2022年高考數學新高考1卷分析_風聞
贼叉-贼叉官方账号-原浙江大学物理系博士后2022-06-09 07:41
首發於公眾號“賊叉”
我是前天晚上八點半左右拿到的新高考1卷的試題:

然後開始做。好巧不巧,偏偏那天晚上很多人問我各種題,所以當中耽擱了一些時間。當然我也沒那個心情全做,只做了最後兩題,大概用時四十分鐘:





如果按照這個速度,做完全卷肯定是有困難的,不過如果給我練仨月,這張卷子做到145分一點問題也沒有。
所以你説這卷子難麼?反正我覺得中規中矩。
那麼為什麼那麼多學生喊難呢?很簡單的道理啊,你覺得是學霸多還是學渣多?
你把這個題目難度降低一檔,照樣一堆人哭爹喊孃的你信不信?自古學渣遍地走,學霸猛做不抬頭。會喊的總是那些人,不信你讓他連考三年,他肯定連叫三年。還神特麼競賽題,競賽的題目和這個完全兩個路子好麼?
高考有難題不是很正常的麼?沒難題怎麼區分,怎麼選拔合適的人才上大學?高考數學沒有難題才是不正常的好麼?本來麼作文就是誰都能逼逼兩句的,數學題不會你就是不會啊!
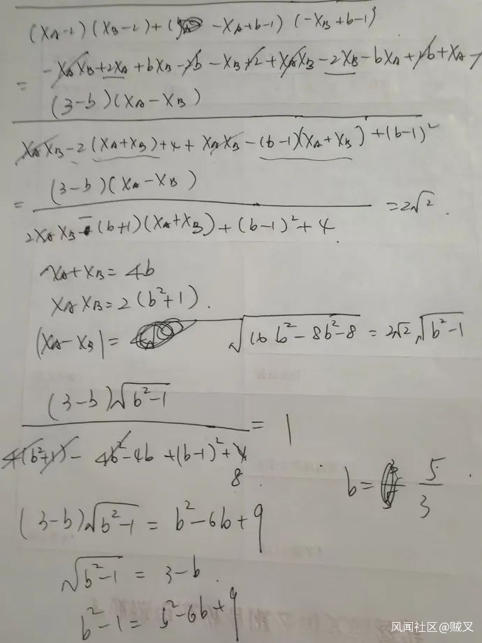
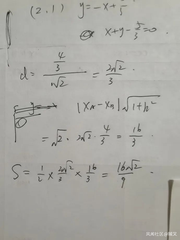
平心而論,反正這張卷子我覺得比去年的全國一卷要簡單一些。解析幾何的計算量有些大,但是沒有到離譜的地步。就是反覆運用韋達定理即可,沒有任何技巧可言,也沒有任何新意可言。
函數題第一問是送分的,這都拿不到根本別指望考到130以上。第二問其實分兩個小問:首先證明三個交點的存在性,其次證明三個交點橫座標成等差數列。
存在性的證明只要有極限思想和介值定理是秒得的,換句話説也就是證明等差數列稍微難一點,這個我確實想了大概有十分鐘——但是按照我多年閲卷經驗,你如果證明到存在性了,本題至少可以得到9分以上,難道還不夠麼?要多少是多啊,要啥自行車啊?最後那點分人家是留給衝145的人的,你到底有多少實力心裏沒數麼?
最後一問的出題邏輯是考核等差數列的構成要素是啥。如果能反應過來是首項和公差就ok了。我就是反應慢了點,一直糾結在首項,等突然想到公差也需要構造的時候題目就做完了。
不對啊,賊老師,為啥老師都説難呢?廢話,老師這時候能説實話麼?好簡單啊,學生不哭得更慘了?後面還咋考?老師一説難,大家一聽,哦,難的不是我一個,後面還有機會,這點良苦用心都看不明白?
那家長也喊呢?!家長懂個屁——你們非要我説實話,這句實話肯定要掉粉,那我也要説。
寫文章的時候我還沒看到今年的浙江卷。別跟我説哪年哪年的高考卷難,這麼多年這麼多卷子,08年江西卷、19年浙江卷、21年浙江卷才是yyds,其他的都是浪得虛名,都不夠打。天天喊着葛軍葛軍,你們知道陶平生麼,知道lsh麼,啥都不知道jjww個啥?
至於説為什麼中考簡單高考難,其他地方我不知道情況,某省現在中考都是擺設,重點高中早就把優質生源提前掐走了,至多留50%的名額給普考生。給學校爭光的是提前掐走的,至於剩下的50%無所謂誰考上來,而且真能考上的不説多好也不會差到哪裏去。真的優質生源早就搶完了,純中考生除去極個別好的,否則就算考上也就是重高裏的中游水平。
不可否認的,疫情對正常教學秩序的衝擊確實很大。作為半函授三年的孩子,覺得卷子難其實也正常。
行了,又説一堆你們不愛聽的,今天不知道又要掉幾百個粉了。。。