美國569萬人研究:每次新冠重複感染,死亡、疾病風險都會陡增_風聞
心之龙城飞将-2022-06-22 16:04
澎湃新聞
2022年06月21日 21:30:14 來自上海市
已有研究顯示,首次感染新冠病毒(SARS-CoV-2)會增加患者的疾病、死亡以及後遺症風險。然而,再次感染新冠是否會進一步增加風險,尚未有系統研究。隨着全球至少已有5億人感染新冠,奧密克戎變異株BA.4/5擁有更強的免疫逃逸能力和再感染能力,對再感染問題進行研究迫在眉睫。
近日,美國華盛頓大學醫學院、聖路易斯退伍軍人健康看護系統聯合發佈重磅研究:Outcomes of SARS-CoV-2 Reinfection。
通過對569萬人的大樣本進行研究,他們發現與首次感染新冠者相比,再感染者表現出全因死亡率、住院和諸多疾病風險的增加。無論是未接種疫苗,還是在第二次感染前打過1針或2次或更多針的人,風險都顯著增加。
重複感染帶來的風險在急性期最為明顯,但在再感染的急性期後仍然持續存在,大多數後遺症的風險在6個月時仍然很明顯。與未感染的對照組相比,對重複感染累積風險的評估表明,全因死亡的風險和超額負擔以及其他疾病的風險隨着感染數的增加陡增。也就是説,風險在1次感染者中最低,在2次感染者中增加,在3例或3次以上感染者中最高。
該研究結果強調了再感染的嚴重後果以及預防再次感染的重要性。
隨着新冠大流行持續了3年,對於越來越多的新冠感染者而言,第二次感染是否具有額外風險的問題很重要。研究者表示,對於已經感染過一次新冠的人來説,繼續保持警惕以降低再感染風險對於降低個人健康的總體風險可能很重要。
研究者表示,鑑於SARS-CoV-2可能在數年內(甚至幾十年)仍將對全球構成威脅,研究團隊呼籲迫切需要制定公共衞生措施,保護人們免受新冠病毒再次感染。研究者還表示,迫切需要採取藥物干預措施,以降低再感染的風險及其對健康的不良後果。
研究者使用了美國退伍軍人事務部的國家醫療保健數據庫建立一個大型研究隊列:包括25.7萬名的首次感染者,38.9萬名再感染者(2次或更多次感染)和539.6萬人的未感染對照組,以估計全因死亡率,住院率和一組預先指定的事件結果的風險和6個月疾病負擔。
研究發現與首次感染的人相比,再感染會增加肺和幾種肺外器官系統(心血管疾病,凝血和血液系統,糖尿病,疲勞,胃腸道疾病,腎臟疾病,精神健康障礙,肌肉骨骼疾病和神經系統疾病)的全因死亡、住院和不良健康結果額外風險。
重複感染帶來的風險在未接種疫苗者,在第二次感染前注射1針或2針或更多針的人都是顯著的。
一系列研究結果表明,再感染在急性期和後急性期增加了全因死亡率,住院和不良健康結果的非平凡風險。要減輕SARS-CoV-2造成的死亡和疾病總體負擔,要對再感染採取預防策略。
在新冠病毒再感染者中,36417人(12.29%)感染兩次,2263人(0.76%)感染三次,246人(0.08%)感染四次或更多。
再感染人羣中,第一次和第二次感染間隔中位數79天(48天-119天),第二次和第三次感染間隔中位數為65天(43天-97天)。
SARS-CoV-2再感染的後遺症
為了更好地瞭解再感染是否會增加風險,研究團隊首先進行了分析:檢查與新冠首次感染者相比,再感染者的全因死亡率、住院治療以及一系列疾病的風險。
研究團隊提供了兩種風險衡量標準:(1)再感染者相比首次感染者的風險比(HR,Hazard Ratio)(2)相比首次感染者,新冠再感染後的每千人超額疾病負擔。每千人超額疾病負擔,具體來説就是與參照組的每千人相應疾病發病人數基準線相比,超出的病人數量的估計值。
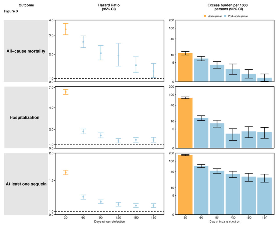
與新冠首次感染者相比,新冠再感染者在6個月內的全因死亡率增高,風險比為首次感染者的2.14倍(95%CI:1.97,2.33),每千人全因死亡超額死亡23.8人(95%CI:18.9,29.2);再感染者的住院風險也增加,風險比為首次感染者的2.98倍(95%CI:2.83,3.12),每千人超額住院負擔為95.47人(95%置信區間:89.17,102.03),並且至少有一種SARS-CoV-2感染的後遺症的風險比為1.82倍(1.78,1.88,每千人超額後遺症負擔為196.2人(95%置信區間:186.57,205.87)
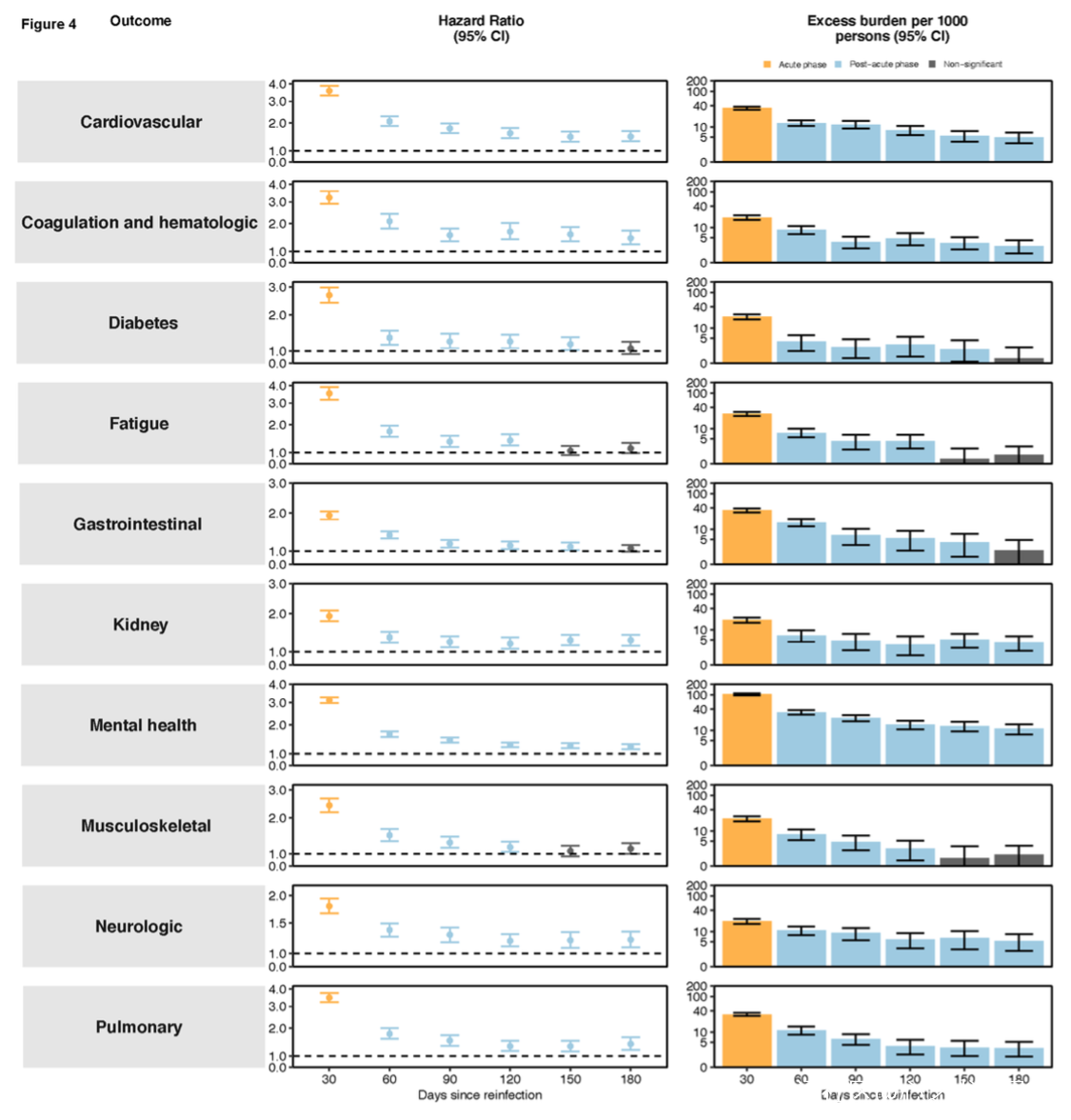
與首次感染者相比,新冠再感染者出現肺部疾病的風險比為2.49倍;每千人出現肺部疾病超額負擔為50.35人。
包括心血管疾病在內的幾個肺外器官系統疾病風險比為2.36倍;每千人超額疾病負擔為49.83人。
凝血和血液系統風險比為2.22倍;每千人超額負擔為25.93人。
疲勞的風險比為2.4倍;每千人超額負擔為33.39人
胃腸道疾病風險比為1.69倍,每千人超額負擔為27.45人。
腎臟疾病風險比1.70倍;每千人超額疾病負擔為14.31人。
精神健康障礙風險比為1.97倍,每千人超額疾病負擔為121.05人。
糖尿病風險比為1.62倍,每千人超額疾病負擔為21.98人。
肌肉骨骼疾病風險比為1.29 倍,每千人超額疾病負擔為12.97人。
神經系統疾病風險比為1.39 倍,每千人超額疾病負擔為36.02人。
再感染後6個月風險仍然明顯
研究團隊進一步分析SARS-CoV-2再感染後遺症風險是否存在於再感染的急性期和後急性期。為此,研究團從再感染時開始到180天跨度內,以每30天為節點檢查疾病風險和負擔。與首次感染者相比,再感染者在急性期和後急性期都表現出全因死亡率、住院和至少一種後遺症的風險和疾病超額負擔。
後急性期的全因死亡、住院和出現至少一項後遺症的風險和超額負擔會隨着時間的推移而逐漸減弱,但即使在再感染後六個月,風險的提升仍然很明顯。

器官系統後遺症檢查表明,在急性期,所有器官系統的風險比和疾病超額負擔都增加了;疾病風險和超額負擔在再感染的急性期持續存在,大多數在再感染後6個月仍然明顯。

兩次、三次或三次以上SARS-CoV-2感染的累積風險和疾病負擔
為了更好地瞭解多次感染者產生的累積風險,研究團隊評估了在第一次感染急性期後的6個月內沒有再感染,即只有一次感染者,兩次感染者,三次或更多感染者的風險,並與未感染的對照組相比。
對比單次感染者,二次感染感染者至少出現一種後遺症的風險增加比為1.57倍(95%置信區間:1.53,1.60); 每千人超額疾病負擔為150.36人(95%置信區間:142.95,157.79);相比二次感染者,3次或三次以上感染者至少有一種後遺症的風險增高至少 1.42倍(95%置信區間:1.28,1.57); 每千人超額疾病負擔128.33人(95%置信區間:91.88,164.31))。按器官系統檢查全因死亡率、住院率和後遺症的結果一致。與未感染新冠的對照組相比,只有一次感染的人至少有一種後遺症的風險比為1.35倍(95%置信區間:1.4,1.36); 每千人超額疾病負擔84.13人(95%置信區間:82.03,86.24);2次感染者的風險比更高,為2.11倍(95%置信區間:2.07, 2.15),每千人超額疾病負擔234.58 人(95%置信區間:227.08, 241.92),3次或3次以上感染者的風險比最高,達到3.00倍 (95%置信區間:2.71, 3.31); 每千人超額疾病負擔為362.82人(95%置信區間:326.37, 398.08)。
