臨牀研究:中國科學家研發的口服小分子抗新冠病毒藥VV116或可縮短核酸轉陰時間
None
微信公眾號“華山感染”5月18日消息,SARS-CoV-2奧密克戎變異株最早報道於2021年11月,目前已成為世界範圍內的主要感染株。VV116是一個由中國科學家研發的口服小分子抗新冠病毒藥物,在體外活性實驗中表現出了對包括奧密克戎在內的多個新冠病毒變異株的較強抑制作用。已經完成的I期藥物臨牀試驗表明,VV116在健康受試者中表現出良好的安全性、耐受性與藥代動力學特徵。
近期,國家傳染病醫學中心、上海市傳染病與生物安全應急響應重點實驗室、華山感染張文宏教授團隊與上海公共衞生臨牀中心範小紅教授團隊、臨港實驗室共同合作,完成了一項開放性、前瞻性隊列研究,評估VV116對非重症奧密克戎感染患者核酸轉陰時間的影響,相關成果於5月18日發表在Emerging Microbes & Infections雜誌。
上海市公共衞生臨牀中心沈銀忠教授為本文第一作者,復旦大學附屬華山醫院感染科艾靜文,上海市公共衞生臨牀中心林娜,復旦大學附屬華山醫院感染科張昊澄、李楊、王紅羽為共同第一作者。上海市公共衞生臨牀中心兼職教授、復旦大學附屬華山醫院張文宏教授與上海市公共衞生臨牀中心範小紅教授為此文共同通訊作者。

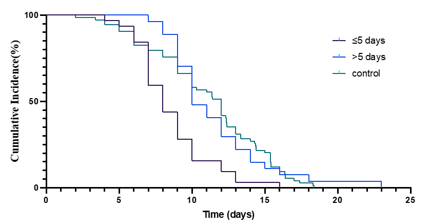
在感染早期或有症狀的非重症患者中應用VV116或能夠縮短核酸轉陰時間
研究數據提示,在首次核酸檢測陽性5日內使用VV116的奧密克戎感染患者,其核酸轉陰時間為8.56天,小於對照組的11.13天。有症狀的患者中,在本研究的用藥時間範圍內(首次核酸陽性2-10天)給予VV116,均可以縮短患者的核酸轉陰時間。在藥物安全性上,使用了VV116的患者中,未觀察到嚴重不良反應。

未來探討
需要注意的是,作為一項開放性、前瞻性隊列研究,本研究所納入的樣本量有限,所有受試者均未發展為重症或危重症。因此本研究未能收集到足夠多的數據進一步分析VV116是否對於奧密克戎感染重症化具有預防作用,僅初步評價了輕症患者中核酸轉陰這單一指標。
目前國內正有多項抗病毒藥物的II-III期研究正在或準備開展,華山感染團隊也正在瑞金醫院寧光院士的牽頭下,參與了Paxlovid 和VV116的“頭對頭”臨牀對照研究。我們也將密切關注未來更大規模的藥物臨牀試驗數據結果,以進一步評估藥物對於臨牀恢復時間、臨牀重症預防及死亡率降低的具體作用。
這是“國產”抗新冠病毒藥物對奧密克戎感染者臨牀研究結果的首個同行評議報道。未來,相信國內醫療領域各團隊也將不斷努力,獲取更多臨牀試驗數據,為進一步保護重症和死亡高風險人羣提供更多可行方案。