面臨“突破性感染”風險,加強針到底要不要打?_風聞
医学界-医学界官方账号-为你提供可靠、有价值的内容是我们的存在方式。2022-06-06 21:28
研究發現,接種三劑疫苗提供了更有效的保護,突破性感染的發生率僅為16.6%。
今年春節以來,OmicronBA.2在香港、上海等地相繼爆發。由於BA.2很強的免疫逃逸能力,目前感染病例很多都是突破性感染。加上此前一些研究顯示Omicron致病性降低,主要表現為上呼吸道症狀,這也是一些網友認為“Omicron等於大號流感”“加強接種沒有必要”的原因所在。但從大量研究來看,加強接種尤其是mRNA疫苗加強接種對於持續減少突破性感染、降低住院和死亡風險、減少病毒傳播風險都有重要作用。
加強接種後突破性感染率明顯降低,
mRNA疫苗效果更持久
5月9日,香港大學、港大深圳醫院和帝國理工在Medrxiv預印本平台發表了一項研究[1]。這項研究對比了兩劑疫苗和三劑疫苗在預防突破性感染上的差異,研究對象為香港7200多名公務員,其中82.7%接種過兩劑疫苗,14%接種過三劑疫苗,在Omicron BA.2爆發期間,29.3%的接種者被感染。研究發現,接種三劑疫苗提供了更有效的保護,突破性感染的發生率僅為16.6%。其中,突破性感染發生率最低的是第三劑選擇異源接種的人羣**(兩劑CoronaVac+一劑BNT162b2)****,突破性感染的發生率為6.3%。**與第三劑CoronaVac相比,第三劑接種BNT162b2症狀更輕、疾病持續時間更短。
香港中文大學6月1日最新發表的薈萃分析,篩選世衞組織平台38個文獻庫,納入100,190,476名新冠疫苗接種者的53項研究[2],研究顯示不管前兩劑接種何種疫苗,第三劑接種mRNA疫苗預防新冠感染的有效性,可與三劑同源mRNA疫苗相當,因此鼓勵第三劑接種mRNA疫苗以增強免疫力。
異源加強接種
對Omicron****所致重症有保護作用

在第五波疫情前,香港730萬人口共接種了1270萬劑疫苗,三劑接種均有非常高水平的預防重症與死亡保護率,保護率均達到了95%以上[3],説明現有的疫苗加強接種對於防重症和降低病死率依然有效。但香港加強接種數據不足三個月,巴西超過267萬受試者的真實世界研究回答了加強接種的持續保護作用,研究顯示[4]接種同源滅活加強針預防重症的有效性3個月後降至14.8%,mRNA疫苗異源加強的保護作用相對穩定,3個月後仍為66.9%(表1)。mRNA疫苗對重症預防能帶來更持久的保護,以色列的一項研究表明,至少在BNT162b2加強接種後7個月的時間內,疫苗對Omicron所致重症的保護不會減弱[5]。
表 1 同源/異源加強接種的有效性[4]

加強接種可以降低病毒傳播風險
感染者體內的活病毒載量,與重症率、康復速度、再傳染給他人風險息息相關。近期發表在《Nature Medicine》一項研究顯示[6],注射第三劑疫苗後的受試者鼻道病毒載量相比未接種者減少5倍,意味着即使發生突破性感染,再次傳播給周邊接觸者(家人、朋友與同事)的風險也會降低。丹麥一項新冠家庭傳播隊列研究顯示,與全程接種疫苗的個體相比,加強接種mRNA疫苗疫苗的羣體不僅感染風險更低,也可減少OmicronBA.1和BA.2的傳播風險[7]。目前這一結論主要是由接種mRNA疫苗的人羣數據得出的。

異源加強的免疫保護作用機制
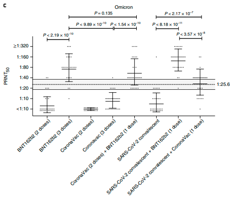
疫苗誘導的中和抗體水平隨着時間延長而下降,而隨着強免疫逃逸能力的Omicron的出現,全程接種誘導的中和抗體水平下降更顯著。接種2劑滅活疫苗後採用1劑mRNA疫苗進行序貫加強,可顯著提升受試者的中和抗體水平。中和抗體水平普遍超過保護閾值(見圖1)。這也從免疫機制上解釋了不同國家地區真實世界研究中觀察到的異源加強可以顯著減少突破性感染、降低住院和死亡風險原因。

圖 1 不同接種方案對Omicron的PRNT50滴度[8]
正是看到加強針帶來的持續和多方位的保護作用,香港特區政府鼓勵加快加強針的接種,尤其是老年羣體的接種。並於4月8日宣佈,已接種三針疫苗的60歲或以上人士,在接種最後一針疫苗至少三個月後,可接種第四針疫苗。後於5月20日宣佈,未曾受感染的18至59歲成人若有較高的暴露風險或個人需要,在接種最後一劑疫苗至少六個月後,可選擇接種第四劑新冠疫苗。
面對Omicron變異株,我們無須恐慌,疫苗加強接種,尤其異源加強接種仍然是減少突破性感染和病死率的有效手段。考慮到抗體水平會隨着接種時間的延長而逐漸下降,對高風險人羣是否有必要進行第四劑以及具體的免疫程序還有待深入研究。
參考文獻:
[1]Runhong Zhou,Na Liu,Xin Li,et al.Three-dose vaccination-induced immune responses protect against SARS-CoV-2 Omicron-BA.2.bioRxiv preprint doi:https://doi.org/10.1101/2022.05.09.491254
[2]Au W Y,Cheung P P.Effectiveness of heterologous and homologous covid-19 vaccine regimens:living systematic review with network meta-analysis BMJ 2022;377:e069989 doi:10.1136/bmj-2022-069989
[3]McMenamin ME,et al.Vaccine effectiveness of two and three doses of BNT162b2 and CoronaVac against COVID-19 in Hong Kong
[4]Folha de S.Paulo:Antes essencial,agora Coronavac corre risco de ser deixada de lado no Brasil–Agência AIDS(agenciaaids.com.br)
[5]Puhach O,Adea K,Hulo N,Sattonnet P,Genecand C,Iten A,Jacquérioz F,Kaiser L,Vetter P,Eckerle I,Meyer B.Infectious viral load in unvaccinated and vaccinated individuals infected with ancestral,Delta or Omicron SARS-CoV-2.Nat Med.2022 Apr 8.doi:10.1038/s41591-022-01816-0.Epub ahead of print.PMID:35395151.
[6]Amir O,Goldberg Y,Mandel M,et al.Protection Against Omicron Severe Disease 0-7 Months After BNT162b2 Booster.2022.medRxiv preprint doi:https://doi.org/10.1101/2022.05.04.22274647;
[7]Frederik Plesner Lyngse,Carsten Thure Kirkeby,Matthew Denwood,et al.Transmission of SARS-CoV-2 Omicron VOC subvariants BA.1 and BA.2:Evidence from Danish HouseholdsmedRxiv 2022.01.28.22270044;doi:https://doi.org/10.1101/2022.01.28.22270044
[]Cheng SMS,Mok CKP,Leung YWY,et al.Neutralizing antibodies against the SARS-CoV-2 Omicron variant BA.1 following homologous and heterologous CoronaVac or BNT162b2 vaccination.Nat Med.2022;28(3):486-489.doi:10.1038/s41591-022-01704-7