美國能源革命重大突破,是“炸胡”…_風聞
酷玩实验室-酷玩实验室官方账号-2022-12-25 08:54
2022年12月14日,美國能源部長珍妮弗·格蘭霍姆宣佈了一個大新聞,她説美國勞倫斯利弗莫爾國家實驗室(LLNL)的科學家在國家點火裝置NIF上,第一次實現了可控核聚變的點火,也就是核聚變的能量增益因子Q大於1,輸出能量大於輸入能量。
如果這個消息是靠譜的,我們有幸見證了人類歷史上的一次里程碑事件!
所以它靠譜嗎?可控核聚變的進展到底如何?我們有生之年能用上核聚變能源嗎?
今天就讓我們借這個大新聞來聊一波核聚變。

核聚變的原理是非常簡單的,大致來説就是兩個或者多個輕的原子核可以合併成一個重的原子核。元素週期表裏鐵之前的元素髮生合併後,形成的重原子核質量會小於反應前的兩個輕原子核的質量之和,出現質量虧損,虧損的這部分質量會以能量的形式釋放出來。
為了讓這種合併發生,需要讓這兩個帶正電的原子核靠得足夠近,進入到強相互作用力的作用範圍,為此必須克服同性相斥的電磁力屏障。
如何克服呢?要麼就是它們的運動速度足夠快撞到了一起,要麼就是原子核被壓得足夠近,因為粒子的無規則運動在宏觀上體現為温度,也就是需要高温高壓。
所謂可控核聚變,就是用高温高壓促使輕原子核合併成重原子核,並且控制能量平穩輸出的工程。
為什麼大家會對這種能量形式感興趣呢?

首先是因為它的能量密度和潛在能量總量,都大得驚人,以最容易實現的氘氚聚變,也就是氫帶一箇中子的同位素和氫帶兩個中子的同位素的聚變為例:
氘原子的質量為3.345*10的-27次方千克,氚原子的質量是5.01*10的-27次方千克,氦-4為6.649*10的-27次方千克,中子為1.675*10的-27次方千克,反應後質量少了0.031*10的27次方千克,反應質量虧損在0.37%左右,虧損的質量以能量的形式釋放。
人類整體的發電功率大概是10的12次方瓦,根據愛因斯坦質能方程換算到質量的話,僅僅相當於0.01克,對應到反應原材料就是整個人類每秒需要消耗2.7克,一天是230公斤,一年是84噸。
整個人類,就只需要這些燃料。
氘在地球上主要以重水的形式存在于海洋中,它的含量約佔氫的0.0156%,大約有7乘以10的17次方噸,簡直是海量。

而氚是一種半衰期僅為12年的放射性同位素,在自然界沒有穩定存在,但好在我們可以用中子轟擊鋰原子來製備它,正好氘氚反應會產生一箇中子,這不巧了嗎?
氘氚聚變經常被拿來舉例只是它實現起來比較容易,除此之外它並沒有什麼特殊之處,實際上輕的原子都能發生聚變反應,比如兩個最普通氫原子的聚變,氘和氦3的聚變,甚至流浪地球裏的一萬多台行星級發動機燒石頭(氧,硅)的那種聚變,都是完全可以實現的。
並且核聚變還是一種真正的清潔能源。
核裂變反應是用中子轟擊不穩定的重元素放射性同位素原子比如鈾235,使之分裂成更小的原子並且釋放出更多的中子,釋放的中子再跟鈾235反應,從而形成鏈式反應。這種鏈式反應是自我放大的,必須進行精密的控制,一旦失控就容易停不下來,就會導致堆芯融化甚至鍋爐爆炸,釋放出大量放射性污染物質。

這就是為什麼雖然核能理論上是一種清潔能源,但現在流行的核裂變電站,要麼不出事,一出事就是大事,三里島、切爾諾貝利、福島核泄漏等等事件,無不給人留下恐怖猙獰的印象。即便不出現事故,核裂變反應留下的廢料也是很難處理的放射性垃圾。再加上核裂變材料儲量極少,這些因素就導致核裂變電站的發展被嚴重限制了。
至於核聚變,還是以氘氚聚變為例,它的反應產物沒有任何的放射性,並且維持反應進行需要非常苛刻的條件,我們要維持它反應就已經拼盡全力了,所以即便核聚變反應堆出現事故失控,最壞的結果就是它涼了,反應停止了,過程中可能會燒穿反應裝置,但絕不會產生太大的無法挽回的問題。
因此一旦核聚變發電成熟,它將是一種字面意義上取之不盡用之不竭的清潔能源。
剛才説了氘氚聚變是最容易發生的核聚變,有多容易呢?

大概需要將温度提升到1.5億度以上,太陽核心温度的十倍,這還是最容易的。
於是這裏就產生了一個顯而易見的問題,已知世界上熔點最高的物質是五碳化四鉭鉿(TaHfC),它的熔點是4215℃,還不到核聚變啓動温度零頭的零頭。
也就是我們找不到任何一種材料來裝核聚變的原料,於是科學家們就摸索出了兩種核聚變的主流實現路徑,第一種叫磁約束,大名鼎鼎的託卡馬克裝置和仿星器就是磁約束路徑的,而這次美國勞倫斯利弗莫爾國家實驗室的國家點火裝置,走的是慣性約束的路線。
所謂磁約束就是説,當我們把核聚變原料加熱到上億度這個級別的時候,它會進入到一種叫做等離子體的狀態,它的電子會被剝離,只剩下離子裸核,最終形成帶正電的離子和帶負電的電子混合在一起的狀態,就是等離子體。

那既然反應原料帶電,我們自然就可以用磁場去把它控制在一定的範圍內。
但這又產生了一個新的問題,加熱材料到上億度以及維持一個巨大的磁場,本身要消耗巨大的能量,只有在核聚變產生的能量大於消耗的能量時,也就是能量增益因子Q大於1時,核聚變才能自發的進行下去也就是所謂完成點火,才有額外的能量可以轉化為電能,核聚變才有實用價值。
這就是為什麼大家如此地看重這個能量增益因子Q。
在磁約束這條路上,最接近完成點火的是歐洲聯合環JET,在1997年,JET的實驗Q值達到了0.67,而在建的國際熱核聚變實驗堆ITER和在設計中的中國聚變工程實驗堆(CFETR)目標都是把Q值提升到10以上,以實現在考慮工程損耗的前提下向外大量輸出能量。

而這次美國勞倫斯利弗莫爾國家實驗室的國家點火裝置,實現的這個Q大於1,就比較抽象了。
NIF採用的是所謂的慣性約束路線,也就是我們有一坨聚變材料,想辦法以迅雷不及掩耳盜鈴之勢給它一個高温高壓,通常是用高能激光打上去,然後利用材料的慣性,趁它還沒有散開來之前,完成聚變反應。
**類比到我們身邊的事物的話,慣性約束核聚變裝置非常類似於是我們車裏面的發動機,內燃機。**汽車啓動之後,發動機裏面就開始重複噴油,點火,爆燃,推動活塞運動向外輸出能量的過程,慣性約束核聚變就是用核爆去替代了汽油的爆燃。
而這次美國能源部長宣佈實現了Q大於1,這裏的Q説的是核聚變產生的中子能量除以打上去那束激光的能量。
我們之所以看重Q這個參數,是因為在磁約束當中,一定的Q代表這核聚變反應可以自我維持,完成點火,更高的Q意味着有額外的能量可以向外輸出。

而這裏這個Q意味着什麼呢?只能説我不是很理解。
如果它的意思是這次核聚變釋放出的能量超過了引爆它所投入的能量的話,那早就實現了呀,氫彈不就是嗎?氫彈爆炸釋放的能量肯定是大於用來引爆它的原子彈的能量的,不然你搞氫彈幹什麼?
如果它的意思是這個實驗裝置的輸出能量大於輸入能量,那顯然還差得很遠啊,因為激光器把電能轉化為光能的效率不到1%,把這個轉化率往上一乘,那完了,Q還沒到0.01。
更進一步,如果它的意思是把這個裝置放大之後可以向外釋放能量,那就差得更遠了,磁約束聚變是可以穩定釋放能量的,而慣性約束聚變類似於發動機的爆燃,釋放能量只在一瞬間,如果想要持續穩定向外輸出能量就必須以很高的頻率重複這個爆燃的操作,然後我們算一個比方説1分鐘100次爆燃總共消耗了多少能量釋放了多少能量比一比才是有意義的,現在你只能一天爆一發,這算出Q大於1能説明什麼問題。

由此可見,如果負責NIF項目的科學家真的覺得可以靠這樣的成果,拔得可控核聚變的頭籌,青史留名的話,我們就不得不懷疑他的精神狀態了。
我看着這洋洋灑灑幾千字的發佈會文稿,歪歪斜斜地每頁上寫着“歷史性突破”,“里程碑”,我橫豎睡不着,仔細看了半夜,才從字縫裏看出來,滿本上都寫着兩個字“More Money“。
我不想説他們是在騙經費,但這就是事實。
那現在可控核聚變到底進展得怎麼樣了呢?由於它的歷史沿革非常複雜,不妨讓我們以現在耗資最大規模最大也是最接近點火的可控核聚變裝置,國際熱核聚變實驗堆ITER,為線索來梳理一下。
ITER位於法國南部小城卡達拉什,距離地中海港口城市馬賽70多公里,佔地面積180公頃,裝置總重約兩萬三千噸,截止2016 年,這個實驗設施的建設和運營總成本預計將超過220億歐元,且還會連年攀升,預計最高可能高達600億歐元。
1985年,蘇聯總統戈爾巴喬夫向美國總統里根提議共同建設一個大型的託卡馬克裝置,最終落地就是這個ITER。

為什麼會提出要做這個裝置呢,直接的原因是在1978年國際託卡馬克反應堆 (INTOR) 研討會上,評估磁約束聚變具備了向實驗反應堆階段推進的條件,也就是科學家們認為用託卡馬克裝置是可以實現核聚變的點火的。
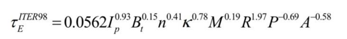
剛才説過我們做磁約束裝置是希望能把能量增益Q做到大於1,這個聚變反應剛跨過盈虧平衡的數學表達式Q≥1,經過一些變換處理之後,可以得到一個著名的不等式——勞森判據。

不等式左邊被稱為“聚變三乘積”,其中包括:
1、等離子體中的電子(或離子)密度n。
2、等離子體温度T。
3、等離子體的約束時間τE(維持等離子體穩定以及温度不下降的時間)
它的含義是隻有當三乘積大於某個值時,聚變反應才能自發維持下去,也就是點火成功,而根據氘氚反應的函數曲線,在温度約等於1.6億攝氏度,三乘積存在一個最低點3×10的21 次方KeV·s/m3:
1.6億度這個温度已經有技術手段可以達到,而磁約束下我們沒有有效的手段去提升離子密度,因此磁約束主要發展方向就是儘量延長約束時間。
託卡馬克裝置的造型非常像一個胖胖的甜甜圈,我們用若干環狀磁體,可以形成貫穿其中垂直於環狀平面的磁感線,當等離子體中離子和電子在環中區域動來動去的時候,它們會受到垂直於磁感線方向的力,讓它們開始轉彎,如果磁場夠強的話轉彎半徑夠小呈現出來的效果就是它們會在裏面轉圈圈,就被束縛住出不來了。

而為了防止等離子體從兩頭飄出去,我們可以把環狀磁體兩頭連起來,就形成了這個甜甜圈的結構,大功告成。
且慢。
這個結構有一個致命缺陷,就是它越靠近內部磁體靠得越緊,磁感線越密集磁場越強,越靠近外部磁感線越稀疏磁場越弱,這個磁場強度梯度的存在會使得正負粒子分別受到垂直於梯度方向,也就是向上和向下的力,這樣一來等離子體轉瞬之間就散掉了,於是如何防止等離子體在磁力梯度作用下散掉就成了科學家們需要重點攻克的問題。
其中美國科學家,普林斯頓大學的萊曼·斯皮策,在1951年發明了一種裝置,叫做仿星器。通過精確設計磁體的形狀和排列,形成一個扭曲的結構,讓內部的磁感線轉起來,形成麻花狀。這時候雖然磁力梯度依舊存在,但粒子的受力方向一會向左一會向右,一會向上一會向下,整體效果就被中和掉了,理論上就可以實現等離子體的長時間約束。

但是仿星器這種構型對於磁體設計和加工的精度要求太高,實際操作中,等離子體會以遠高於理論預測的速度流失到外部環境中。至少在當時,這個構型實現不了。
而同樣是在上世紀五十年代,蘇聯科學家發明了另外一種構型,相比仿星器更為簡潔,它就是如今最主流的可控核聚變裝置——託卡馬克。
除了剛才説的用環狀磁體構成一個甜甜圈之外,託卡馬克裝置在中間加了一個柱狀電磁體,通過快速改變通過它的電流大小,生成快速變化的磁場,進而在等離子體中誘導出感應電流,形成環繞等離子體的感應磁場,這個磁場跟甜甜圈內部原本的磁場相疊加,效果同樣是形成了麻花狀的磁場,中和了粒子向外的受力,讓粒子在上下左右往復運動中達到動態平衡。

然後在最外圈,還有幾個大的環狀電磁體,用來控制等離子體的大小和形狀。
這種構型後來被證明是非常靠譜的,到了六十年代,蘇聯建造的託卡馬克T-3裏的等離子體的綜合指標,已超過同時期美國的仿星器C一個量級。正是從T-3起,國際社會認可了託卡馬克裝置的可行性和高效性,可控核聚變的研究方向正式轉向了託卡馬克。
那為什麼到了60年過去了,可控核聚變還沒有實現呢?主要有兩方面的原因。
一方面等離子體對於人類來説是一種比較新的物質形態,我們對於它的理解還比較薄弱,需要一點一點地試錯,排除問題以便最終實現對它的掌控,落實到科研上就是會重複造一個實驗裝置,做實驗收集數據,再基於數據造新的裝置的過程。事實上,自上世紀60年代以來,等離子體的實驗參數已經提高了超過一千倍,逼近了點火三乘積。
另一方面來説,為了經過大量研究分析後,科學家發現,約束時間τE和很多因素有關。

其中,R是等離子體的圓環的半徑,這意味着,裝置內等離子體體積越大,越有助於提高約束時間。
凡事兒一搞大就麻煩了,裝置更大勢必會導致投資巨大,這就不是一般人能幹的了,到最後點火的任務就落到了這個國際合作項目,耗資超過千億的ITER的頭上。

ITER項目已經實施34年了,幾經跳票,目前它計劃於2025年底完成託卡馬克的組裝,之後進行高温等離子體的約束實驗。
如果一切順利的話,它會在2035年開始氘氚聚變反應,或者説傳説中的聚變點火實驗。如果再次順利的話,會在2040年後開始建設下一代的工程示範堆DEMO,這個DEMO將是可以真正發電的。而根據ITER官方2021年6月公佈的資料,它的施工進度已經達到78%。
中國在ITER當中承擔了大量關鍵的工作,包括組成環形場、極向場線圈的基於Nb3Sn超導線的鎧裝導體(CICC)。
ITER有18個環形場線圈,每個線圈由7根CICC組成,共需要126根導體,中國承擔其中11根的製造任務。
而組成6個不同尺寸的極向場線圈的導體則由中國製造60根,約佔全部所需的65%。

ITER運行時,環形、極向場線圈上的導體內流動着4.2K(-269℃)的超流態液氦。環形場線圈上導通的電流高達68kA,產生磁場強度最高達12T,約為地球磁場的20萬倍。極向場線圈上導通的電流達45kA,磁場最高可達5T。
除此之外,中國還將承擔製造ITER所有共18個校正場線圈。它們的作用是補償矯正製造、安裝環形、極向場線圈的過程中產生的不可消除的磁場誤差。
磁體饋線(Feeder)是連接ITER保温杜瓦內的超導磁體與外部低温製冷系統、電源系統以及控制系統的接口部件,確保自低温(4 K)向室温過渡的實現,其主要功能是為超導磁體供電、供冷及信號測量。
ITER共有31套Feeder,共計6萬餘個部件,被稱之為ITER主機的“生命線”。分別位於ITER裝置主機的上部與底部,總重量約1500噸。中方負責製造ITER的所有Feeder。
從外部看,每個磁鐵饋線像是簡潔集成的30—50米長的盒子,不過,其內部走線極為複雜,因為它必須要保證傳輸電流的匯流排和分配回收不同温度的低温流體的管道的完美並排運行。

中科院等離子體物理所承擔研發的68kA級高温超導電流引線創造了在85kA下運行1小時,90kA下運行4分鐘的世界紀錄。這些引線,集高載流能力、低冷量消耗和長失冷安全時間三方面優勢於一體,降低了ITER的運行成本和低温系統的建造投入。
雙迴路400kV電網組成的高壓交流系統將供應ITER裝置及其所有基礎設施的運行所需能量,中國將提供400kV 高壓變電站中的所有設備。
400kV高壓變電站作為大規模穩態加熱和驅動源,主要為託卡馬克裝置運行中等離子體的產生、維持和加熱提供能源;以及與高壓電網間的能量傳輸、功率轉換等。
中國還將提供製造氣體注入系統和部分診斷系統,前者是為等離子體操作、維護、控制和壁調節提供各種氣體,同時提供用於加熱和診斷中性束的氫和氘,以及用於顆粒注入和緊急聚變電源關閉的必要氣體。

後者包括測量等離子體的中子發射率,提供聚變功率信息的中子通量監測器。研究和觀測50兆瓦下磁流體動力現象及X射線發射率的徑向X射線相機,以及測量偏濾器附近等離子體的温度、密度的朗繆爾探針等。
覆蓋ITER真空室內壁的包層將聚變反應產生的中子和高熱負荷屏蔽在真空管內。包層的第一壁(First Wall)由440塊面板(每個1 x 1.5 m,重1.5 t)組成,它是與高温等離子體離得最近的組件,主要由直面等離子體的材料(目前選用金屬鈹)、中間熱沉材料(CuZrCr合金)以及支撐背板材料(316L(N)不鏽鋼)組成。
將温度高達1.5 億攝氏度的等離子體約束在真空室內的是被冷卻到零下269°C的超導磁體。在包層的阻隔下,兩個極端温度間僅有10米的距離!
為了實現這點,ITER以4 MPa的壓強注入70度的冷卻水來保證真空容器的內表面維持在約240攝氏度。

這些直面“冰火兩重天”的第一壁面板由中國製造其中的約10%。
在ITER運行階段的後期,一些包層模塊將被專門的模塊取代,稱為實驗包層(Test Blanket Module, TBM)項目,旨在驗證聚變堆條件下的氚增殖和能量提取技術。
為了補充氚的消耗,需要在核聚變堆的包層中就地發生中子轟擊鋰聚變產生氚的反應,以維持核聚變反應的持續運行。
實驗包層項目將對聚變堆包層設計工具、計算程序、核數據等進行實驗驗證,並對聚變堆包層材料進行綜合性能測試,為未來聚變工程堆及商用堆包層提供技術經驗和實驗數據的支持。
中國自2004年開始開展實驗包層項目相關活動,2009年確定選用氦冷固態增殖劑實驗包層模塊(Helium Cooled Ceramic Breeder Test Blanket Module, HCCB TBM)概念參與實驗包層項目。

2015年9月,該模塊通過了ITER工作組的概念設計評審。2016年初,HCCB TBM項目初步設計正式啓動,目前還處於初步設計階段。
在上述任務中,中科院等離子體所承擔了導體、校正場線圈、超導饋線等部分,佔中國承擔ITER任務的近80%。
可以看出,中國在ITER當中負責了相當關鍵的部分,而我們也有自己的相當於ITER的項目。
通過中科院等離子體物理研究所(安徽合肥)的“東方超環”,還有西南物理研究院環流器二號M(HL-2M),我國已經掌握了國際領先的完整的託卡馬克裝置製造能力。並且通過參與ITER項目,我們又積累了與國際接軌的技術水平。
在這些的基礎上,由中科大、中科院等離子所、核工業西南物理研究院以及綿陽9院主導,多家高校及軍工企業所參與的中國版ITER ——**CFETR(中國核聚變工程實驗堆)**正在籌備當中。

CFETR計劃分三步走。
第一階段到2021年,CFETR開始立項建設;第二階段到2035年,計劃建成聚變工程實驗堆,開始大規模科學實驗;第三階段到2050年,聚變工程實驗堆實驗成功,建設聚變商業示範堆,完成人類終極能源。
雖然我不是很看好ITER的項目進度管理能力,但介於我們國家在重大工程項目上的履歷,這個CFETR是非常值得信賴的,也就是説核聚變點火的那一刻,樂觀估計會在2035年,保守估計會在2040年左右,最終實現。
甚至點火的時間點有可能會更早。因為隨着時間的推移,我們的一些基礎技術,比如計算機仿真技術已經今非昔比,一些本來難以實現的技術方案比如仿星器和小型託卡馬克裝置,球形託卡馬克裝置,也有一些科研團隊或者創業公司在嘗試,在創投圈現在你跟別人説你在搞核聚變,大家已經不會覺得你是傻逼了,而是會非常嚴肅的跟你討論你在具體幹什麼。
但問題是,點火併不意味着可控核聚變的成功。後續的持續燃燒,解決中子輻照,氚增值,能量回收,加料排灰等問題,只有等點火成功之後,我們才會擁有實驗條件嘗試去解決,然後是降成本,商用,乃至小型化。如果説2040年左右的點火成功我們這代人大概是可以看到的話,是否能用上核聚變能源,就真的很不好説了。

人生最大的痛苦,莫過於看到激動人心的改變就在眼前,而我要嗝兒屁了。
關於可控核聚變會帶來什麼,很多人第一時間想到的是電費會變得非常便宜,確實電費可能應該會變便宜,但這遠遠不是可控核聚變能帶來的全部。
人類的一切活動都是來源於獲取能源再對能源轉化利用,那什麼是能源呢?
我理解能源是一種可以利用的能量,假設我們面前有兩池水,用擋板隔開,如果它們的水位是一樣高的,那無法產生可以利用的能量,但如果它們有一個很大的落差,我們在擋板上開個洞,傾瀉而下的池水就是可以利用的能量,就是能源。
一種理想的能源應該是兩邊水位的落差足夠大,而中間的擋板足夠薄弱,遺憾的是,宇宙是趨於熱寂的,自然界當中不存在這樣的東西。於是我們選擇了退而求其次,在擋板足夠薄弱的能源當中去找落差儘可能大的,好在我們幾億年前的動植物前輩們,孜孜不倦地把能量搬運到自己的身體裏,我們靠燒它們的屍體,支撐起了現代工業文明。

但燒屍體畢竟不是長久之計。
可控核聚變是一種完全不同的東西,兩邊落差巨大無比,中間隔了一座喜馬拉雅山,這是人類歷史上第一次對大自然霸王硬上弓,相形之下之前所有的工程項目都顯得費拉不堪。這種霸王硬上弓勢必會帶來巨大的改變。
能源的稀缺性是所有人類行為背後的邏輯基礎,這種稀缺性沒有了之後,一切衡量標準都會被顛覆。
比如之前曾經有一位中國首富腦洞大開,表示把喜馬拉雅山炸開一個口子,將印度洋的暖濕氣流引入青藏高原,這個提議值得認真地考慮。
比如我們的華北平原因為人口多糧食生產壓力大,地下水常年入不敷出令地質學家非常困擾,這才多大點事兒,你把海水淡化然後給它補回去不就行了嗎,難道地球上還能缺水嗎?
能源發生革命之後,下一步勢必會影響到我們日常使用的動力。

傳統火箭發動機噴出的氣體速度是2km到4km每秒,一枚推力3000噸的火箭,90%以上的負載是它的燃料,只能送200噸的貨物到近地軌道,50噸的貨物到月球,這種開油罐車上班的狀況在根本上限制了我們在太陽系的交通,馬斯克當火星球長的願望在這種技術條件下根本無法實現。
而聚變發動機噴射出的工質的速度可以達到幾千到幾萬km/s,這意味着我們至少可以把太陽系納入日常的活動空間。
一旦在太陽系內的活動不成問題,絕大多數在地球上稍顯稀缺的原物料會隨着行星採礦業的開展得變得極度豐富,比如小行星帶一顆代號1986 DA的小行星所含的鐵鎳鈷,遠超地球上的鐵鎳鈷的總儲量,名叫靈神星的小行星上的黃金,按市價值7萬億美元。
所以我覺得在可控核聚變這個問題上,應該遵循兩個凡是的原則,凡是推動可控核聚變加速向前發展的,就是我們的朋友;凡是拖累可控核聚變發展的,就是我們的敵人。
比如這次NIF搞的所謂Q大於1,只要這能幫助那羣科學家在美國國會搞到更多的經費,我就支持它大搞特搞,不就是騙經費嗎,騙起來,多騙一點!有什麼我可以幫忙的嗎?
希望全球搞可控核聚變的大佬可以加油搞快點,希望我們可以看到那一天的到來。