張益唐新成果首次公開直播,這回好像能看懂?_風聞
量子位-量子位官方账号-2022-11-08 21:48
魚羊 夢晨 發自 凹非寺
量子位 | 公眾號 QbitAI
張益唐在北大學術報告,各平台超10萬人在線觀看,一起見證歷史!
張益唐攻克朗道-西格爾零點猜想的消息,不斷牽動人心。
此事也因為論文在arXiv上公佈,以及他本人首次公開直播介紹成果,而再次被推向高潮。
一位學數學的朋友表示,“今天睜眼第一件事,就是看張益唐的直播”。

在這次報告中,張益唐再次提到了“大海撈針”。
有人説他證明孿生素數猜想就像大海撈針,他自己則覺得朗道-西格爾零點猜想的證明更像大海撈針。
這次的學術報告,讓張益唐有機會深入介紹了他這個“被閃電擊中兩次的人”究竟是怎麼“大海撈針”的。

據浙大數學教授蔡天新透露,張益唐的研究生導師、中科院院士潘承彪聽了報告後評論到:
聽了益唐講的想法很清楚,這是一個重要的篩法新思想,有很大發展潛力,可實現起來很難。
從大海撈針到另闢蹊徑
朗道-西格爾零點猜想,是廣義黎曼猜想的一個特殊形式。
簡單來説這個問題可以這樣理解:數學家們想要證明,狄利克雷的L函數並不存在一個非常接近1的零點(即朗道-西格爾零點)。
在朗道-西格爾零點猜想中,L函數的實零點與1的距離應為:

面對這個問題,一開始,張益唐的想法是這樣的。
首先,構造一個實數序列 {xn},如果存在朗道-西格爾零點,就推出xn≥0。
那麼只要證明有xn<0,朗道-西格爾零點就是不存在的。
而根據塞爾伯格篩法,這個問題就變成了,要找到一組實數序列 {ξn},使得:

張益唐形容,找這個ξn,就是一個大海撈針的過程。但直到他把海底的情況都摸清楚了,也沒找出這根針來。
不過到這時候張益唐發現,即使沒有這根“針”,他也能解決這個問題。
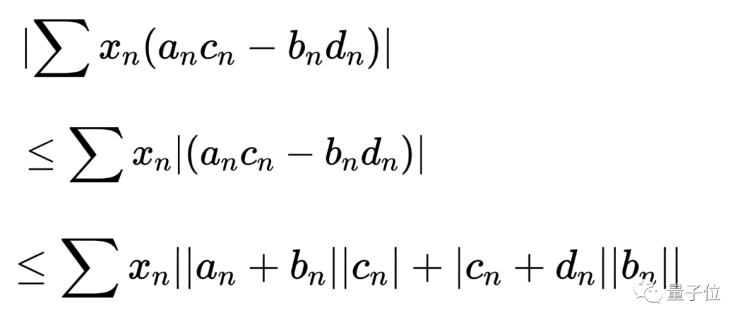
這個新想法,被他歸結為一個非常基礎的式子:ac-bd=(a+b)c-(c+d)b。
展開來説,就是張益唐引入了兩組序列 {an+bn} 和 {cn+dn}。
他證明,xn與 (an+bn)^2的乘積之和非常接近0。第二組序列同理。
這時候,假定xn≥0,基於 ac-bd=(a+b)c-(c+d)b,就可以推出以下結果:

接着根據柯西不等式,估計左右兩邊式子的上界,就會發現,這個不等式的左邊比右邊大,是不成立的。
這樣,張益唐就得到了3個命題,最後通過證明3個命題,得到實零點與1之間的距離應小於:

這部分更具體的細節,在論文的第二節。
改進沿用70年的數論方法
省去很多繁瑣細節,張益唐只用了40分鐘左右就儘量以易懂的語言介紹了自己艱深的研究。
接下來的觀眾提問環節,很多人關心這個成果究竟能用在什麼地方?
在此前活動中張益唐曾表示,它比孿生素數猜想的意義更大。
朗道-西格爾零點猜想有點像黎曼猜想那樣,它一解決,一百個猜想都變成定理了。
這次的學術報告讓他可以把話題更深入到對數論的影響。

張益唐認為對於很多數論問題而言,朗道-西格爾零點是一個瓶頸。跨越過這個瓶頸,就會有很多應用出來。
比如“素數在等差級數中的分佈”是一個長期懸而未決的問題。
如果朗道西格爾零點存在,就代表某些等差級數里素數會特多,某些裏會很少。
但是我這個結果出來以後,至少把這個解決了。
張益唐還具體講了數論的兩個分支,解析數論與代數數論。
牽扯到解析數論,那什麼地方都得用到這個。
代數數論中二次域的類數問題,會給出一個非常強的結果。
除了研究結論之外,張益唐這次用到的方法同樣意義重大。
1950年前後,阿特勒·塞爾伯格(Atle Selberg)提出塞爾伯格篩法,成為數論研究中的重要工具並沿用至今。
在很長一段時間裏,該方法都是“初步估計在一個小區間裏素數分佈之上界”的唯一方法,曾使哥德巴赫猜想前進一大步,張益唐解決孿生素數猜想的思路也受其啓發。
這一次張益唐通過不斷地“大海撈針”,雖然沒有撈到塞爾伯格篩法中的那根“針”,但終於是設計出了新的方法。
新方法不依賴於“求二次型極值”,除了用於朗道-西格爾零點猜想外,還有望用於其他數論問題。

張益唐本人表示,他正在思考能不能用新方法改進之前的孿生素數猜想結果。
這是可以考慮的,我也會往這方面去想。
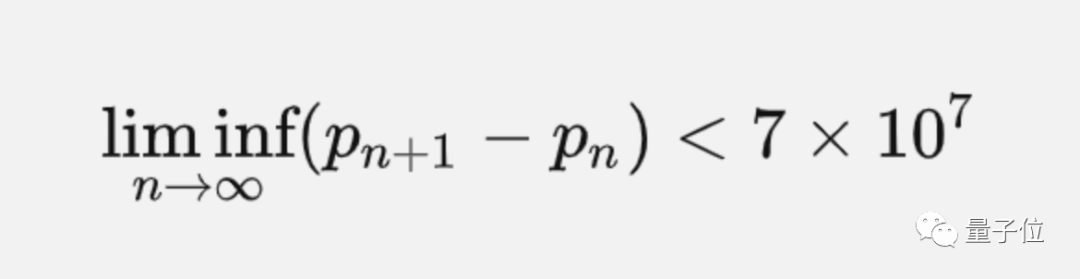
張益唐在他的孿生素數猜想論文中證明了“存在無窮多間距小於七千萬的相鄰素數對”。

七千萬這個數字,後來在全世界數學家合作的Polymath Project 8項目努力下已經縮小到了246。
使用新方法,這個間距有望繼續朝着最終目標2前進。
同時,這也意味着朗道-西格爾零點猜想的結果是可以改進的。
張益唐為致敬他做出成果的這一年,把相應的數字選為2022,這一次的最終目標則是1。
還有人開玩笑説,如果他能在2021年完成證明,那結果就能比現在更精確一點。

在這次報告上,張益唐表示靠現在這個方法應該是能做到幾百。
……只是我還沒有去做。但是要到1目前這個方法還是不夠的。
目前這篇新論文還未經過同行評議,有待學術界驗證其結論。
而一旦論文被承認是正確的,可以預見的是接下來數學界也會在他的工作基礎上不斷向1進發。
最後,在熱議中還有一些人關注到了張益唐的年齡。
一旦論文被驗證,67歲的張益唐就打破了著名數學家哈代“數學是年輕人的遊戲”這個論斷。
在之前接受採訪時,張益唐就多次表示自己不贊同這個説法”。
我對他那個東西不是很注意,我覺得好像跟我沒直接關係似的,我沒有受那些東西的影響。
如今他證明了新的猜想,也用實際行動證明了自己的話。
張益唐零點猜想論文:https://arxiv.org/abs/2211.02515
參考鏈接:
[1]https://news.ycombinator.com/item?id=33512338
[2]https://weibo.com/1277439255/Me402b5zI
[3]https://mp.weixin.qq.com/s/MIztT_oTB8taIHRoobAoDA