡+2-3杯茶可以使中風風險顯著降低32%。

圖源:PLOS Medicine
降低痴呆症風險:研究學者發現,每天喝0.5-1杯咖啡和≥4杯茶可降低30%痴呆症風險,每天喝2-3杯咖啡和2-3杯茶與痴呆症風險降低28%有關。不過,雖然咖啡和茶攝入量的組合與血管性痴呆的風險較低有關,但與阿爾茲海默症引起的痴呆無關。
降低中風後痴呆症風險:咖啡和茶共同飲用還與中風後痴呆症的風險較低有關。與不喝咖啡和茶的人相比,每天喝0.5-1杯咖啡和2-3杯茶的人患中風後痴呆症的風險降低一半(50%)。

圖源:PLOS Medicine
校正混淆因素後,同時飲用咖啡和茶的參與者與只喝咖啡或茶的相比,中風、缺血性中風、痴呆症、血管性痴呆的風險分別降低11%、11%、8%、18%。也證明咖啡和茶共同飲用比單一飲用咖啡或茶的預防疾病效果更強。
即愛喝咖啡又愛喝茶的人,要“雙廚狂喜”了。
對於愛喝咖啡的人而言,咖啡的種類也有很多。像速溶咖啡、現磨咖啡、低因咖啡,它們之間又有什麼區別呢?對於疾病的發生又有着怎樣的影響呢?
在喝咖啡的受調查者中,有44.0%習慣飲用速溶咖啡,17.3%飲用研磨咖啡,而15.7%飲用低因咖啡。數據分析顯示,速溶咖啡和低因咖啡降低中風風險的能力沒有顯著差異,但研磨咖啡與較低的中風和缺血性卒中風險下降10%相關。
對於痴呆風險而言,與速溶咖啡相比,研磨咖啡可以分別降低痴呆、阿爾茲海默症、血管性痴呆的風險17%、23%、18%。與低因咖啡相比,速溶咖啡也可以分別降低痴呆、阿爾茨海默症、血管性痴呆的風險15%、19%、16%,研磨咖啡可降低痴呆、阿爾茨海默症、血管性痴呆的風險26%、33%、26%。
所以,在選擇咖啡的時:研磨咖啡>速溶咖啡>低因咖啡。
綜上,這項大型前瞻性隊列研究發現:
1. 茶和咖啡無論是單獨飲用還是組合飲用,均與中風、缺血性中風、痴呆症、血管性痴呆的風險降低有關;
2. 咖啡和茶共同飲用,比只喝咖啡或茶,中風、痴呆的風險更低;
3. 每天喝2-3杯咖啡和2-3杯茶的參與者,患中風、痴呆的風險降低約30%。
總之這項研究表明,適量飲用咖啡和茶,無論是單獨飲用還是兩者結合,與較低的中風和痴呆風險有關。平時想喝飲料的話,可以將咖啡和茶作為優選,有一定的護腦效果喲~
*注:文中的劑量單位為cup。1cup=150mL。
參考文獻:
Zhang Y, Yang H, Li S, Li WD, Wang Y. Consumption of coffee and tea and risk of developing stroke, dementia, and poststroke dementia: A cohort study in the UK Biobank. PLoS Med. 2021 Nov 16;18(11):e1003830. doi: 10.1371/journal.pmed.1003830. PMID: 34784347; PMCID: PMC8594796.