領英悄悄拿2000萬用户做了5年實驗:找工作這事兒,不熟的人更靠譜_風聞
量子位-量子位官方账号-2022-10-02 13:48
魚羊 發自 凹非寺
量子位 | 公眾號 QbitAI
當2000萬人在領英搞職場社交的時候,殊不知平台正在悄悄拿他們做實驗。
足足五年後,最新結論出現:
那些跟你沒那麼熟的朋友,比你的親密友人更能幫你找到工作。
研究來自領英和哈佛商學院等研究機構,已經在Science上發表。

具體而言,他們在5年時間裏,利用A/B測試,在“猜您認識”這項推薦功能中,向2000萬用户推送了不同版本的算法。
結果發現,對找工作最有幫助的,往往不是那些與你互動最頻繁、聯繫最緊密的好友,而是“中等關係”好友。
對,就是列表跟你有10個左右共同聯繫人,但平時也不咋互動的人。

具體怎麼一回事兒,一起來看。
面向2000萬人的5年期社會實驗
要説清楚這個事兒,咱們還得從“弱關係”(weak tie)理論説起。
1973年,美國社會學家馬克·格蘭諾維特發表了一篇名為《弱關係的力量》的論文。
這篇論文被認為是最具影響力的社會學論文之一,引用次數已達到近6.7萬次。
格蘭諾維特在論文中提出:
人們與頻繁接觸的親朋好友的關係,屬於一種“強關係”,通過這種關係獲取的往往是同質化的信息。
社會上更為廣泛的是一種並不深入的人際關係。這種弱關係能夠使個體獲得通過強關係無法獲取到的信息,從而在工作和事業上,在信息的擴散上起到決定作用。
簡單來説,就是沒那麼熟的人往往能提供來自另一個社會關係網絡的信息。
具體到找工作這種事上,也就是求職者能從“弱關係”裏獲得更豐富的職位信息。

此番領英的超大規模實驗,正是給這一理論提供了支持性證據。
論文作者、領英數據科學家Karthik Rajkumar提到,在研究中,他們設置了7種“猜您認識”算法的變體。
比如,其中一種變體會讓用户之間形成更多的聯繫,包括更多的弱關係。而另一種變體在給用户推薦更多聯繫人時,只推薦具有強關係的人。
在為期5年、面向2000萬用户的大規模測試之後,領英獲得了大量隨機實驗數據。數據分析結果顯示:
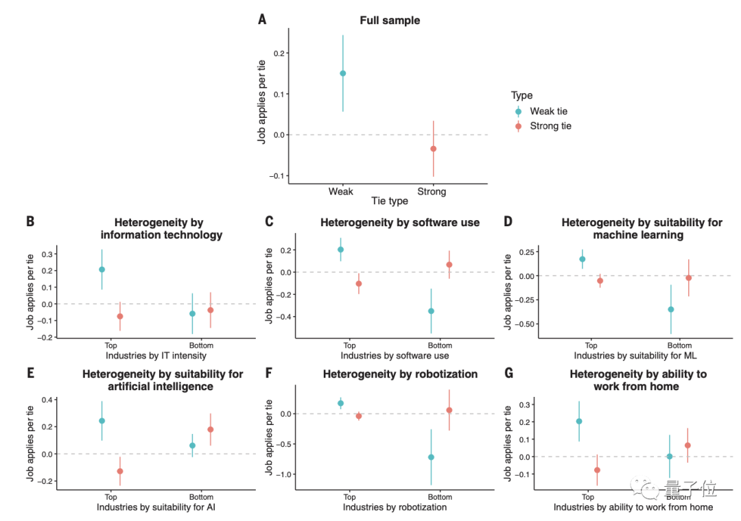
在領英上,相對較弱的社會關係在促成就業方面的效果,能達到較強社會關係的2倍。

****△左圖為最小二乘法迴歸分析
這裏“較弱的社會關係”指的是擁有10個共同好友的情況,而“較強的社會關係”指的是擁有20個以上共同好友的情況。

需要説明的是,儘管在以共同好友數量(上圖)和以互動強度(下圖)為關係評價標準的實驗中,最小二乘法迴歸分析均顯示,強關係與換工作的概率增加有關,但針對大量樣本、持續5年、覆蓋世界各地區的實驗分析結果均顯示了相反的情況。

最終,研究人員得到了三個主要結論:
相對弱的關係更能增加工作流動的可能性。
以共同好友數量為評價標準,關係強弱和工作流動之間存在一個倒U型關係,即中等關係增加工作流動的可能性最大,強關係增加工作流動的可能性最小;以互動強度為評價標準,弱關係對工作流動影響最大,強關係則影響最小。
增加共同好友數適中、互動性較弱的關係節點,對找工作這件事最有利。
另外,論文還提到,弱關係的力量是因行業而異的:數字化程度較高的行業中,弱關係力量更強;而在數字化程度較低的行業中,強關係對找工作更有利。

實驗引發爭議
在領英的這一實驗結果引發關注的同時,爭議之聲也隨之而來。
紐約時報就援引專家觀點,尖鋭地指出:
領英的做法可能改變了許多人的生活。對人們進行長期、大規模的實驗,可能會影響他們的工作前景。
並且領英用户對此實驗並不知情。
但也有網友指出,A/B測試是科技公司應用算法的常見手段,陰謀論大可不必。但關鍵是各組之間的差異到底有多大。
如果差別大到有如白天和黑夜,那麼領英這麼做確實不道德。

領英的官方發言人亦對此事進行了回應:
我們只是在努力為用户做出更好的推薦。
在測試期間,有一些人比其他人早一兩個星期得到了更好的算法,這就會在數據中產生足夠的變化,使我們能夠觀察到並進行分析。
實驗的對象是算法而不是人。
那麼,你怎麼看?
參考鏈接:
[1]https://www.science.org/doi/10.1126/science.abl4476
[2]https://arstechnica.com/tech-policy/2022/09/experts-debate-the-ethics-of-linkedins-algorithm-experiments-on-20m-users/