吃我?還想吃我?再吃……_風聞
科普中国-科普中国官方账号-中国科协科普工作官方微平台2022-09-09 11:40
老餮們提起河魨想必是又愛又恨。美味是真美味,但是其毒性也是真令人生畏。它比氰化鉀毒性還要強上 1000 多倍,且起效極快,幾分鐘至幾小時內即可置人於死地。

海洋中的河魨。圖庫版權圖片,不授權轉載
對河魨的這種又愛又恨的心思,不獨老餮們才有,化學家也深有同感。愛的是,**河魨毒素對神經興奮具有特異性抑制作用,可以作為一種絕佳的神經阻斷劑,**在鎮痛、麻醉等醫學領域堪當大任;恨的是,這玩意合成起來也太難了!1972 年,當河魨毒素分子第一次在實驗室裏被合成出來的時候,用了足足 67 個化學反應步驟,但只達到了區區 1% 的收率。如此煩冗的步驟和如此低下的產出,使這條合成路線幾乎不具備實際的可用性。
那麼,化學家就沒轍了嗎?當然不會。他們一直在努力減少步驟和提高收率,今年 7 月,一項發表在《Science》上的研究將河魨毒素分子的全合成步驟縮短到了 22 步,且收率達到了 11%。這意味着河魨毒素的合成可以在工業中得到應用,基於河魨毒素的新型藥物開發也將成為可能。
01
甲之砒霜,乙之蜜糖
河魨為什麼會攜帶如此劇毒呢?河魨毒素雖見於河魨體內,真正來源卻不是河魨。**河魨的毒素主要來自它們食用的微生物(也來自共生、感染的細菌)。**換句話説,河魨的毒有不少也是吃進去的。河魨毒素也出現在同樣以這些微生物為食的其他動物——如海星、海螺、蟾蜍等——身上。只不過,這些動物體內有一套完善的“防毒”機制,所以同樣是毒從口入,它們吃了就啥事兒沒有。

劇毒的河魨。圖庫版權圖片,不授權轉載
如果是人類食用河魨毒素,就沒這麼幸運了。這種毒素進入人體之後,會迅速作用於神經末梢和神經中樞,阻斷神經細胞膜上的鈉離子通道,阻礙神經傳導,從而引起神經麻痹致人死亡。
毒性如此之烈,倒顯得它神秘了起來,人們不禁好奇:具有如此劇毒的分子,到底長什麼樣啊?
在河魨毒性為人所知的初期,受限於分析手段的不夠完善,河魨毒素的分子結構一直是個謎。早在 1909 年,就有日本學者對河魨魚卵的毒性成分進行了描述,並根據河魨所屬四齒魨科的名字(Tetraodontidae)為其命名為河魨毒素(Tetrodotoxin,簡稱 TTX)。1938 年,科學家首次從河魨體內提取出了較純的毒性成分。之後的幾十年裏,人們對河魨毒素一直只知其名不知其結構。直到上世紀 50 年代,河魨毒素的單體結晶才被分離出來,又過了十幾年,到了 1964 年,在京都的一次國際會議上,日本東京大學的 Tsuda Kyosuke、名古屋大學的 Hirata Yoshimasa 和美國哈佛大學的 Woodward 三個研究團隊同時報告了河魨毒素的正確結構,河魨毒素的真面目才終於浮出水面。
河魨毒素分子的化學式為 C11H17O8N3,分子量為 319.27,並不算是一個很大的分子。這下,化學家和生物學家更感興趣了:這個小東西,個頭不大,能耐不小啊!是值得好好研究研究嘛!
所謂**“甲之砒霜,乙之蜜糖”**,河魨毒素這種東西,表面上看是一種奪命毒藥,用對了地方卻能產生“以毒攻毒”的奇效。
由於河魨毒素能選擇性地與神經細胞膜表面的鈉離子通道受體結合,從而阻滯動作電位,抑制神經興奮的傳導,因此,人們可以利用它合成一系列控制神經細胞膜作用機制的藥物,調節神經細胞的“沉默”和“興奮”,起到鎮痛、麻醉、鎮靜等作用。不僅如此,河魨毒素還可以作為戒毒良藥,1998 年,加拿大一家公司就利用河魨毒素成功研製出一種名為 tetrodin 的戒毒新藥,可謂“以毒攻毒”的一大創舉。
02
化學家頭大的時候
沒有一個官能團是無辜的
我們常常在生物界尋找一些能替代合成化學品的天然物質,因為它們常常具有妙手天成的精巧結構和特定功能,我們就可以利用這些特點實現討巧的目的。例如,生物酶可以作為一種巧妙的催化劑,它精準、高效,催化活性和選擇性都碾壓實驗室裏費盡心思合成出來的一大波催化劑產品;又如,mRNA 技術可以利用 RNA 對蛋白質的調控機制去製造想要的蛋白質分子,省去車間裏一步步生產的麻煩事。這些工作的思路都是用“天然的東西”替代“人工合成的東西”,而 TTX 的合成跟這種常規思路其實有點“反着來”的意思——它是要用“人工的”方法,復刻 TTX 這種“天然的”神經毒素。更何況,TTX 的合成難度着實不小。

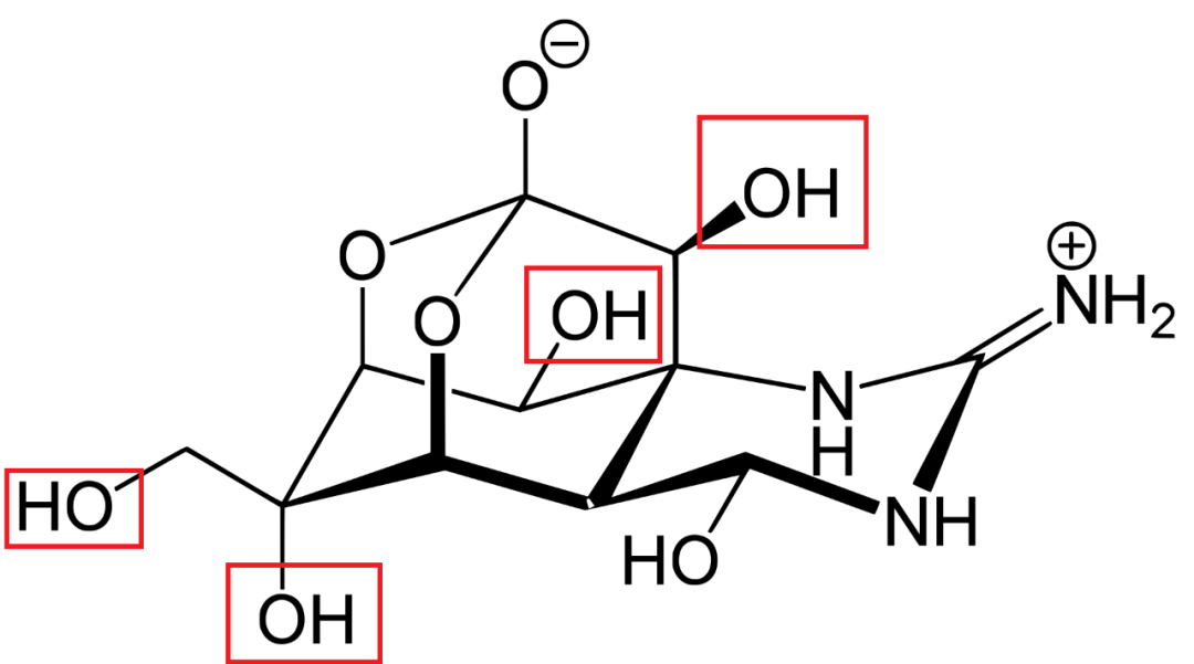
TTX 分子結構圖。圖片來源:Wikipedia
TTX 是一個看起來頗有些眼花繚亂的分子。其實,分子的碳骨架並不複雜,只是一個環己烷外加 C1、C2 側鏈,但與之形成鮮明對比的,是上面密密麻麻的官能團。
首先,上圖中最右邊帶有氮原子的部分(圖中帶有“N”的部分),叫做“胍基”。胍基是 TTX 具有劇毒的“元兇”,因為它在生理 pH 值下會帶上正電,並與鈉離子通道受體蛋白上帶有負電的基團相互作用;

圖片來源:Wikipedia
順着胍基往中心處捋,你會看到一個籠子似的結構(也就是由兩個六元環交錯而成的部分),這是一個二氧雜環金剛烷,也是 TTX 的核心結構;

圖片來源:Wikipedia
這個“籠子”裏裏外外還有好多個羥基,也給分子增添了許多複雜性,其中胍基附近的那幾個羥基也不是什麼好東西,它們會以氫鍵形式與鈉離子通道的受體結合,可以説是產生劇毒的“幫兇”。

圖片來源:Wikipedia
統統算下來,整個分子具有 4 個環和 9 個相鄰的立體中心。
**化學家頭大的時候,沒有一個官能團是無辜的。**官能團的密集程度再加上高度的立體特異性,使得 TTX 的合成十分不易,也因此,TTX 在合成化學領域的江湖地位很高,一直被化學家視作極富有挑戰性的研究目標。
第一個挑戰成功的,是日本名古屋大學的 Kishi 和 Fukuyama,他們在 1972 年首次報道了河魨毒素消旋體的全合成,這是有機合成的里程碑式成就,之後 30 餘年都無人超越。經歷了 30 多年的停滯之後,從 2003 年開始,TTX 的全合成迎來了快速發展,多個研究團隊提供了多種合成路線,也將合成策略不斷優化。但是,TTX 全合成的效率、收率和選擇性一直不盡如人意。
03
盤一盤這條簡潔高效的新路線
直到今年 7 月,一支由德國、美國、日本科學家組成的聯合團隊在《Science》上發表了這條全新的 TTX 全合成路線,他們以一種葡萄糖衍生物為起始原料,只需要 22 步就可以得到 TTX——首先在簡潔性上就贏了。簡潔性的另一面就是實用性和經濟性,這意味着我們所想的那些河魨毒素的妙用,像是拿它來做麻醉劑、做戒毒“神藥”等等,都將有可能成為現實。
如同眾多經典的全合成設計一樣,這條路線也有驚豔的巧思與充滿設計感的轉化。當然,儘管説反應步驟被“大幅”縮減到了“只”需 22 步,在門外漢看來,仍然有些雲裏霧裏。好在,研究團隊在論文中把這 22 步歸納成了 4 個大步驟,並且按照結果導向、逆向推演的方式闡述了他們的合成策略。
如果我們把這條 TTX 合成路線比作工廠裏一條生產線上的 4 個車間,那麼,最後一個車間的產物就應該是 TTX。倒推過來,進入第 4 個車間的反應物是炔基異惡唑烷(用 1 表示),它在第 4 車間進行的是氧化反應——當然,1 作為第 4 車間的反應物,同時也是第 3 車間的產物了。

圖片來源:Science
下面倒推到第 3 車間。要想在第 3 車間的尾端得到 1,可以讓雙環異噁唑啉(用 2 表示)作為反應物進入該車間,進行炔基親核加成反應。

圖片來源:Science
接下來就是怎麼在第 2 車間得到2的問題。在第 2 車間,硝基甲烷是一個關鍵角色,我們可以理解為它早早就待在第 3 車間裏,只等 3 一進來,就可以與之發生分子內 1,3 環加成反應,進而得到 2。所以説,第 2 車間的反應物和產物就分別是 3 和 2。

圖片來源:Science
雖然 3 看上去已經可以作為一條完整的合成路線的起點了,但是,研究團隊發現了一個比 3 更合適的起始原料——一種葡萄糖衍生物(用 4 表示)。以 4 為起始原料完成這條路線的話,所有的碳和兩個立體中心將全程保留,這樣後續幾個車間的工作量會稍微小一點,難度也低一些。那麼,在第 1 車間,發生的就是從 4 到 3 的轉化了。

圖片來源:Science
至此,這條全新的 TTX 全合成路線就算是盤完了,它以 22 步反應、11% 的收率創下了史上路線最短、效率最高的紀錄。那麼,它能派上什麼用場呢?
首先,它的高效性使其有了在工業上投入應用的價值,可以為基於河魨毒素的新型藥物的開發奠定基礎。另外,河魨毒素其實還有一系列類似物,把這條路線稍加改動,也可以用於合成其他難以獲得的河魨毒素類似物。再説了,河魨毒素在生物學、生態學、毒理學、神經科學等諸多領域還有很多值得深挖的東西,這項工作沒準兒又能為其他領域的研究提供靈感呢!
來源:本文由科普中國出品,顧淼飛(科學畫報)製作,中國科普博覽監製
選送單位:中國科學院計算機信息網絡中心
本文封面圖片及文內部分圖片來自版權圖庫,圖片內容不授權轉載
原創圖文轉載請後台回覆“轉載”
